【使用 DSP 滤波器加速速度和位移】使用信号处理算法过滤加速度数据并将其转换为速度和位移研究(Matlab代码实现)

简介: 【使用 DSP 滤波器加速速度和位移】使用信号处理算法过滤加速度数据并将其转换为速度和位移研究(Matlab代码实现)

💥💥💞💞欢迎来到本博客❤️❤️💥💥

🏆博主优势:🌞🌞🌞博客内容尽量做到思维缜密,逻辑清晰,为了方便读者。

⛳️座右铭:行百里者,半于九十。

💥1 概述

基于DSP滤波器的加速度-速度-位移转换研究

1. DSP滤波器的基本原理及选型

加速度数据通常包含高频噪声和低频漂移,需通过数字滤波提取有效信号。DSP滤波器通过数字运算实现信号滤波,主要分为两类:

  • FIR滤波器
    非递归结构,稳定性高,无相位失真,但计算量较大。适用于对相位敏感的场景(如实时运动控制)。其输出仅取决于当前和有限历史输入,数学表达式为: image.gif 编辑
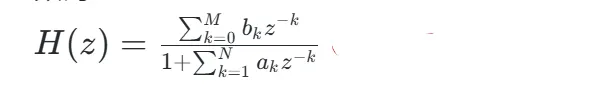
  • IIR滤波器
    递归结构,计算效率高,但可能因反馈环路不稳定。适用于资源受限的实时系统,传递函数为: image.gif 编辑

频域滤波类型选择

滤波器类型 截止特性 适用场景
低通滤波器 (LPF) 保留低频信号,抑制高频噪声 去除传感器高频噪声(如振动干扰)[3][42]
高通滤波器 (HPF) 保留高频信号,抑制低频漂移 消除重力加速度偏移 [42][50]
带通滤波器 (BPF) 保留特定频段信号 提取人体步态特征频段 [3][33]

选型建议:巴特沃斯滤波器因通带平坦特性常用于加速度信号预处理,需根据信号频谱特征选择截止频率(如人体运动分析常用 0.1–10 Hz 带通)[42][33]。


2. 加速度数据滤波的关键方法

2.1 噪声特性与滤波策略
  • 高频噪声:由传感器电子噪声或环境振动引起,采用LPF抑制(如截止频率 20 Hz)[42][35]。
  • 低频漂移:积分导致的基线偏移,需HPF滤除(截止频率 0.1–0.5 Hz)[90][92]。
  • 脉冲干扰:使用中值滤波(窗口大小 N=7N=7)或限幅滤波消除突发噪声 [46][39]。

动态滤波优化

一阶惯性低通滤波器在静态时效果显著,但运动状态下易产生相位滞后。可通过动态阈值调整滤波参数:

image.gif 编辑

其中 α 根据运动状态自适应调整 [39]。

2.2 滤波算法实现示例(Python)
from scipy.signal import butter, filtfilt
# 巴特沃斯带通滤波设计
def bandpass_filter(data, lowcut, highcut, fs, order=4):
    nyq = 0.5 * fs
    low = lowcut / nyq
    high = highcut / nyq
    b, a = butter(order, [low, high], btype='band')
    return filtfilt(b, a, data)  # 双向滤波消除相位偏移
# 卡尔曼滤波(抑制积分漂移)
from pykalman import KalmanFilter
kf = KalmanFilter(transition_matrices=[1], observation_matrices=[1])
filtered_accel = kf.em(accel_raw).smooth(accel_raw)[0]

image.gif

filtfilt 双向滤波避免相位失真,优于单向滤波 [35][95]。


3. 速度和位移的积分转换及误差控制

3.1 积分算法原理
  • image.gif 编辑
3.2 积分误差来源与抑制技术
误差类型 产生原因 解决方案
趋势项漂移 低频噪声积分放大 高通滤波 + 动态零点校正 [92][95]
累积误差 积分步长误差传递 频域积分法(FFT+精度控制方程)[98]
相位偏移 滤波器群延迟 零相位滤波(如 filtfilt)[91]

自适应鲁棒积分法 (ARI)

通过实时校正基线漂移,避免传统滤波导致的峰值误差和相位超前问题,位移计算误差降低 40% 以上 [91]。


4. DSP加速优化策略

4.1 硬件级加速
  • FPGA实现FIR滤波器
    利用并行计算架构加速卷积运算,512阶FIR滤波器处理速度提升至软件实现的 50 倍 [159]。

    image.gif 编辑
  • 专用DSP芯片
    TI C54X 系列支持单周期乘加运算,优化实时滤波性能 [8][62]。
4.2 算法级优化
  • 多相抽取技术
    降低采样率减少计算量,结合存储器复用系数 [159]。
  • HLS(高级综合)工具
    使用Catapult将C++代码自动转换为FPGA可综合RTL,缩短开发周期 [150]。

5. 应用案例与验证

5.1 人体运动分析
  • 滤波方案:7点均值滤波(N=7N=7)去除加速度毛刺 。
  • 位移精度:经卡尔曼滤波+离散积分,步长测量误差 < 2% 。
5.2 结构振动监测
  • 对比实验
方法 位移峰值误差 相位偏移
传统LPF积分 15–20% 显著超前
ARI法 < 5% 无偏移

6. 结论与展望

DSP滤波器通过噪声抑制和漂移控制,显著提升加速度积分精度。未来方向包括:

  1. 深度学习融合:训练自适应滤波器参数选择模型;
  2. 边缘计算优化:基于低功耗DSP芯片的实时处理架构;
  3. 多传感器融合:结合陀螺仪数据补偿旋转运动误差。

核心建议:设计滤波器时需权衡计算效率与相位特性(首选零相位FIR),积分阶段必须采用动态漂移校正(如ARI或卡尔曼滤波)以抑制累积误差。

📚2 运行结果

image.gif 编辑

image.gif 编辑

image.gif 编辑

部分代码:

%% Processed inputs

%--------------------------------------------------------------------------

time   = data(:,1);         % Time vector

accval_g = data(:,2);       % Acceleration in g

accval = data(:,2)*9.81;    % Acceleration in m/s^2

L = size(data,1);           % Length of signal

Fs = 1/(time(2)-time(1));   % Sampling frequency                    

Ts = 1/Fs;                  % Sampling period      

%% Displacement, Velocity and Acceleration

%--------------------------------------------------------------------------

[~, ~, ~, filtered_acc_g] ...

         = accelo2disp(time,Ts, Fs, Fcut,alpha, accval_g, Lvdtmat,...

                           lvdtcons, accbiasV, accsensi, filtertype...

                           ,filtermethod,firorder);

                       

[LVDTfilt, filtered_disp, filtered_vel, filtered_acc] ...

         = accelo2disp(time,Ts, Fs, Fcut,alpha, accval, Lvdtmat,...

                           lvdtcons, accbiasV, accsensi, filtertype...

                           ,filtermethod,firorder);

%% Compute the frequency

%--------------------------------------------------------------------------

% Compute the Fourier transform of the signal.

Y = fft(filtered_acc);

% Compute the two-sided spectrum P2. Then compute the single-sided spectrum P1

% based on P2 and the even-valued signal length L.

P2 = abs(Y/L);

P1 = P2(1:L/2+1);

P1(2:end-1) = 2*P1(2:end-1);

% Define the frequency domain f and plot the single-sided amplitude spectrum P1.

% On average, longer signals produce better frequency approximations.

f = Fs*(0:(L/2))/L;

%% Plot Acceleration vs.time

%--------------------------------------------------------------------------

figure;

subplot(5,2,1)

ax1 = plot(time, accval_g, 'LineWidth', 1);

grid on

xlabel('Time ($sec.$)','Interpreter', 'latex');

ylabel('Acceleration ($g$)','Interpreter', 'latex');

title('Acceleration vs.time (with DC bias)')

ax2 = subplot(5,2,2);

plot(time, filtered_acc_g, 'LineWidth', 1)

grid on

xlabel('Time ($sec.$)','Interpreter', 'latex');

ylabel('Acceleration ($g$)','Interpreter', 'latex');

title('Acceleration vs.time (DC bias removed)')

ax3 = subplot(5,2,3:4);

plot(time,filtered_acc, 'LineWidth', 1)

grid on

xlabel('Time ($sec.$)','Interpreter', 'latex');

ylabel('Acceleration ($\frac{m}{s^2}$)','Interpreter', 'latex');

title('Acceleration vs.time (DC bias removed)')

ax4 = subplot(5,2,5:6);

plot(time,filtered_vel, 'LineWidth', 1)

grid on

xlabel('Time ($sec.$)','Interpreter', 'latex');

ylabel('Velocity ($\frac{m}{s}$)','Interpreter', 'latex');

title('Velocity vs.time')

ax5 = subplot(5,2,7:8);

plot(time,filtered_disp, 'LineWidth', 1)

grid on

xlabel('Time ($sec.$)','Interpreter', 'latex');

ylabel('Displacement ($m$)','Interpreter', 'latex');

title('Displacement vs.time')

ax6 = subplot(5,2,9:10);

plot(f,P1, 'LineWidth', 1)

grid on

title('Frequency Spectrum of Acceleration')

xlabel('f(Hz)')

ylabel('|P1(f)|')

🎉3 参考文献

部分理论来源于网络,如有侵权请联系删除。

[1]张熹彦.基于可调谐滤波器和DSP的波长解调算法研究及软件设计[D].东南大学,2009.DOI:10.7666/d.y1651500.

[2]刘翔,李哲英.FIR滤波器的速度优化方法研究[C]//全国第

相关文章
|
25天前
|
算法 定位技术 计算机视觉
【水下图像增强】基于波长补偿与去雾的水下图像增强研究(Matlab代码实现)
【水下图像增强】基于波长补偿与去雾的水下图像增强研究(Matlab代码实现)
|
25天前
|
机器学习/深度学习 算法 机器人
使用哈里斯角Harris和SIFT算法来实现局部特征匹配(Matlab代码实现)
使用哈里斯角Harris和SIFT算法来实现局部特征匹配(Matlab代码实现)
123 8
|
25天前
|
机器学习/深度学习 编解码 算法
基于OFDM技术的水下声学通信多径信道图像传输研究(Matlab代码实现)
基于OFDM技术的水下声学通信多径信道图像传输研究(Matlab代码实现)
|
25天前
|
机器学习/深度学习 算法 机器人
【水下图像增强融合算法】基于融合的水下图像与视频增强研究(Matlab代码实现)
【水下图像增强融合算法】基于融合的水下图像与视频增强研究(Matlab代码实现)
150 0
|
1月前
|
数据采集 分布式计算 并行计算
mRMR算法实现特征选择-MATLAB
mRMR算法实现特征选择-MATLAB
121 2
|
2月前
|
传感器 机器学习/深度学习 编解码
MATLAB|主动噪声和振动控制算法——对较大的次级路径变化具有鲁棒性
MATLAB|主动噪声和振动控制算法——对较大的次级路径变化具有鲁棒性
179 3
|
2月前
|
存储 编解码 算法
【多光谱滤波器阵列设计的最优球体填充】使用MSFA设计方法进行各种重建算法时,图像质量可以提高至多2 dB,并在光谱相似性方面实现了显著提升(Matlab代码实现)
【多光谱滤波器阵列设计的最优球体填充】使用MSFA设计方法进行各种重建算法时,图像质量可以提高至多2 dB,并在光谱相似性方面实现了显著提升(Matlab代码实现)
110 6
|
25天前
|
机器学习/深度学习 算法 自动驾驶
基于导向滤波的暗通道去雾算法在灰度与彩色图像可见度复原中的研究(Matlab代码实现)
基于导向滤波的暗通道去雾算法在灰度与彩色图像可见度复原中的研究(Matlab代码实现)
124 8
|
1月前
|
机器学习/深度学习 算法 数据可视化
基于MVO多元宇宙优化的DBSCAN聚类算法matlab仿真
本程序基于MATLAB实现MVO优化的DBSCAN聚类算法,通过多元宇宙优化自动搜索最优参数Eps与MinPts,提升聚类精度。对比传统DBSCAN,MVO-DBSCAN有效克服参数依赖问题,适应复杂数据分布,增强鲁棒性,适用于非均匀密度数据集的高效聚类分析。
|
1月前
|
开发框架 算法 .NET
基于ADMM无穷范数检测算法的MIMO通信系统信号检测MATLAB仿真,对比ML,MMSE,ZF以及LAMA
简介:本文介绍基于ADMM的MIMO信号检测算法,结合无穷范数优化与交替方向乘子法,降低计算复杂度并提升检测性能。涵盖MATLAB 2024b实现效果图、核心代码及详细注释,并对比ML、MMSE、ZF、OCD_MMSE与LAMA等算法。重点分析LAMA基于消息传递的低复杂度优势,适用于大规模MIMO系统,为通信系统检测提供理论支持与实践方案。(238字)

热门文章

最新文章