【GPS+INS在MAV导航上融合】基于间接卡尔曼滤波的IMU与GPS融合MATLAB仿真(IMU与GPS数据由仿真生成)

简介: 【GPS+INS在MAV导航上融合】基于间接卡尔曼滤波的IMU与GPS融合MATLAB仿真(IMU与GPS数据由仿真生成)

💥💥💞💞欢迎来到本博客❤️❤️💥💥

🏆博主优势:🌞🌞🌞博客内容尽量做到思维缜密,逻辑清晰,为了方便读者。

⛳️座右铭:行百里者,半于九十。

💥1 概述

在这个基于间接卡尔曼滤波的IMU与GPS融合的MATLAB仿真中,我们首先需要生成仿真数据来模拟IMU和GPS的输出。IMU(惯性测量单元)提供的是飞行器的加速度计和陀螺仪数据,用于进行状态预测。而GPS则提供位置和速度的测量值,用于对状态进行矫正,从而提高导航的准确性。

在每个时间步,我们先利用状态预测方程和IMU测量值进行状态预测,得到偏差状态预测方程的相关系数。如果在该时间步有GPS测量值可用,我们会进行量测更新,并对状态进行偏差矫正;如果没有GPS测量值,则不会进行量测更新,状态也不会被矫正,导致滤波效果降低。

通过这种融合IMU和GPS数据的方式,我们可以实现对飞行器的精确导航,提高飞行的稳定性和准确性。同时,基于MATLAB的仿真可以帮助我们验证算法的有效性,并优化导航系统的设计。

一、间接卡尔曼滤波(Indirect Kalman Filter, IKF)原理

1. 基本思想

间接卡尔曼滤波以导航参数的误差量作为状态变量,而非直接估计姿态、速度、位置等绝对量。其优势在于:

  • 误差量通常较小,可近似为线性模型,简化滤波计算。
  • 适合处理IMU累积误差,通过GPS观测修正误差,抑制漂移。

2. 状态方程与观测方程

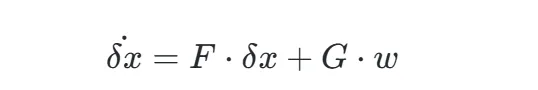
  • 状态方程:描述误差传播过程。例如,IMU的加速度计零偏、陀螺仪零偏等误差模型:
    image.gif 编辑
    其中,δx为误差状态向量(如位置误差、速度误差、姿态角误差等),F为误差传播矩阵,w为过程噪声。
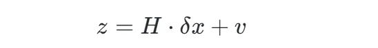
  • 观测方程:建立GPS与IMU输出间的误差关系:
    image.gif 编辑
    z为观测残差(如GPS位置与IMU积分位置的差值),H为观测矩阵,v为观测噪声。

3. 滤波流程

  1. 预测阶段:利用IMU数据通过积分传播误差状态和协方差矩阵。
  2. 更新阶段:用GPS观测残差修正预测值,计算卡尔曼增益并更新状态估计。
  3. 反馈校正:将误差估计反馈至导航解算,重置误差状态,避免非线性累积。

二、MAV导航系统结构与传感器配置

1. 典型传感器配置

  • IMU:三轴加速度计+陀螺仪,提供高频运动信息(100Hz+)。
  • GPS:低频(1-10Hz)但绝对定位信息。
  • 辅助传感器:磁力计(航向校准)、气压计(高度修正)等。

2. 硬件集成架构

  • 分层处理:低级控制器(如Pixhawk)处理IMU数据,高级融合算法运行在机载计算机(如Intel Core i7)。
  • 数据同步:硬件时间戳对齐IMU与GPS数据,避免时延误差。

三、IMU与GPS融合数学模型

1. 松耦合 vs 紧耦合

  • 松耦合:直接融合GPS位置/速度与IMU积分结果,结构简单但抗干扰能力弱。

    image.gif 编辑
  • 紧耦合:融合GPS伪距、多普勒频移等原始观测值,鲁棒性高但计算复杂。

2. 状态变量设计

典型状态向量包括:

image.gif 编辑

3. 误差传播模型

  • 位置误差:由速度误差积分引起。
  • 速度误差:受加速度计零偏和姿态误差影响。
  • 姿态误差:与陀螺仪零偏直接相关。

四、MATLAB仿真实现步骤

1. 数据生成

  • 轨迹仿真:使用waypointTrajectory生成预设飞行轨迹。
  • IMU仿真:通过imuSensor模块模拟加速度计和陀螺仪数据,添加白噪声、零偏等误差:
imu = imuSensor('SampleRate', fs);
imu.Accelerometer = accelparams('NoiseDensity', 0.001);
imu.Gyroscope = gyroparams('RandomWalk', 0.01);
[accelReadings, gyroReadings] = imu(trueAcceleration, trueAngularVelocity);
  • image.gif
  • GPS仿真:添加高斯噪声和低频采样:
gpsPos = truePos + sigma_gps * randn(3,1);
  • image.gif

2. 滤波算法实现

% 初始化
P = eye(9);  % 误差协方差矩阵
Q = diag([1e-4, 1e-4, 1e-4, 1e-6, 1e-6, 1e-6, 1e-8, 1e-8, 1e-8]);  % 过程噪声
R = diag([1, 1, 3]);  % GPS观测噪声
for k = 2:N
    % 预测阶段
    [F, G] = getJacobians(imuData(k-1));
    delta_x_pred = F * delta_x;
    P_pred = F * P * F' + G * Q * G';
    
    % 更新阶段(当GPS数据到达时)
    if mod(k, gpsInterval) == 0
        H = [eye(3), zeros(3,6)];
        K = P_pred * H' / (H * P_pred * H' + R);
        delta_x = delta_x_pred + K * (gpsPos(k) - insPos(k));
        P = (eye(9) - K * H) * P_pred;
    end
end

image.gif


五、参数调优与性能优化

1. 噪声协方差矩阵调整

  • 过程噪声Q:反映IMU误差动态特性。过大导致滤波发散,过小导致响应滞后。建议通过蒙特卡洛仿真优化。
  • 观测噪声R:与GPS精度相关(如C/A码定位误差约3m,差分GPS可至0.1m)。

2. 自适应滤波

  • 创新序列监测:计算残差z−Hδx,动态调整Q/R以应对环境变化。
  • 滑动窗口法:基于历史数据估计噪声统计特性。

六、仿真验证指标

1. 误差指标

  • 位置误差RMSE
    image.gif 编辑
  • 姿态角误差:以欧拉角或四元数差异度量。


    image.gif 编辑

2. 收敛性分析

  • 首次收敛时间:从初始误差到稳定在阈值内的时间。
  • 动态响应:突变轨迹下的误差恢复速度。

3. 典型结果示例

场景 位置误差 (m) 姿态误差 (°) 收敛时间 (s)
静态测试 0.12 0.05 10
动态盘旋 0.85 0.3 25
GPS信号丢失 1.2(10秒内) 0.8 发散

七、扩展讨论

  1. 抗干扰设计:在GPS拒止环境下,引入视觉/激光SLAM作为辅助观测源。
  2. 硬件在环仿真:通过ROS或V-REP连接实际飞控,验证算法实时性。

    image.gif 编辑
  3. 嵌入式部署:将MATLAB代码转换为C/C++,部署至Pixhawk等嵌入式平台。

结论

基于间接卡尔曼滤波的IMU/GPS融合方法通过误差状态建模,有效平衡了IMU的高频特性与GPS的绝对精度,在MAV导航中表现出良好的鲁棒性。MATLAB仿真为算法验证提供了灵活平台,但需结合实际传感器参数和环境噪声进行调优。未来研究可进一步探索多传感器深度融合及自适应滤波技术,以应对复杂动态环境挑战。

📚2 运行结果

image.gif 编辑

image.gif 编辑

image.gif 编辑

image.gif 编辑

部分代码:

errorstate0=zeros(15,1);%误差初始状态赋值

Cov=[0.01*ones(3,1);zeros(3,1);0.01*ones(3,1);zeros(3,1)];

Qc0=diag(Cov);%初始噪声方差

Rc0=diag([0.01,0.01,0.01]);%GPS测量噪声误差方差

% Qc0=diag(zeros(12,1));%初始噪声方差

% Rc0=diag(zeros(3,1));%GPS测量噪声误差方差

%可以改变量使输入的惯性元件的数据带噪声或者不带

ins = InsSolver(Qc0,Rc0);

% [state,errorstate] = ins.imu2state(acc_pure,gyro_pure,gps_pure,state0,errorstate0,tspan,step,0);

[state,errorstate] = ins.imu2state(acc_noise,gyro_noise,gps_noise,state0,errorstate0,tspan,step,0);

%plot trajactory

figure(4)

plot3(r(:,1),r(:,2),r(:,3));

title('真实轨迹');

grid on;

figure(1);

plot3(state(:,1),state(:,2),state(:,3));

title('滤波轨迹');

grid on;

🎉3 参考文献

文章中一些内容引自网络,会注明出处或引用为参考文献,难免有未尽之处,如有不妥,请随时联系删除。

[1]Monocular Vision for Long-term Micro Aerial State Estimation:A

Compendium, Stephan Weiss,2013

[2]:卡尔曼滤波与组合导航原理,秦永元,P49,

相关文章
|
8天前
|
数据可视化
基于MATLAB的OFDM调制发射与接收仿真
基于MATLAB的OFDM调制发射与接收仿真
|
11天前
|
传感器 机器学习/深度学习 算法
【使用 DSP 滤波器加速速度和位移】使用信号处理算法过滤加速度数据并将其转换为速度和位移研究(Matlab代码实现)
【使用 DSP 滤波器加速速度和位移】使用信号处理算法过滤加速度数据并将其转换为速度和位移研究(Matlab代码实现)
|
12天前
|
传感器 算法 数据挖掘
基于协方差交叉(CI)的多传感器融合算法matlab仿真,对比单传感器和SCC融合
基于协方差交叉(CI)的多传感器融合算法,通过MATLAB仿真对比单传感器、SCC与CI融合在位置/速度估计误差(RMSE)及等概率椭圆上的性能。采用MATLAB2022A实现,结果表明CI融合在未知相关性下仍具鲁棒性,有效降低估计误差。
124 15
|
8天前
|
监控
基于MATLAB/Simulink的单机带负荷仿真系统搭建
使用MATLAB/Simulink平台搭建一个单机带负荷的电力系统仿真模型。该系统包括同步发电机、励磁系统、调速系统、变压器、输电线路以及不同类型的负荷模型。
163 5
|
13天前
|
机器学习/深度学习 算法 数据安全/隐私保护
基于WOA鲸鱼优化的XGBoost序列预测算法matlab仿真
基于WOA优化XGBoost的序列预测算法,利用鲸鱼优化算法自动寻优超参数,提升预测精度。结合MATLAB实现,适用于金融、气象等领域,具有较强非线性拟合能力,实验结果表明该方法显著优于传统模型。(238字)
|
10天前
|
算法 计算机视觉
【MPDR & SMI】失配广义夹角随输入信噪比变化趋势、输出信干噪比随输入信噪比变化趋势研究(Matlab代码实现)
【MPDR & SMI】失配广义夹角随输入信噪比变化趋势、输出信干噪比随输入信噪比变化趋势研究(Matlab代码实现)
|
10天前
|
编解码 人工智能 算法
【采用BPSK或GMSK的Turbo码】MSK、GMSK调制二比特差分解调、turbo+BPSK、turbo+GMSK研究(Matlab代码实现)
【采用BPSK或GMSK的Turbo码】MSK、GMSK调制二比特差分解调、turbo+BPSK、turbo+GMSK研究(Matlab代码实现)
|
10天前
|
机器学习/深度学习 编解码 并行计算
【改进引导滤波器】各向异性引导滤波器,利用加权平均来实现最大扩散,同时保持图像中的强边缘,实现强各向异性滤波,同时保持原始引导滤波器的低低计算成本(Matlab代码实现)
【改进引导滤波器】各向异性引导滤波器,利用加权平均来实现最大扩散,同时保持图像中的强边缘,实现强各向异性滤波,同时保持原始引导滤波器的低低计算成本(Matlab代码实现)
|
9天前
|
存储 编解码 算法
【多光谱滤波器阵列设计的最优球体填充】使用MSFA设计方法进行各种重建算法时,图像质量可以提高至多2 dB,并在光谱相似性方面实现了显著提升(Matlab代码实现)
【多光谱滤波器阵列设计的最优球体填充】使用MSFA设计方法进行各种重建算法时,图像质量可以提高至多2 dB,并在光谱相似性方面实现了显著提升(Matlab代码实现)
|
9天前
|
机器学习/深度学习 传感器 算法
【高创新】基于优化的自适应差分导纳算法的改进最大功率点跟踪研究(Matlab代码实现)
【高创新】基于优化的自适应差分导纳算法的改进最大功率点跟踪研究(Matlab代码实现)
91 14

热门文章

最新文章