PyTorch学习实战:AI从数学基础到模型优化全流程精解

简介: 本文系统讲解人工智能、机器学习与深度学习的层级关系,涵盖PyTorch环境配置、张量操作、数据预处理、神经网络基础及模型训练全流程,结合数学原理与代码实践,深入浅出地介绍激活函数、反向传播等核心概念,助力快速入门深度学习。

一. 人工智能、机器学习与深度学习的关系

1.1 概念层次解析

人工智能(AI):使机器模拟人类智能的广义领域

机器学习(ML):通过数据驱动的方法让系统自动改进性能

深度学习(DL):基于多层神经网络的机器学习子领域

关系示意图

人工智能 ⊃ 机器学习 ⊃ 深度学习

二. PyTorch环境配置

2.1 Conda环境管理

# 创建虚拟环境

conda create -n pytorch_env python=3.9

# 激活环境

conda activate pytorch_env

# 安装PyTorch(根据CUDA版本选择)

conda install pytorch torchvision torchaudio pytorch-cuda=12.1 -c pytorch -c nvidia # GPU版本

conda install pytorch torchvision torchaudio cpuonly -c pytorch # CPU版本

2.2 验证安装

三. 数学基础与张量操作

3.1 标量、向量、张量

代码示例:张量创建与操作

四. 数据预处理与线性代数

4.1 数据标准化

4.2 线性代数核心操作

五. 神经网络基础

5.1 神经元数学模型

wi:权重

bb:偏置(提供平移能力)

ff:激活函数

代码示例:单神经元实现

六. 模型训练全流程

6.1 训练要素定义

6.2 典型训练循环

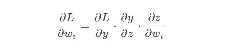
七. 激活函数与反向传播

7.1 常见激活函数对比

7.2 反向传播数学原理

链式法则示例:

其中 z=∑wixi+bz=wixi+by=f(z)y=f(z)

代码示例:手动实现反向传播

:本文代码基于PyTorch 2.0+版本实现,运行前需安装:

pip install torch torchvision matplotlib

目录
相关文章
|
15天前
|
机器学习/深度学习 人工智能 自然语言处理
迁移学习:让小数据也能驱动AI大模型
迁移学习:让小数据也能驱动AI大模型
222 99
|
20天前
|
人工智能 边缘计算 搜索推荐
AI产品测试学习路径全解析:从业务场景到代码实践
本文深入解析AI测试的核心技能与学习路径,涵盖业务理解、模型指标计算与性能测试三大阶段,助力掌握分类、推荐系统、计算机视觉等多场景测试方法,提升AI产品质量保障能力。
|
20天前
|
机器学习/深度学习 存储 PyTorch
Neural ODE原理与PyTorch实现:深度学习模型的自适应深度调节
Neural ODE将神经网络与微分方程结合,用连续思维建模数据演化,突破传统离散层的限制,实现自适应深度与高效连续学习。
57 3
Neural ODE原理与PyTorch实现:深度学习模型的自适应深度调节
|
28天前
|
存储 人工智能 搜索推荐
一种专为AI代理设计的内存层,能够在交互过程中记忆、学习和进化
Mem0 是专为 AI 代理设计的内存层,支持记忆、学习与进化。提供多种记忆类型,可快速集成,适用于开源与托管场景,助力 AI 代理高效交互与成长。
252 123
一种专为AI代理设计的内存层,能够在交互过程中记忆、学习和进化
|
8天前
|
人工智能 安全 中间件
阿里云 AI 中间件重磅发布,打通 AI 应用落地“最后一公里”
9 月 26 日,2025 云栖大会 AI 中间件:AI 时代的中间件技术演进与创新实践论坛上,阿里云智能集团资深技术专家林清山发表主题演讲《未来已来:下一代 AI 中间件重磅发布,解锁 AI 应用架构新范式》,重磅发布阿里云 AI 中间件,提供面向分布式多 Agent 架构的基座,包括:AgentScope-Java(兼容 Spring AI Alibaba 生态),AI MQ(基于Apache RocketMQ 的 AI 能力升级),AI 网关 Higress,AI 注册与配置中心 Nacos,以及覆盖模型与算力的 AI 可观测体系。
|
9天前
|
数据采集 人工智能 前端开发
Playwright与AI智能体的网页爬虫创新应用
厌倦重复测试与低效爬虫?本课程带您掌握Playwright自动化工具,并融合AI大模型构建智能体,实现网页自主分析、决策与数据提取,完成从脚本执行到智能架构的能力跃升。
|
9天前
|
人工智能 运维 安全
聚焦 AI 应用基础设施,云栖大会 Serverless AI 全回顾
2025 年 9 月 26 日,为期三天的云栖大会在杭州云栖小镇圆满闭幕。随着大模型技术的飞速发展,我们正从云原生时代迈向一个全新的 AI 原生应用时代。为了解决企业在 AI 应用落地中面临的高成本、高复杂度和高风险等核心挑战,阿里云基于函数计算 FC 发布一系列重磅服务。本文将对云栖大会期间 Serverless+AI 基础设施相关内容进行全面总结。
|
10天前
|
设计模式 机器学习/深度学习 人工智能
AI-Native (AI原生)图解+秒懂: 什么是 AI-Native 应用(AI原生应用)?如何设计一个 AI原生应用?
AI-Native (AI原生)图解+秒懂: 什么是 AI-Native 应用(AI原生应用)?如何设计一个 AI原生应用?
|
11天前
|
人工智能 负载均衡 API
Vercel 发布 AI Gateway 神器!可一键访问数百个模型,助力零门槛开发 AI 应用
大家好,我是Immerse,独立开发者、AGI实践者。分享编程、AI干货、开源项目与个人思考。关注公众号“沉浸式趣谈”,获取独家内容。Vercel新推出的AI Gateway,统一多模型API,支持自动切换、负载均衡与零加价调用,让AI开发更高效稳定。一行代码切换模型,告别接口烦恼!
126 1
Vercel 发布 AI Gateway 神器!可一键访问数百个模型,助力零门槛开发 AI 应用
|
14天前
|
边缘计算 人工智能 算法
AI在智慧能源管理中的边缘计算应用
AI在智慧能源管理中的边缘计算应用
84 13

热门文章

最新文章

推荐镜像

更多