神经辐射场NeRF入门:3D视图合成的原理与PyTorch代码实现

简介: NeRF(神经辐射场)用多层感知机将5D坐标(位置+视角)映射为颜色和密度,通过过拟合单个场景实现高质量新视角合成。结合位置编码与体积渲染,以隐式方式表征三维场景,仅需少量图像即可重建精细结构。

NeRF(Neural Radiance Fields,神经辐射场)的核心思路是用一个全连接网络表示三维场景。输入是5D向量空间坐标(x, y, z)加上视角方向(θ, φ),输出则是该点的颜色和体积密度。训练的数据则是同一物体从不同角度拍摄的若干张照片。

通常情况下泛化能力是模型的追求目标,需要在大量不同样本上训练以避免过拟合。但NeRF恰恰相反,它只在单一场景的多个视角上训练,刻意让网络"过拟合"到这个特定场景,这与传统神经网络的训练逻辑完全相反。

这样NeRF把网络训练成了某个场景的"专家",这个专家只懂一件事,但懂得很透彻:给它任意一个新视角,它都能告诉你从那个方向看场景是什么样子,存储的不再是一堆图片,而是场景本身的隐式表示。

基本概念

把5D输入向量拆开来看:空间位置(x, y, z)和观察方向(θ, φ)。

颜色(也就是辐射度)同时依赖位置和观察方向,这很好理解,因为同一个点从不同角度看可能有不同的反光效果。但密度只跟位置有关与观察方向无关。这里的假设是材质本身不会因为你换个角度看就变透明或变不透明,这个约束大幅降低了模型复杂度。

用来表示这个映射关系的是一个多层感知机(MLP)而且没有卷积层,这个MLP被有意过拟合到特定场景。

渲染流程分三步:沿每条光线采样生成3D点,用网络预测每个点的颜色和密度,最后用体积渲染把这些颜色累积成二维图像。

训练时用梯度下降最小化渲染图像与真实图像之间的差距。不过直接训练效果不好原始5D输入需要经过位置编码转换才能让网络更好地捕捉高频细节。

传统体素表示需要显式存储整个场景占用空间巨大。NeRF则把场景信息压缩在网络参数里,最终模型可以比原始图片集小很多。这是NeRF的一个关键优势。

相关工作

NeRF出现之前,神经场景表示一直比不过体素、三角网格这些离散表示方法。

早期也有人用网络把位置坐标映射到距离函数或占用场,但只能处理ShapeNet这类合成3D数据。

arxiv:1912.07372 用3D占用场做隐式表示提出了可微渲染公式。arxiv:1906.01618的方法在每个3D点输出特征向量和颜色用循环神经网络沿光线移动来检测表面,但这些方法生成的表面往往过于平滑。

如果视角采样足够密集,光场插值技术就能生成新视角。但视角稀疏时必须用表示方法,体积方法能生成真实感强的图像但分辨率上不去。

场景表示机制

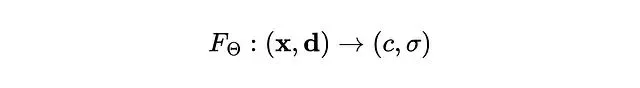
输入是位置 x = (x, y, z) 和观察方向 d = (θ, φ),输出是颜色 c = (r, g, b) 和密度 σ。整个5D映射用MLP来近似。

优化目标是网络权重 Θ。密度被假设为多视角一致的,颜色则同时取决于位置和观察方向。

网络结构上先用8个全连接层处理空间位置,输出密度σ和一个256维特征向量。这个特征再和观察方向拼接,再经过一个全连接层得到颜色。

体积渲染

光线参数化如下:

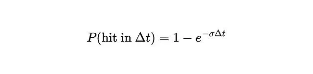
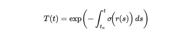
密度σ描述的是某点对光线的阻挡程度,可以理解为吸收概率。更严格地说它是光线在该点终止的微分概率。根据这个定义,光线从t传播到tₙ的透射概率可以表示为:

σ和T之间的关系可以画图来理解:

密度升高时透射率下降。一旦透射率降到零,后面的东西就完全被遮住了,也就是看不见了。

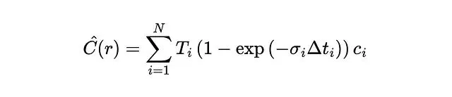
光线的期望颜色C(r)定义如下,沿光线从近到远积分:

问题在于c和σ都来自神经网络这个积分没有解析解。

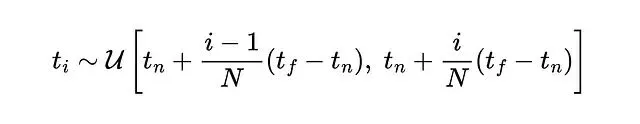
实际计算时用数值积分,采用分层采样策略——把积分范围分成N个区间,每个区间均匀随机抽一个点。

分层采样保证MLP在整个优化过程中都能在连续位置上被评估。采样点通过求积公式计算C(t)这个公式选择上考虑了可微性。跟纯随机采样比方差更低。

Tᵢ是光线存活到第i个区间之前的概率。那光线在第i个区间内终止的概率呢?可以用密度来算:

σ越大这个概率越趋近于零,再往下推导:

光线颜色可以写成:

其中:

位置编码

直接拿5D坐标训练MLP,高频细节渲染不出来。因为深度网络天生偏好学习低频信号,解决办法是用高频函数把输入映射到更高维空间。

γ对每个坐标分别应用,是个确定性函数没有可学习参数。p归一化到[-1,+1]。L=4时的编码可视化:

L=4时的位置编码示意

编码用的是不同频率的正弦函数。Transformer里也用类似的位置编码但目的不同——Transformer是为了让模型感知token顺序,NeRF是为了注入高频信息。

分层采样

均匀采样的问题在于大量计算浪费在空旷区域。分层采样的思路是训练两个网络,一个粗糙一个精细。

先用粗糙网络采样评估一批点,再根据结果用逆变换采样在重要区域加密采样。精细网络用两组样本一起计算最终颜色。粗糙网络的颜色可以写成采样颜色的加权和。

实现

每个场景单独训练一个网络,只需要RGB图像作为训练数据。每次迭代从所有像素里采样一批光线,损失函数是粗糙和精细网络预测值与真值之间的均方误差。

接下来从零实现NeRF架构,在一个包含蓝色立方体和红色球体的简单数据集上训练。

数据集生成代码不在本文范围内——只涉及基础几何变换没有NeRF特有的概念。

数据集里的一些渲染图像。相机矩阵和坐标也存在了JSON文件里。

先导入必要的库:

 import os, json, math  
 import numpy as np  
 from PIL import Image  
 import torch  
 import torch.nn as nn  
 import torch.nn.functional as F

位置编码函数:

 def positional_encoding(x, L):  
     freqs = (2.0 ** torch.arange(L, device=x.device)) * math.pi # Define the frequencies  
     xb = x[..., None, :] * freqs[:, None] # Multiply by the frequencies  
     xb = xb.reshape(*x.shape[:-1], L * 3) # Flatten the (x,y,z) coordinates  
     return torch.cat([torch.sin(xb), torch.cos(xb)], dim=-1)

根据相机参数生成光线:

 def get_rays(H, W, camera_angle_x, c2w, device):  
    # assume the pinhole camera model  
    fx = 0.5 * W / math.tan(0.5 * camera_angle_x) # calculate the focal lengths (assume fx=fy)  

    # principal point of the camera or the optical center of the image.   
    cx = (W - 1) * 0.5   
    cy = (H - 1) * 0.5  

    i, j = torch.meshgrid(torch.arange(W, device=device),  
                          torch.arange(H, device=device), indexing="xy")  
    i, j = i.float(), j.float()  

    # convert pixels to normalized camera-plane coordinates  
    x = (i - cx) / fx  
    y = -(j - cy) / fx  
    z = -torch.ones_like(x)  

    # pack into 3D directions and normalize  
    dirs = torch.stack([x, y, z], dim=-1)  
    dirs = dirs / torch.norm(dirs, dim=-1, keepdim=True)  

    # rotate rays into world coordinates using pose matrix  
    R, t = c2w[:3, :3], c2w[:3, 3]  
    rd = dirs @ R.T  
    ro = t.expand_as(rd)  
     return ro, rd

NeRF网络结构:

 class NeRF(nn.Module):  
    def __init__(self, L_pos=10, L_dir=4, hidden=256):  
        super().__init__()  
        # original vector is concatented with the fourier features  
        in_pos = 3 + 2 * L_pos * 3  
        in_dir = 3 + 2 * L_dir * 3  

        self.fc1 = nn.Linear(in_pos, hidden)  
        self.fc2 = nn.Linear(hidden, hidden)  
        self.fc3 = nn.Linear(hidden, hidden)  
        self.fc4 = nn.Linear(hidden, hidden)  
        self.fc5 = nn.Linear(hidden + in_pos, hidden)  
        self.fc6 = nn.Linear(hidden, hidden)  
        self.fc7 = nn.Linear(hidden, hidden)  
        self.fc8 = nn.Linear(hidden, hidden)  

        self.sigma = nn.Linear(hidden, 1)  
        self.feat = nn.Linear(hidden, hidden)  

        self.rgb1 = nn.Linear(hidden + in_dir, 128)  
        self.rgb2 = nn.Linear(128, 3)  

        self.L_pos, self.L_dir = L_pos, L_dir  

    def forward(self, x, d):  
        x_enc = torch.cat([x, positional_encoding(x, self.L_pos)], dim=-1)  
        d_enc = torch.cat([d, positional_encoding(d, self.L_dir)], dim=-1)  

        h = F.relu(self.fc1(x_enc))  
        h = F.relu(self.fc2(h))  
        h = F.relu(self.fc3(h))  
        h = F.relu(self.fc4(h))  
        h = torch.cat([h, x_enc], dim=-1) # skip connection  
        h = F.relu(self.fc5(h))  
        h = F.relu(self.fc6(h))  
        h = F.relu(self.fc7(h))  
        h = F.relu(self.fc8(h))  

        sigma = F.relu(self.sigma(h)) # density is calculated using positional information  
        feat = self.feat(h)  

        h = torch.cat([feat, d_enc], dim=-1) # add directional information for color  
        h = F.relu(self.rgb1(h))  
        rgb = torch.sigmoid(self.rgb2(h))  
         return rgb, sigma

渲染函数,这个是整个流程的核心:

 def render_rays(model, ro, rd, near=2.0, far=6.0, N=64):  
    # sample along the ray  
    t = torch.linspace(near, far, N, device=ro.device)  
    pts = ro[:, None, :] + rd[:, None, :] * t[None, :, None] # r = o + td  

    # attach view directions to each sample  
    # each point knows where the ray comes from  
    dirs = rd[:, None, :].expand_as(pts)  

    # query NeRF at each point and reshape  
    rgb, sigma = model(pts.reshape(-1,3), dirs.reshape(-1,3))  
    rgb = rgb.reshape(ro.shape[0], N, 3)  
    sigma = sigma.reshape(ro.shape[0], N)  

    # compute the distance between the samples  
    delta = t[1:] - t[:-1]  
    delta = torch.cat([delta, torch.tensor([1e10], device=ro.device)])  

    # convert density into opacity  
    alpha = 1 - torch.exp(-sigma * delta)  
    # compute transmittance along the ray  
    T = torch.cumprod(torch.cat([torch.ones((ro.shape[0],1), device=ro.device),  
                                 1 - alpha + 1e-10], dim=-1), dim=-1)[:, :-1]  

    weights = T * alpha  
     return (weights[...,None] * rgb).sum(dim=1) # accumulate the colors

训练循环:

 device = "cuda" if torch.cuda.is_available() else "cpu"  
images, c2ws, H, W, fov = load_dataset("nerf_synth_cube_sphere")  
images, c2ws = images.to(device), c2ws.to(device)  

model = NeRF().to(device)  
opt = torch.optim.Adam(model.parameters(), lr=5e-4)  

loss_hist, psnr_hist, iters = [], [], []  

for it in range(1, 5001):  
    idx = torch.randint(0, images.shape[0], (1,)).item()  
    ro, rd = get_rays(H, W, fov, c2ws[idx], device)  
    gt = images[idx].reshape(-1,3)  

    sel = torch.randint(0, ro.numel()//3, (2048,), device=device)  
    pred = render_rays(model, ro.reshape(-1,3)[sel], rd.reshape(-1,3)[sel])  

    # for simplicity, we will only implement the coarse sampling.   
    loss = F.mse_loss(pred, gt[sel])  

    opt.zero_grad()  
    loss.backward()  
    opt.step()  

    if it % 200 == 0:  
        psnr = -10 * torch.log10(loss).item()  
        loss_hist.append(loss.item())  
        psnr_hist.append(psnr)  
        iters.append(it)  
        print(f"Iter {it} | Loss {loss.item():.6f} | PSNR {psnr:.2f} dB")  

torch.save(model.state_dict(), "nerf_cube_sphere_coarse.pth")  

# ---- Plots ----  
plt.figure()  
plt.plot(iters, loss_hist, color='red', lw=5)  
plt.title("Training Loss")  
plt.show()  

plt.figure()  
plt.plot(iters, psnr_hist, color='black', lw=5)  
plt.title("Training PSNR")  
 plt.show()

迭代次数与PSNR、损失值的变化曲线:

模型训练完成下一步是生成新视角。

look_at

函数用于从指定相机位置构建位姿矩阵:

 def look_at(eye):  
    eye = torch.tensor(eye, dtype=torch.float32) # where the camera is  
    target = torch.tensor([0.0, 0.0, 0.0])  
    up = torch.tensor([0,1,0], dtype=torch.float32) # which direction is "up" in the world  

    f = (target - eye); f /= torch.norm(f) # forward direction of the camera  
    r = torch.cross(f, up); r /= torch.norm(r) # right direction. use cross product between f and up  
    u = torch.cross(r, f) # true camera up direction  

    c2w = torch.eye(4)  
    c2w[:3,0], c2w[:3,1], c2w[:3,2], c2w[:3,3] = r, u, -f, eye  
     return c2w

推理代码:

 device = "cuda" if torch.cuda.is_available() else "cpu"  

with open("nerf_synth_cube_sphere/transforms.json") as f:  
    meta = json.load(f)  

H, W, fov = meta["h"], meta["w"], meta["camera_angle_x"]  

model = NeRF().to(device)  
model.load_state_dict(torch.load("nerf_cube_sphere_coarse.pth", map_location=device))  
model.eval()  

os.makedirs("novel_views", exist_ok=True)  

for i in range(120):  
    angle = 2 * math.pi * i / 120  
    eye = [4 * math.cos(angle), 1.0, 4 * math.sin(angle)]  
    c2w = look_at(eye).to(device)  

    with torch.no_grad():  
        ro, rd = get_rays(H, W, fov, c2w, device)  
        rgb = render_rays(model, ro.reshape(-1,3), rd.reshape(-1,3))  

    img = rgb.reshape(H, W, 3).clamp(0,1).cpu().numpy()  
    Image.fromarray((img*255).astype(np.uint8)).save(f"novel_views/view_{i:03d}.png")  

     print("Rendered view", i)

新视角渲染结果(训练集中没有这些角度):

图中的伪影——椒盐噪声、条纹、浮动的亮点——来自空旷区域的密度估计误差。只用粗糙模型、不做精细采样的情况下这些问题会更明显。另外场景里大片空白区域也是个麻烦,模型不得不花大量计算去探索这些没什么内容的地方。

再看看深度图:

立方体的平面捕捉得相当准确没有幽灵表面。空旷区域有些斑点噪声说明虽然空白区域整体学得还行,但稀疏性还是带来了一些小误差。

参考文献

Mildenhall, B., Srinivasan, P. P., Gharbi, M., Tancik, M., Barron, J. T., Simonyan, K., Abbeel, P., & Malik, J. (2020). NeRF: Representing scenes as neural radiance fields for view synthesis.

https://avoid.overfit.cn/post/4a1b21ea7d754b81b875928c95a45856

作者:Kavishka Abeywardana

目录
相关文章
|
4天前
|
人工智能 测试技术 API
一线工程师 2025 总结:LLM 只用了不到 10%,剩下 90% 卡在哪?
2025年,LLM能力爆发,但多数企业仅用到其10%。真正瓶颈不在模型强弱,而在工程落地:延迟不可控、并发崩溃、换模成本高、成本失控成常态。当LLM从“工具”变为“基础设施”,中转层与系统稳定性成为关键。释放剩余90%潜力,需扎实的架构设计与工程治理。
|
11天前
|
监控 安全 Unix
iOS 崩溃排查不再靠猜!这份分层捕获指南请收好
从 Mach 内核异常到 NSException,从堆栈遍历到僵尸对象检测,阿里云 RUM iOS SDK 基于 KSCrash 构建了一套完整、异步安全、生产可用的崩溃捕获体系,让每一个线上崩溃都能被精准定位。
185 32
|
2天前
|
弹性计算 网络协议 安全
2026年阿里云最新活动参考:云服务器实时活动与优惠政策,购买和试用教程
2026年,阿里云持续推出多样化的优惠政策与活动,帮助个人开发者、中小企业及大型企业以更低的成本上云。本文将基于最新资讯,全面解析阿里云服务器的优惠政策、购买与试用教程以及当前热门活动,为您提供一站式上云指南。无论是初学者还是资深用户,都能通过本文找到适合自身需求的优惠方案,以供大家了解最新优惠信息及选择参考。
|
3天前
|
人工智能 JSON 自然语言处理
【2026最新最全】从零开始学 Trae:我的第一个贪吃蛇小游戏实战
Trae是字节跳动推出的AI原生代码编辑器,支持智能补全、自动修Bug、多语言开发,集成doubao、DeepSeek等大模型,提供国内版与国际版,助力开发者高效编程。
100 8
|
17天前
|
数据可视化 安全 测试技术
Anthropic 开源 Bloom:基于 LLM 的自动化行为评估框架
Anthropic推出开源框架Bloom,可自动化评估大语言模型是否阿谀奉承、有政治倾向或绕过监管等行为。不同于传统基准,Bloom基于配置动态生成测试场景,支持多模型、多样化评估,并提供可视化分析,助力模型安全与对齐研究。(237字)
101 12
Anthropic 开源 Bloom:基于 LLM 的自动化行为评估框架
|
10天前
|
数据采集 人工智能 运维
AgentRun 实战:快速构建 AI 舆情实时分析专家
搭建“舆情分析专家”,函数计算 AgentRun 快速实现从数据采集到报告生成全自动化 Agent。
354 26
|
23天前
|
消息中间件 人工智能 NoSQL
AgentScope x RocketMQ:打造企业级高可靠 A2A 智能体通信基座
Apache RocketMQ 推出轻量级通信模型 LiteTopic,专为 AI 时代多智能体协作设计。它通过百万级队列支持、会话状态持久化与断点续传能力,解决传统架构中通信脆弱、状态易失等问题。结合 A2A 协议与阿里巴巴 AgentScope 框架,实现高可靠、低延迟的 Agent-to-Agent 通信,助力构建稳定、可追溯的智能体应用。现已开源并提供免费试用,加速 AI 应用落地。
267 36
AgentScope x RocketMQ:打造企业级高可靠 A2A 智能体通信基座
|
10天前
|
人工智能 自然语言处理 安全
Lux 上手指南:让 AI 直接操作你的电脑
Lux 是一款能直接操作计算机的AI基础模型,通过视觉理解与动作预测,实现自然语言指令下的自动化任务。它无需依赖API,可像真人一样点击、输入、滚动,完成浏览器操作等复杂工作,准确率超越主流模型,是迈向“意图即执行”的重要突破。(238字)
131 13
Lux 上手指南:让 AI 直接操作你的电脑
|
9天前
|
机器学习/深度学习 人工智能 并行计算
DeepSeek 开年王炸:mHC 架构用流形约束重构 ResNet 残差连接
大过节DeepSeek在arXiv发布mHC新论文,挑战Transformer残差连接范式。通过流形约束(谱范数+双重随机矩阵),在保持高带宽信息通路的同时恢复恒等映射稳定性,解决深层网络梯度传播难题,理论扎实且兼顾系统效率,或成“后Transformer时代”架构新方向。
296 7
DeepSeek 开年王炸:mHC 架构用流形约束重构 ResNet 残差连接