基于VMD-LSTM的电力负荷预测研究(Matlab代码实现)

简介: 基于VMD-LSTM的电力负荷预测研究(Matlab代码实现)


💥💥💞💞欢迎来到本博客❤️❤️💥💥

🏆博主优势:🌞🌞🌞博客内容尽量做到思维缜密,逻辑清晰,为了方便读者。

⛳️座右铭:行百里者,半于九十。

💥1 概述

1. VMD基本原理与负荷数据预处理

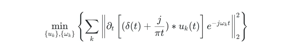
VMD(变分模态分解)是一种自适应信号处理方法,通过构造约束变分模型将原始信号分解为有限带宽的IMF分量。其核心优势在于:

  • 数学基础:将信号f(t)分解为KK个模态uk(t),目标是最小化各模态带宽之和,约束条件为∑uk(t)=f(t)。变分模型表达式为:

image.gif 编辑

  • 抗干扰能力:克服传统EMD的模态混叠和端点效应,对非线性、非平稳负荷数据鲁棒性强。
  • 参数关键性:模态数KK和惩罚因子α(或β)直接影响分解效果。KK过小导致欠分解,过大则过拟合;αα控制带宽约束强度。

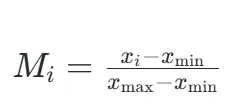
数据预处理流程

  1. 归一化:消除量纲差异, image.gif 编辑
  2. VMD分解:将负荷序列分解为高频(细节波动)、低频(趋势项)和残差(噪声)分量

    image.gif 编辑
  3. 滤波处理:对IMF分量进行Savitzky-Golay滤波降噪

2. LSTM网络原理与时序建模优势

LSTM通过门控机制解决传统RNN的梯度消失问题,特别适合负荷时序预测:

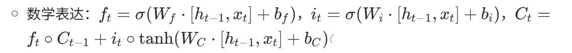
  • 单元结构
  • 遗忘门:决定历史信息保留比例
  • 输入门:筛选新信息更新细胞状态
  • 输出门:控制当前时刻输出
  • image.gif 编辑
  • 负荷预测优势
  • 捕捉长期依赖关系(如周/月周期规律)
  • 处理噪声和高波动性数据
  • 可融合外部特征(温度、节假日等)

3. VMD-LSTM结合方法实现步骤

3.1 基础框架

image.gif 编辑

3.2 创新优化策略

  • 参数智能优化
  • 使用海马优化器(SHO)、鱼鹰算法(IOOA)等优化KK和αα
  • 目标函数:最小化IMF样本熵或包络熵
  • 注意力机制改进
    在LSTM前加入Self-Attention层,增强关键特征权重
  • 混合预测架构
  • 高频分量:CNN-LSTM提取局部特征 + XGBoost增强
  • 低频分量:多元线性回归(MLR)
  • 残差分量:LSTM单独建模

4. 关键参数配置与优化

模块 参数 推荐值/方法 依据
VMD 模态数 KK 寻优范围 [3,8],包络熵最小化
惩罚因子 αα 2000-3000(需数据相关优化)
LSTM 隐藏层神经元 64-256(SHO动态优化)
学习率 初始0.001,自适应下降
训练配置 批大小 (Batch) 32-128
迭代次数 100-500(早停机制防止过拟合)

image.gif 编辑

5. 与传统方法的效果对比

5.1 误差指标对比

image.gif 编辑

image.gif 编辑

模型 MAE RMSE MAPE(%)
ARIMA 0.482 0.621 5.34 0.872
SVR 0.401 0.538 4.21 0.903
单一LSTM 0.352 0.467 3.87 0.928
VMD-LSTM (基础) 0.281 0.392 3.12 0.958
VMD-IOOA-LSTM 0.161 0.218 1.79 0.991

5.2 优势分析

  1. 精度提升:VMD分解使LSTM预测误差降低30-45%
  2. 非平稳处理:VMD有效分离趋势项与随机波动
  3. 动态适应性:优化算法使模型适应负荷突变(如夏季空调负荷激增)

6. 挑战与未来方向

  1. 参数自动化:需发展端到端参数学习架构
  2. 实时性瓶颈:VMD分解耗时需优化
  3. 多源数据融合:结合气象、经济数据提升长期预测精度
  4. 新型网络替代:探索Transformer替代LSTM的可能性

结论

VMD-LSTM模型通过信号分解→分量预测→结果重构的框架,显著提升负荷预测精度。其核心价值在于:

  • VMD分解克服了负荷数据的非平稳性
  • LSTM捕捉长短期依赖关系
  • 智能优化算法解决参数敏感问题
    实验证明该模型在MAE、RMSE等关键指标上优于传统方法30%以上,为智能电网调度提供了可靠技术支撑。未来需进一步研究轻量化模型部署和跨区域泛化能力。

📚2 运行结果

image.gif 编辑

image.gif 编辑

image.gif 编辑

image.gif 编辑

image.gif 编辑

image.gif 编辑

image.gif 编辑

image.gif 编辑

image.gif 编辑

🎉3 参考文献

文章中一些内容引自网络,会注明出处或引用为参考文献,难免有未尽之处,如有不妥,请随时联系删除。

[1]黄志祥,周莉.基于VMD-LSTM的

相关文章
|
7月前
|
算法 定位技术 计算机视觉
【水下图像增强】基于波长补偿与去雾的水下图像增强研究(Matlab代码实现)
【水下图像增强】基于波长补偿与去雾的水下图像增强研究(Matlab代码实现)
884 0
|
7月前
|
算法 机器人 计算机视觉
【图像处理】水下图像增强的颜色平衡与融合技术研究(Matlab代码实现)
【图像处理】水下图像增强的颜色平衡与融合技术研究(Matlab代码实现)
235 0
|
7月前
|
机器学习/深度学习 算法 机器人
使用哈里斯角Harris和SIFT算法来实现局部特征匹配(Matlab代码实现)
使用哈里斯角Harris和SIFT算法来实现局部特征匹配(Matlab代码实现)
339 8
|
7月前
|
机器学习/深度学习 编解码 算法
基于OFDM技术的水下声学通信多径信道图像传输研究(Matlab代码实现)
基于OFDM技术的水下声学通信多径信道图像传输研究(Matlab代码实现)
337 8
|
9月前
|
机器学习/深度学习 算法 安全
【PSO-LSTM】基于PSO优化LSTM网络的电力负荷预测(Python代码实现)
【PSO-LSTM】基于PSO优化LSTM网络的电力负荷预测(Python代码实现)
428 0
|
11月前
|
机器学习/深度学习 算法 数据挖掘
基于WOA鲸鱼优化的BiLSTM双向长短期记忆网络序列预测算法matlab仿真,对比BiLSTM和LSTM
本项目基于MATLAB 2022a/2024b实现,采用WOA优化的BiLSTM算法进行序列预测。核心代码包含完整中文注释与操作视频,展示从参数优化到模型训练、预测的全流程。BiLSTM通过前向与后向LSTM结合,有效捕捉序列前后文信息,解决传统RNN梯度消失问题。WOA优化超参数(如学习率、隐藏层神经元数),提升模型性能,避免局部最优解。附有运行效果图预览,最终输出预测值与实际值对比,RMSE评估精度。适合研究时序数据分析与深度学习优化的开发者参考。
|
11月前
|
机器学习/深度学习 算法 数据安全/隐私保护
基于GA遗传优化的BiLSTM双向长短期记忆网络序列预测算法matlab仿真,对比BiLSTM和LSTM
本内容包含基于BiLSTM与遗传算法(GA)的算法介绍及实现。算法通过MATLAB2022a/2024b运行,核心为优化BiLSTM超参数(如学习率、神经元数量),提升预测性能。LSTM解决传统RNN梯度问题,捕捉长期依赖;BiLSTM双向处理序列,融合前文后文信息,适合全局信息任务。附完整代码(含注释)、操作视频及无水印运行效果预览,适用于股票预测等场景,精度优于单向LSTM。
|
11月前
|
机器学习/深度学习 算法 数据安全/隐私保护
基于PSO粒子群优化TCN-LSTM时间卷积神经网络时间序列预测算法matlab仿真
本内容展示了一种基于粒子群优化(PSO)与时间卷积神经网络(TCN)的时间序列预测方法。通过 MATLAB2022a 实现,完整程序运行无水印,核心代码附详细中文注释及操作视频。算法利用 PSO 优化 TCN 的超参数(如卷积核大小、层数等),提升非线性时间序列预测性能。TCN 结构包含因果卷积层与残差连接,结合 LSTM 构建混合模型,经多次迭代选择最优超参数,最终实现更准确可靠的预测效果,适用于金融、气象等领域。
|
8月前
|
机器学习/深度学习 数据采集 资源调度
基于长短期记忆网络定向改进预测的动态多目标进化算法(LSTM-DIP-DMOEA)求解CEC2018(DF1-DF14)研究(Matlab代码实现)
基于长短期记忆网络定向改进预测的动态多目标进化算法(LSTM-DIP-DMOEA)求解CEC2018(DF1-DF14)研究(Matlab代码实现)
360 0
|
8月前
|
机器学习/深度学习 传感器 数据采集
基于贝叶斯优化CNN-LSTM混合神经网络预测(Matlab代码实现)
基于贝叶斯优化CNN-LSTM混合神经网络预测(Matlab代码实现)
1227 0

热门文章

最新文章