别再用均值填充了!MICE算法教你正确处理缺失数据

本文涉及的产品
实时计算 Flink 版,1000CU*H 3个月
实时数仓Hologres,5000CU*H 100GB 3个月
智能开放搜索 OpenSearch行业算法版,1GB 20LCU 1个月
简介: MICE是一种基于迭代链式方程的缺失值插补方法,通过构建后验分布并生成多个完整数据集,有效量化不确定性。相比简单填补,MICE利用变量间复杂关系,提升插补准确性,适用于多变量关联、缺失率高的场景。本文结合PMM与线性回归,详解其机制并对比效果,验证其在统计推断中的优势。

缺失数据处理一直是机器学习实践中的难点。MICE(Multivariate Imputation by Chained Equations)作为一种基于迭代思想的插补框架,可以处理复杂缺失值问题。因为它不是简单地用均值或中位数填补空缺,而是通过构建后验分布来建模不确定性,这种处理方式在统计学上更为严谨。

但MICE的学习曲线优点陡峭,迭代机制和模型依赖特性也让不少人望而却步,所以本文会通过PMM(Predictive Mean Matching)和线性回归等具体方法,拆解MICE的工作原理,同时对比标准回归插补作为参照。

MICE的基本概念

插补方法大致可以分三类:统计方法(均值、中位数、众数)、基于模型的方法(KNN、回归插补、GAIN等)、以及时间序列特有的前向后向填充。MICE属于模型方法,但它的实现路径更复杂——通过迭代式预测来逐步逼近真实分布。

整个流程如下图所示:

MICE首先运行多轮插补循环,用预测模型生成目标变量的后验分布。接着从这个分布中反复抽样(比如M次),生成多个版本的完整数据集。每个数据集的插补值都不相同,这种变异性是MICE的核心价值所在。

最后通过不确定性分析和池化(pooling),得到汇总的统计指标:池化参数估计、总标准误差、t统计量和p值。这些指标量化了缺失值带来的不确定性,帮助判断插补结果是否足够可靠。

链式预测的逻辑

MICE的关键在于"链式"二字。假设有个简单数据集,包含

Income

(X1)和

Age

(X2)两个特征,都存在缺失。

标准回归插补会直接用学到的函数填补空白:

因为模型只在残缺的数据上训练,插补结果难免带有很大的偏差。

而MICE采取的策略不同:

它先用均值之类的粗略值填充所有空缺(浅粉色),然后用包括这些初值在内的"完整"数据去改进插补(深粉色)。这个过程会重复多轮,直到插补值趋于稳定,或者说就是收敛了。

MAR假设的限制

MICE强依赖MAR(Missing At Random)假设——数据缺失与否只和已观测值相关,斌且给这个前提很严格的。

如果数据属于MCAR(完全随机缺失),用简单方法就够了。如果是MNAR(非随机缺失,比如高收入者故意不填收入),MICE效果会打折扣需要考虑自编码器或领域特定模型。

适用场景

MICE的优势在于:

迭代过程提供了有效的不确定性估计,比一次性插补准确;能捕捉多变量之间的复杂依赖关系;利用其他变量信息,减少插补偏差

但代价也明显:计算慢、实现复杂、受底层模型假设约束(比如线性假设)。

所以使用MICE选对场景很重要:

多个变量都有缺失,且彼此关联;数据类型混杂(连续型和分类变量都有);缺失率比较高,达到10%以上,简单方法会引入明显偏差。

临床试验和公共卫生调查就是典型应用,这些领域对无偏估计要求极高。

算法机制分解

按照图A,MICE分五步:

1、用占位符初始化

2、建模后验分布并采样

3、迭代至收敛

4、重复生成多个数据集

5、不确定性分析和池化

我们一步一步来介绍。

初始插补

第一步用均值或中位数填充所有缺失位置。

形式化表示:

这里

Y

是包含P个变量的数据集,

Y(t)

代表第t轮迭代的状态。插补前Y包含观测值和缺失值两部分。

后验分布与采样

接下来是核心步骤:

  • 训练预测模型
  • 构建目标变量的条件后验分布
  • 从分布中抽样

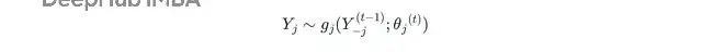
假设目标变量是X1(包含缺失),用列索引

j

和迭代轮次

t

来表示:

其中

Y_j

是观测值,

Y_j^{(t−1)}

是上一轮的插补结果,

g_j

是后验分布,

θ_j(t)

是模型参数。

后验分布的形式取决于预测模型。

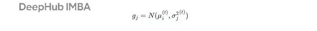
回归任务常用这几种:

正态线性回归:从正态分布采样,均值是预测值

μ_i^(t)

,方差

σ_j^2(t)

来自贝叶斯框架。

带Bootstrap的正态线性回归:分布形式相同,但参数从自助法样本中估计。

PMM(预测均值匹配):先用线性回归生成预测均值,然后从"捐赠者池"中随机抽取实际观测值。捐赠者池由预测均值最接近的k个样本组成,类似KNN的思路。

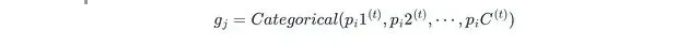
分类任务则用:

逻辑回归:从伯努利分布(二分类)或多项分布(多分类)中采样。

比例优势模型:参数量更少,因为所有截断点共享一组斜率系数。

迭代收敛

MICE会对所有缺失变量依次执行上述步骤,直到所有值都收敛。

比如数据集有4个目标变量(j = 0, 1, 2, 3),MICE会顺序处理:先给j=0建模采样,然后j=1以此类推。这种顺序确保了链式依赖——j=0的插补结果会用在j=1的预测中。

生成多数据集

单次收敛还不够。MICE会把整个迭代循环跑多遍(比如20次),每次都从后验分布随机采样,生成多个版本的完整数据集。这些数据集的插补值各不相同,正是这种变异性让不确定性量化成为可能。

不确定性分析与池化

最后对所有插补数据集做相同的统计分析。

比如说研究年龄和BMI对胆固醇的影响,用OLS线性回归建模:

Cholesterol ∼ β_0 + β_1·Age + β_2·BMI + ϵ

每个插补数据集D(m)会得到一组系数估计

θ^_m

和方差协方差矩阵

U_m

Rubin规则把这些结果合并。比如参数

θ

的池化估计是M个估计值的均值:

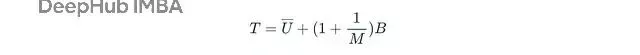
估计误差(池化标准误差)由总方差决定:

总方差分解为插补内方差和插补间方差:

反映采样变异性,

B

量化插补引入的额外不确定性,

M

是数据集数量。有了这些,就能构建置信区间和p值。

代码

用合成数据集演示回归任务。数据包含10000个样本,三个特征X1、X2、Y。

对比三种方法:

  • MICE + PMM
  • MICE + 正态线性回归
  • 标准回归插补(基线)

结构化缺失值

先把各种形式的缺失标记统一成

np.nan

。Pandas默认不识别空格、"NA"、"?"这类非结构化标记。

 import pandas as pd  
import numpy as np  

def structure_missing_values(df: pd.DataFrame, target_cols: list = []) -> pd.DataFrame:  
    target_cols = target_cols if target_cols else df.columns.tolist()  

    # list up unstructured missing val options  
    unstructured_missing_vals = ['', '?', ' ', 'nan', 'N/A', None, 'na', 'None', 'none']  

    # structure  
    structured_nan = { item: np.nan for item in unstructured_missing_vals }  
    structured_df = df.copy()  
    for col in target_cols: structured_df[col].replace(structured_nan)  

    return structured_df  

 df_structured = structure_missing_values(df=original_df)

分析缺失类型

用t检验判断缺失模式。比较有无缺失两组样本在其他变量上的均值差异。

 from scipy import stats  

def assess_missingness_diagnostics(df, target_variable='X1', missingness_type='mcar'):  
    # create a missingness indicator  
    df_temp = df.copy()  
    df_temp['is_missing'] = df_temp[target_variable].isna().astype(int)  
    observed_vars = [col for col in df_temp.columns if col not in [target_variable, 'is_missing']]  

    # compare means of observed variables (x2, y) between 1) group_observed (x1 observed) and 2) group_missing (x1 missing)  
    for var in observed_vars:  
        # create the groups  
        group_observed = df_temp[df_temp['is_missing'] == 0][var]  
        group_missing = df_temp[df_temp['is_missing'] == 1][var]  

        # check if enough samples exist in both groups  
        if len(group_missing) < 2 or len(group_observed) < 2: continue  

        # perform two-sample t-test to compute the mean difference  
        _, p_value = stats.ttest_ind(group_observed.dropna(), group_missing.dropna())  
        mean_obs = group_observed.mean()  
        mean_miss = group_missing.mean()  

         # rejection of h0 (equal means) suggests missingness depends on the observed variable  
        if p_value < 0.05:  
            print(f"  -> conclusion: mar or mnar because means are statistically different.")  
        else:  
            # failure to reject h0 suggests independence  
            print(f"  -> conclusion: mcar because means are not statistically different.")  

assess_missingness_diagnostics(  
    df=df_structured,  
    target_variable='X1',   
    missingness_type='mar'  
 )

结果显示X2和Y在两组间均值显著不同(p<0.05),符合MAR或MNAR特征。

实践中缺失类型往往模糊,可以试多种方法再比较泛化效果。

定义插补器

确认适用性后,用Scikit-learn的

IterativeImputer

配置MICE。

PMM版本:

 from sklearn.impute import IterativeImputer  

imputer_mice_pmm = IterativeImputer(  
    estimator=PMM(),            # pmm  
    max_iter=10,                # num of cycles       
    initial_strategy='mean',    # initial imputation val  
    random_state=42,            # for reproducibility  
 )

自定义PMM估计器:

 import numpy as np  
from sklearn.linear_model import LinearRegression   
from sklearn.base import BaseEstimator, RegressorMixin  

# implement a custom pmm estimator  
class PMM(BaseEstimator, RegressorMixin):  
    def __init__(self, k: int = 5, base_estimator=LinearRegression()):  
        self.k = k # k-neigbor  
        self.base_estimator = base_estimator  

    def fit(self, observed_X, observed_y):  
        self.base_estimator.fit(observed_X, observed_y)   

        # store the observed data  
        self.X_donors = observed_X.copy()  
        self.y_donors = observed_y.copy()  

        # predict the means for all observed donors  
        self.y_pred_donors = self.base_estimator.predict(self.X_donors)   
        return self  

    # core pmm logic of sampling val from the k nearest neighbors of observed data. x has missing vals  
    def predict(self, X):  
        # predict the mean for the missing data (recipients)  
        y_pred_recipients = self.base_estimator.predict(X)  
        imputed_values = np.zeros(X.shape[0])  

        # perform pmm for each recipient (row in x)  
        for i, pred_recipient in enumerate(y_pred_recipients):  
            # compute the absolute difference between the recipient's predicted mean and all the donor's predicted means.  
            diffs = np.abs(self.y_pred_donors - pred_recipient)  

            # get the indices that correspond to the k smallest differences (k nearest matches)  
            nearest_indices = np.argsort(diffs)[:self.k] # taking k indices plus 1 to avoid an exact match of the imputed val from the prev round  

            # randomly sample an observed value from the k nearest neighbors (donor_pool)  
            donor_pool = self.y_donors[nearest_indices]  
            imputed_value = np.random.choice(donor_pool, size=1)[0]  
            imputed_values[i] = imputed_value  
        return imputed_values  

    ## func for IterativeImputer compatibility  
    def _predict_with_uncertainty(self, X, return_std=False):  
        if return_std:  
            return self.predict(X), np.zeros(X.shape[0])  # pmm is semi-parametric. set standard deviation = 0  
         return self.predict(X)

库里的

KNeighborsRegressor

也能实现类似功能。

线性回归版本:

BayesianRidge

确保生成不同的插补值:

 from sklearn.impute import IterativeImputer  
from sklearn.linear_model import BayesianRidge  

imputer_mice_lr = IterativeImputer(  
    estimator=BayesianRidge(max_iter=500, tol=1e-3, alpha_1=1e-10, alpha_2=1e-10, lambda_1=1e-10, lambda_2=1e-10),  
    max_iter=10,  
    initial_strategy='mean',  
    random_state=42,  
    sample_posterior=True # add random noise drawn from the posterior distribution to the prediction.  
 )

执行插补

迭代5次(M=5),每次生成一个完整数据集。

 import pandas as pd  
from sklearn.impute import IterativeImputer  

def run_mice_imputation(df: pd.DataFrame, imputer: IterativeImputer, M: int = 5) -> list:  
    # iteration  
    imputed_datasets= [] # subject to analysis and pooling later  
    imputed_values_x1 = {}  
    missing_indices_x1 = df[df['X1'].isna()].head(3).index.tolist()  

    for m in range(M):   
        # setup imputer for each interation (unique random state controls the numpy seed for pmm's sampling)  
        setattr(imputer, 'random_state', m)  

        # impute df and convert generated array to pandas df  
        df_m = pd.DataFrame(imputer.fit_transform(df), columns=df.columns)  

        # recording  
        imputed_datasets.append(df_m)  
        imputed_values_x1[m] = df_m['X1'].loc[missing_indices_x1].tolist()  

    # outputs - unique imputation values  
    print("Imputed values across M datasets (True PMM - expecting variability):")  
    print(f"imputed dataset 1 - the first three imputed values for X1: {[f'{x:.14f}' for x in imputed_values_x1[0]]}")  
    print(f"imputed dataset 2 - the first three imputed values for X1: {[f'{x:.14f}' for x in imputed_values_x1[1]]}")  
    print(f"imputed dataset 3 - the first three imputed values for X1: {[f'{x:.14f}' for x in imputed_values_x1[2]]}")  
    print(f"imputed dataset 4 - the first three imputed values for X1: {[f'{x:.14f}' for x in imputed_values_x1[3]]}")  
    print(f"imputed dataset 5 - the first three imputed values for X1: {[f'{x:.14f}' for x in imputed_values_x1[4]]}")  

     return imputed_datasets

PMM结果:

 imputed_datasets_mice_pmm = run_mice_imputation(df=df, imputer=imputer_mice_pmm, M=5)

5个数据集的X1插补值各不相同,体现了随机性:

 imputed dataset 1: ['9.24212539359209', '8.86784044761337', '16.27959379662983']
 imputed dataset 2: ['10.67728456933526', '6.72710070935441', '8.84037515230672']
 imputed dataset 3: ['10.15359370564326', '6.72710070935441', '18.59563606925789']
 imputed dataset 4: ['10.78202129747172', '6.72710070935441', '8.84037515230672']
 imputed dataset 5: ['9.35638700644611', '5.15233963776858', '13.88818918534419']

线性回归结果:

 imputed_datasets_mice_lr = run_mice_imputation(df=df, imputer=imputer_mice_lr, M=5)

同样生成了5组不同的插补值:

 imputed dataset 1: ['12.21062281693754', '9.96558458658052', '12.49501000922409']
 imputed dataset 2: ['8.71573023588752', '10.85416071007341', '12.35300502646557']
 imputed dataset 3: ['12.72459653377737', '8.71106811173562', '11.99063594937416']
 imputed dataset 4: ['9.73654929041454', '3.72657966114651', '12.08960122126962']
 imputed dataset 5: ['8.59526280022813', '12.78831127091796', '12.39797242039489']

池化分析

对5个数据集做统计推断,用Rubin规则合并结果。

 import numpy as np  
import statsmodels.formula.api as smf  
from scipy.stats import t  

def perform_analysis_and_pooling(imputed_datasets, target_param='X1'):  
    m = len(imputed_datasets)  
    estimates = []  # theta_m  
    variances = []  # within-imputation variance u_m  

    # 1. analysis - run the model on each imputed dataset  
    for i, df_m in enumerate(imputed_datasets):  
        # ols model  
        model = smf.ols(formula='Y ~ X1 + X2', data=df_m).fit()  
        # extract the estimate (theta_m) and its variance (u_m) for the target parameter  
        estimate = model.params[target_param]  
        variance = model.bse[target_param]**2  

        estimates.append(estimate)  
        variances.append(variance)  

    # 2. pooling w rubin's rules  
    # pooled point estimate (theta_bar)  
    theta_bar = np.mean(estimates)  

    # within-imputation variance (u_bar)  
    u_bar = np.mean(variances)  

    # between-imputation variance (b)  
    b = (1 / (m - 1)) * np.sum([(est - theta_bar)**2 for est in estimates])  

    # total variance (t)  
    t_total = u_bar + (1 + (1 / m)) * b  

    # total standard error (se)  
    se_pooled = np.sqrt(t_total)  

    # relative increase in variance (riv) and degrees of freedom (v)  
    riv = ((1 + (1 / m)) * b) / u_bar  
    v_approx = (m - 1) * (1 + (1 / riv))**2   

    # confidence interval  
    t_critical = t.ppf(0.975, df=v_approx)  
    ci_lower = theta_bar - t_critical * se_pooled  
    ci_upper = theta_bar + t_critical * se_pooled  

    print("\n--- pooled results using rubin's rules ---")  
    print(f"pooled estimate ({target_param}): {theta_bar:.10}")  
    print(f"within variance (u_bar): {u_bar:.10}")  
    print(f"between variance (b): {b:.10f}")  
    print(f"total variance (t): {t_total:.10}")  
    print(f"pooled standard error: {se_pooled:.10}")  
    print(f"relative increase in variance (riv): {riv:.10}")  
    print(f"degrees of freedom (approx): {v_approx:.2f}")  
    print(f"95% ci: [{ci_lower:.10}, {ci_upper:.10}]")  

     return theta_bar, se_pooled, t_total, v_approx

PMM池化结果:

X1系数估计2.021,95%置信区间[1.954, 2.087]。相对方差增幅(RIV)仅5.7%,说明插补引入的不确定性很小。

 pooled estimate (X1): 2.020731625
 within variance (u_bar): 0.001079913886
 between variance (b): 0.0000517265
 total variance (t): 0.001141985746
 pooled standard error: 0.0337932796
 relative increase in variance (riv): 0.05747852707
 degrees of freedom (approx): 1353.92
 95% ci: [1.95443875, 2.087024499]

线性回归池化结果:

X1系数2.029,置信区间[1.963, 2.096],RIV约6.8%,同样在可接受范围。

 pooled estimate (X1): 2.029474175
 within variance (u_bar): 0.001082280232
 between variance (b): 0.000060931
 total variance (t): 0.001155397613
 pooled standard error: 0.03399114021
 relative increase in variance (riv): 0.06755864026
 degrees of freedom (approx): 998.81
 95% ci: [1.962771936, 2.096176414]

两种方法的不确定性都控制得不错。

模型评估

在每个插补数据集上训练SVR(支持向量回归),平均MSE作为最终指标。

 from sklearn.model_selection import train_test_split  
from sklearn.preprocessing import StandardScaler  
from sklearn.compose import ColumnTransformer  
from sklearn.pipeline import Pipeline  
from sklearn.svm import SVR  
from sklearn.metrics import mean_squared_error  

mse_train_mice_pmm_list = []  
mse_val_mice_pmm_list = []  
for i, df in enumerate(created_datasets):  
    # create X, y  
    y = df['Y']  
    X = df[['X1', 'X2']]  

    # create train, val, test datasets  
    test_size, random_state = 1000, 42  
    X_tv, X_test, y_tv, y_test = train_test_split(X, y, test_size=test_size, shuffle=True, random_state=random_state)  
    X_train, X_val, y_train, y_val = train_test_split(X_tv, y_tv, test_size=test_size, shuffle=True, random_state=random_state)  

    # preprocess  
    num_cols = X.columns  
    num_transformer = Pipeline(steps=[('scaler', StandardScaler())])  
    preprocessor = ColumnTransformer(transformers=[('num', num_transformer, num_cols),], remainder='passthrough')  
    X_train = preprocessor.fit_transform(X_train)  
    X_val = preprocessor.transform(X_val)  
    X_test = preprocessor.transform(X_test)  

    # train the model  
    model = SVR(kernel="rbf", degree=3, gamma='scale', coef0=0, tol=1e-5, C=1, epsilon=1e-5, max_iter=1000)  
    model.fit(X_train, y_train)  

    # inference  
    y_pred_train = model.predict(X_train)  
    mse_train = mean_squared_error(y_pred_train, y_train)  
    y_pred_val = model.predict(X_val)  
    mse_val = mean_squared_error(y_pred_val, y_val)  

    # recording  
    mse_train_mice_pmm_list.append(mse_train)  
    mse_val_mice_pmm_list.append(mse_val)  

# final performance metric that accounts for imputation uncertainty.  
pooled_mse_train_mice_pmm = np.mean(mse_train_mice_pmm_list)  
pooled_mse_val_mice_pmm = np.mean(mse_val_mice_pmm_list)  
 print(f'\nfinal performance - train mse: {pooled_mse_train_mice_pmm:.6f}, val mse: {pooled_mse_val_mice_pmm:.6f}')

对比结果:

  • MICE + PMM:训练394.14,验证368.20
  • MICE + 线性回归:训练331.43,验证308.42
  • 回归插补:训练412.05,验证383.25

两种MICE方法都显著优于基线。其中线性回归版本表现最佳,验证MSE降到308.42。

原因可能有两点:一是线性回归模型精准捕捉了数据关系;二是PMM的随机采样引入了额外噪声,虽然理论上更稳健但在这个数据集上反而增加了误差。

小结

MICE在处理复杂缺失数据时有明显优势,尤其是需要无偏推断的场景。实验表明它确实能提升模型表现,比单次回归插补效果更好。

不过实践中还有优化空间:估计器选择、迭代次数、收敛标准都会影响最终效果。另外MAR假设的适用性判断也需要仔细评估,盲目套用可能适得其反。

缺失数据处理本身就是个权衡问题——计算成本、模型复杂度、统计有效性之间需要找平衡点。MICE提供了一种严谨的解决方案,但不是万能钥匙,要结合具体问题具体分析。

完整代码:

https://avoid.overfit.cn/post/e54f988c93df418db5ccbd1d37a92007

作者:Kuriko Iwai

目录
相关文章
|
2月前
|
传感器 机器学习/深度学习 算法
【使用 DSP 滤波器加速速度和位移】使用信号处理算法过滤加速度数据并将其转换为速度和位移研究(Matlab代码实现)
【使用 DSP 滤波器加速速度和位移】使用信号处理算法过滤加速度数据并将其转换为速度和位移研究(Matlab代码实现)
221 1
|
3月前
|
机器学习/深度学习 Dragonfly 人工智能
基于蜻蜓算法优化支持向量机(DA-SVM)的数据多特征分类预测研究(Matlab代码实现)
基于蜻蜓算法优化支持向量机(DA-SVM)的数据多特征分类预测研究(Matlab代码实现)
110 0
|
2月前
|
机器学习/深度学习 算法 调度
14种智能算法优化BP神经网络(14种方法)实现数据预测分类研究(Matlab代码实现)
14种智能算法优化BP神经网络(14种方法)实现数据预测分类研究(Matlab代码实现)
324 0
|
4月前
|
传感器 机器学习/深度学习 分布式计算
卡尔曼滤波的多传感器数据融合算法
卡尔曼滤波的多传感器数据融合算法
642 0
|
1月前
|
机器学习/深度学习 人工智能 算法
【基于TTNRBO优化DBN回归预测】基于瞬态三角牛顿-拉夫逊优化算法(TTNRBO)优化深度信念网络(DBN)数据回归预测研究(Matlab代码实现)
【基于TTNRBO优化DBN回归预测】基于瞬态三角牛顿-拉夫逊优化算法(TTNRBO)优化深度信念网络(DBN)数据回归预测研究(Matlab代码实现)
112 0
|
2月前
|
存储 监控 算法
企业电脑监控系统中基于 Go 语言的跳表结构设备数据索引算法研究
本文介绍基于Go语言的跳表算法在企业电脑监控系统中的应用,通过多层索引结构将数据查询、插入、删除操作优化至O(log n),显著提升海量设备数据管理效率,解决传统链表查询延迟问题,实现高效设备状态定位与异常筛选。
115 3
|
6月前
|
存储 监控 算法
基于 C++ 哈希表算法实现局域网监控电脑屏幕的数据加速机制研究
企业网络安全与办公管理需求日益复杂的学术语境下,局域网监控电脑屏幕作为保障信息安全、规范员工操作的重要手段,已然成为网络安全领域的关键研究对象。其作用类似网络空间中的 “电子眼”,实时捕获每台电脑屏幕上的操作动态。然而,面对海量监控数据,实现高效数据存储与快速检索,已成为提升监控系统性能的核心挑战。本文聚焦于 C++ 语言中的哈希表算法,深入探究其如何成为局域网监控电脑屏幕数据处理的 “加速引擎”,并通过详尽的代码示例,展现其强大功能与应用价值。
157 2
|
7月前
|
数据采集 机器学习/深度学习 算法
别急着上算法,咱先把数据整明白:大数据分析的5个基本步骤,你都搞对了吗?
别急着上算法,咱先把数据整明白:大数据分析的5个基本步骤,你都搞对了吗?
453 4
|
2月前
|
算法 数据挖掘 定位技术
基于密度的聚类算法能够在含有噪声的数据集中识别出任意形状和大小的簇(Matlab代码实现)
基于密度的聚类算法能够在含有噪声的数据集中识别出任意形状和大小的簇(Matlab代码实现)
|
2月前
|
机器学习/深度学习 数据采集 运维
改进的遗传算法优化的BP神经网络用于电厂数据的异常检测和故障诊断
改进的遗传算法优化的BP神经网络用于电厂数据的异常检测和故障诊断
下一篇
oss云网关配置