RAG 检索模型如何学习:三种损失函数的机制解析

简介: 本文探讨Agent时代下检索模型的持续重要性,聚焦RAG中核心组件——检索嵌入模型的三种训练方法:Pairwise Cosine Embedding Loss、Triplet Margin Loss与InfoNCE Loss,并基于实验对比其适用场景与效果。(239字)

Agent 系统发展得这么快那么检索模型还重要吗?RAG 本身都已经衍生出 Agentic RAG和 Self-RAG(这些更复杂的变体了。

答案是肯定的,无论 Agent 方法在效率和推理上做了多少改进,底层还是离不开检索。检索模型越准,需要的迭代调用就越少,时间和成本都能省下来,所以训练好的检索模型依然关键。讨论 RAG 怎么用的文章铺天盖地,但真正比较检索模型学习方式的内容却不多见。

检索系统包含多个组件:检索嵌入模型、索引算法(HNSW 之类)、向量搜索机制(余弦相似度等)以及重排序模型。这篇文章只聚焦检索嵌入模型的学习方式。

本文将介绍我实验过的三种方法:Pairwise cosine embedding loss(成对余弦嵌入损失)、Triplet margin loss(三元组边距损失)、InfoNCE loss。

成对余弦嵌入损失

正样本对示例

负样本对示例

输入是一对文本加一个标签,标签标明这对文本是正匹配还是负匹配。和 MNLI 数据集里的蕴含、矛盾关系类似。

损失函数用的是余弦嵌入损失,x 和 y 分别是文本对的嵌入向量。

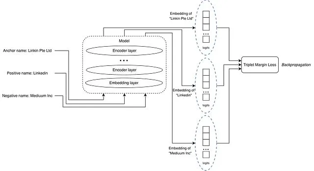
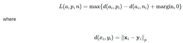
三元组边距损失

输入变成三个文本:一个锚文本、一个正匹配、一个负匹配。

损失函数是 Triplet Margin Loss。公式里 a 代表锚文本嵌入,p 代表正样本嵌入,n 代表负样本嵌入。

InfoNCE 损失

输入包括一个查询、一个正匹配、一组负样本列表。

损失函数采用 InfoNCE,灵感来自 M3-Embedding 论文(arxiv:2402.03216)。公式中 p* 是正样本嵌入,P' 是负样本嵌入列表,q 是查询嵌入,s(.) 表示相似度函数,比如余弦相似度。

比较

哪种方法最好?要看具体场景、数据量和算力。从我的实验来看,InfoNCE 覆盖面最广。但只要实验做得够充分、训练数据比例调得够细,余弦嵌入损失也能达到差不多的效果。三元组边距损失我没有深入探索,不过它可能是介于另外两者之间的一个折中选项。
https://avoid.overfit.cn/post/7958652dd31e4cf5ace899b97e0eac27

作者:Jerald Teo

目录
相关文章
|
2月前
|
存储 搜索推荐 开发者
RAG 文本分块:七种主流策略的原理与适用场景
分块是RAG系统的基石,直接影响检索质量与LLM推理效果。行业共识:“分块决定RAG质量的70%”。从固定大小、句子/段落级,到语义、递归、滑动窗口及层次化分块,策略需匹配文档类型与任务需求。劣质分块导致上下文断裂、噪声激增、幻觉频发——燃料不行,再强的引擎也徒劳。
205 2
RAG 文本分块:七种主流策略的原理与适用场景
|
5月前
|
机器学习/深度学习 传感器 算法
BipedalWalker实战:SAC算法如何让机器人学会稳定行走
本文探讨基于Soft Actor-Critic(SAC)算法的下肢假肢自适应控制。传统方法依赖精确建模,难以应对复杂环境变化。SAC通过最大熵强化学习,使假肢在仿真中自主探索、学习稳定步态,具备抗干扰与容错能力。结合生物工程视角,将神经网络映射为神经系统,奖励函数关联代谢效率,实现从试错到自然行走的演化。相位图分析显示极限环形成,标志动态稳定步态建立,能效曲线表明后期动作更节能。研究为智能假肢迈向临床应用提供新思路。
433 117
BipedalWalker实战:SAC算法如何让机器人学会稳定行走
|
5月前
|
XML 机器学习/深度学习 监控
高级检索增强生成系统:LongRAG、Self-RAG 和 GraphRAG 的实现与选择
检索增强生成(RAG)已超越简单向量匹配,迈向LongRAG、Self-RAG与GraphRAG等高级形态。LongRAG通过大块重叠分片保留长上下文,提升连贯性;Self-RAG引入反思机制,动态判断检索必要性与内容相关性,增强可信度;GraphRAG构建知识图谱,支持多跳推理与复杂关系挖掘。三者分别应对上下文断裂、检索盲目性与关系表达缺失难题,代表2025年RAG工程化核心进展,可依场景组合使用以平衡准确性、成本与复杂度。
513 57
高级检索增强生成系统:LongRAG、Self-RAG 和 GraphRAG 的实现与选择
|
3月前
|
机器学习/深度学习 自然语言处理 算法
从贝叶斯视角解读Transformer的内部几何:mHC的流形约束与大模型训练稳定性
大模型训练常因架构改动破坏内部贝叶斯几何结构,导致不稳定。研究表明,Transformer通过残差流、注意力与值表征在低维流形上实现类贝叶斯推理。mHC通过约束超连接保护这一几何结构,确保规模化下的训练稳定与推理一致性。
464 7
从贝叶斯视角解读Transformer的内部几何:mHC的流形约束与大模型训练稳定性
|
4月前
|
数据可视化 安全 测试技术
Anthropic 开源 Bloom:基于 LLM 的自动化行为评估框架
Anthropic推出开源框架Bloom,可自动化评估大语言模型是否阿谀奉承、有政治倾向或绕过监管等行为。不同于传统基准,Bloom基于配置动态生成测试场景,支持多模型、多样化评估,并提供可视化分析,助力模型安全与对齐研究。(237字)
304 12
Anthropic 开源 Bloom:基于 LLM 的自动化行为评估框架
|
4月前
|
机器学习/深度学习 人工智能 缓存
CALM自编码器:用连续向量替代离散token,生成效率提升4倍
近年来语言模型效率优化多聚焦参数规模与注意力机制,却忽视了自回归生成本身的高成本。CALM提出新思路:在token之上构建潜在空间,通过变分自编码器将多个token压缩为一个连续向量,实现“一次前向传播生成多个token”。该方法大幅减少计算次数,提升推理速度与吞吐量,同时引入无似然训练与BrierLM评估体系,突破传统语言建模范式,为高效大模型提供新路径。
273 7
CALM自编码器:用连续向量替代离散token,生成效率提升4倍
|
2月前
|
缓存 人工智能 自然语言处理
Prompt 缓存的四种策略:从精确匹配到语义检索
本文详解Prompt缓存四大策略(精确匹配、规范化、语义相似、分层架构),直击LLM应用成本痛点——重复调用导致API费用飙升。代码示例+架构图,助你低成本提升命中率,降本30%–90%,延迟同步优化。
268 11
Prompt 缓存的四种策略:从精确匹配到语义检索
|
2月前
|
自然语言处理 监控 机器人
深入RAG架构:分块策略、混合检索与重排序的工程实现
本文详解RAG系统从Demo迈向生产需攻克的5个关键层级:基础向量检索(Level 1)、智能分块与元数据增强(Level 2)、混合搜索(语义+关键词,Level 3)、交叉编码器重排序(Level 4),以及生产级护栏、评估与兜底机制(Level 5)。强调“不编造、可验证、易诊断”,聚焦真实故障场景与可落地优化。
214 2
深入RAG架构:分块策略、混合检索与重排序的工程实现
|
4月前
|
人工智能 JSON 缓存
1小时微调 Gemma 3 270M 端侧模型与部署全流程
Gemma 3 270M是谷歌推出的轻量级开源模型,可快速微调并压缩至300MB内,实现在浏览器中本地运行。本文教你用QLoRA在Colab微调模型,构建emoji翻译器,并通过LiteRT量化至4-bit,结合MediaPipe在前端离线运行,实现零延迟、高隐私的AI体验。小模型也能有大作为。
381 3
1小时微调 Gemma 3 270M 端侧模型与部署全流程
|
2天前
|
存储 测试技术 API
不依赖对话日志检测Prompt注入,一套隐私优先的实现方案
本文探索在不存储任何对话日志的前提下,仅依赖单次处理后提取的28维遥测特征(含11个纯行为特征)检测Prompt注入与越狱攻击的可行性。实验表明:纯文本盲系统仍保有98.5%检测性能(F1=0.968),证实交互行为模式(如重试、Token增长、峰值越狱分)承载了主要威胁信号。
57 9