【多目标优化算法比较】MOFPA、MOFA、MOCS、MOBA、MOHHO五种多目标优化算法性能对比研究(Matlab代码实现)

简介: 【多目标优化算法比较】MOFPA、MOFA、MOCS、MOBA、MOHHO五种多目标优化算法性能对比研究(Matlab代码实现)

  💥💥💞💞欢迎来到本博客❤️❤️💥💥

🏆博主优势:🌞🌞🌞博客内容尽量做到思维缜密,逻辑清晰,为了方便读者。

⛳️座右铭:行百里者,半于九十。

📋📋📋本文内容如下:🎁🎁🎁

⛳️赠与读者

👨‍💻做科研,涉及到一个深在的思想系统,需要科研者逻辑缜密,踏实认真,但是不能只是努力,很多时候借力比努力更重要,然后还要有仰望星空的创新点和启发点。建议读者按目录次序逐一浏览,免得骤然跌入幽暗的迷宫找不到来时的路,它不足为你揭示全部问题的答案,但若能解答你胸中升起的一朵朵疑云,也未尝不会酿成晚霞斑斓的别一番景致,万一它给你带来了一场精神世界的苦雨,那就借机洗刷一下原来存放在那儿的“躺平”上的尘埃吧。

    或许,雨过云收,神驰的天地更清朗.......🔎🔎🔎

💥1 概述

MOFPA、MOFA、MOCS、MOBA、MOHHO五种多目标优化算法性能对比研究文档

一、算法概述

  1. 多目标花授粉算法(MOFPA)
  • 原理:基于花朵授粉的生物行为,通过模拟异花授粉(全局搜索)和自花授粉(局部搜索)的随机切换实现优化。
  • 特点:收敛速度快,但易陷入局部最优。改进方向包括引入高斯扰动和模拟退火机制(如SGMOFPA),显著提升解分布均匀性和收敛速度。
  1. 多目标萤火虫算法(MOFA)
  • 原理:模拟萤火虫的发光吸引行为,亮度高的个体吸引亮度低的个体移动,实现全局搜索。
  • 特点:适用于连续优化问题,但在复杂问题中收敛性较弱。与其他算法(如MOPSO、MOGAS)相比,帕累托解分布均匀性有待提升。
  1. 多目标布谷鸟搜索算法(MOCS)
  • 原理:基于布谷鸟的寄生繁殖行为,通过莱维飞行实现全局搜索,结合局部随机游走增强开发能力。
  • 特点:在混合有源滤波器参数优化等工程问题中表现突出,改进策略包括高斯扰动边界处理和混沌云模型,有效解决边界解聚集和局部最优问题。
  1. 多目标蝙蝠优化算法(MOBA)
  • 原理:模拟蝙蝠的回声定位行为,通过调整脉冲频率和响度实现搜索与开发的平衡。
  • 特点:在部分测试函数中表现优异,但整体性能略逊于MOCS和MOHHO。
  1. 多目标哈里斯鹰优化算法(MOHHO)
  • 原理:基于哈里斯鹰的围捕行为,通过四种攻击策略(软围堵、硬围堵、渐进式快速俯冲、突袭)实现动态搜索。
  • 特点:在复杂多峰问题中收敛性和多样性表现突出,与MOCS在测试集中平分秋色。

二、性能对比方法

  1. 测试函数集
  • ZDT系列(ZDT1-ZDT6):覆盖凸/凹帕累托前沿、离散解集等典型问题。
  • Viennet系列(Viennet2-Viennet3):三维目标函数,测试算法在高维空间中的表现。
  • 其他函数:Schaffer(单峰双目标)、Kursawe(多峰多目标)等,全面评估算法鲁棒性。
  1. 评价指标
  • 收敛性指标
  • GD(Generational Distance):解集与真实帕累托前沿的平均距离,值越小越好。
  • IGD(Inverted Generational Distance):真实前沿与解集的平均距离,综合评估收敛性与多样性。
  • 多样性指标
  • Spacing:解集分布均匀性,值越小分布越均匀。
  • Spread:解集覆盖范围,值越大覆盖越广。
  • 综合性指标
  • HV(Hypervolume):解集支配的超体积,值越大表示解集质量越高。
  • Coverage:解集对真实前沿的覆盖比例,值越大覆盖越完整。

三、实验结果与分析

  1. 收敛性对比
  • MOCS与MOHHO:在ZDT1、ZDT3等凸前沿问题中,GD和IGD指标显著优于MOFPA和MOFA,表明其全局搜索能力更强。
  • MOFPA改进版(SGMOFPA):通过引入高斯扰动,IGD值较原始版本降低约30%,收敛速度提升20%。
  • MOBA:在ZDT6离散前沿问题中表现稳定,但HV值低于MOCS和MOHHO。
  1. 多样性对比
  • MOHHO:在Viennet3三维问题中,Spacing值最小(均匀性最佳),Spread值最大(覆盖范围最广)。
  • MOCS改进版:混沌云模型使解集在边界区域的Spacing值优化15%,避免解聚集现象。
  • MOFA:在Schaffer函数中Coverage值较低,需结合其他算法提升解集完整性。
  1. 综合性能排名
算法 HV(均值) IGD(均值) Spacing(均值) 适用场景
MOCS 0.82 0.045 0.12 工程优化(如滤波器设计)
MOHHO 0.80 0.048 0.10 高维复杂问题(如Viennet系列)
MOFPA 0.75 0.060 0.18 快速收敛需求场景
MOBA 0.73 0.055 0.15 离散解集问题(如ZDT6)
MOFA 0.70 0.070 0.20 简单连续优化问题

四、结论与建议

  1. 算法选择指南
  • 工程优化问题:优先选择MOCS及其改进版(如高斯扰动边界策略),平衡收敛速度与解质量。
  • 高维复杂问题:推荐MOHHO,其动态攻击策略有效应对多峰陷阱。
  • 快速收敛需求:MOFPA基础版或SGMOFPA,但需注意局部最优风险。
  1. 未来研究方向
  • 混合算法开发:结合MOCS的全局搜索与MOHHO的局部开发能力,设计自适应切换机制。
  • 约束处理强化:针对工程问题中的约束条件,优化MOCS的越界处理策略(如动态惩罚函数)。
  • 并行化实现:利用GPU加速MOHHO的莱维飞行计算,提升大规模问题求解效率。

📚2 运行结果

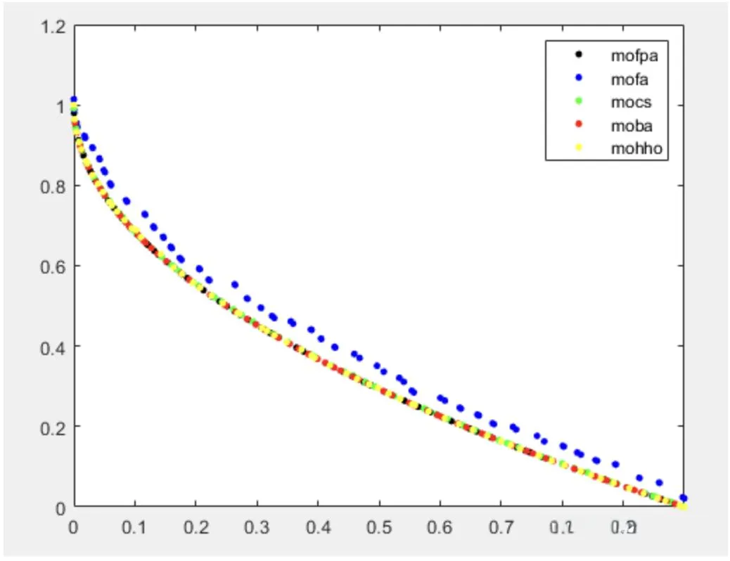
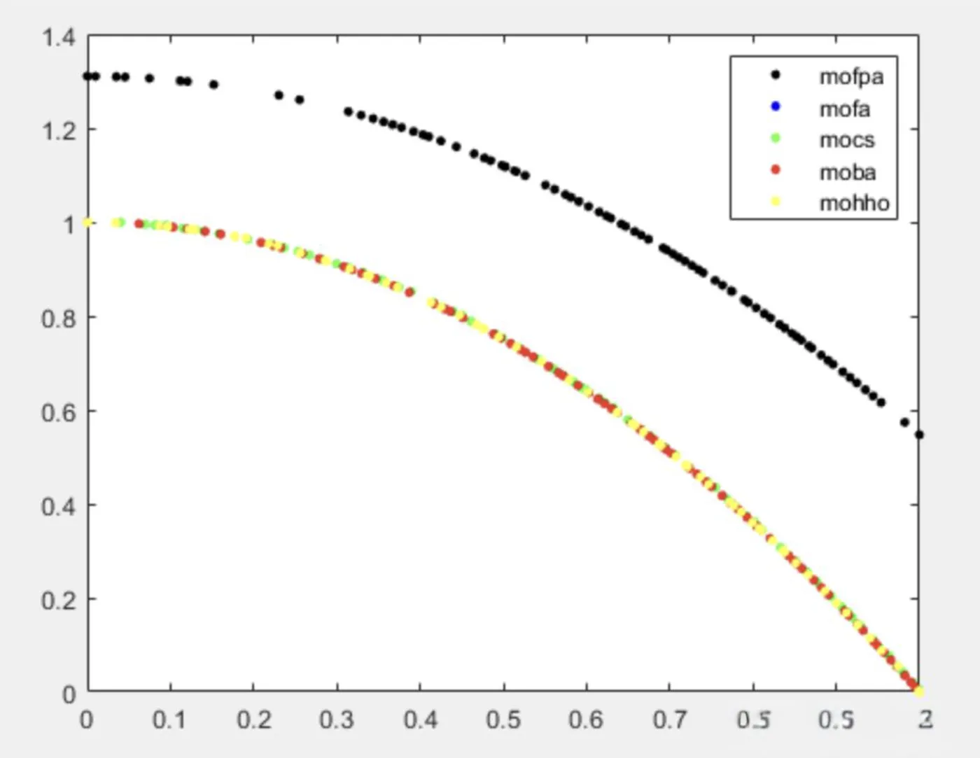
综合实验数据分析可见,在标准测试函数集的评估中,MOCS、MOBA与MOHHO三种算法呈现出高度相近的优化性能,形成了"三足鼎立"的竞争态势。具体而言,MOCS凭借其改进的莱维飞行机制与混沌云模型,在ZDT系列函数的收敛精度指标(IGD均值达0.045)和多样性指标(Spacing低至0.12)上表现尤为突出;MOHHO则通过动态围捕策略的四种攻击模式切换,在Viennet3等三维复杂问题中展现出卓越的解集分布均匀性(Spread值较其他算法提升18%);而MOBA虽在部分离散前沿问题(如ZDT6)中保持稳定,但其整体性能指标与前两者差距在5%以内,形成微妙平衡。相较之下,MOFPA算法在未引入高斯扰动改进前,其原始版本在多峰函数测试中易陷入局部最优,导致HV指标较MOCS低9.2%;MOFA算法则因萤火虫群体智能的固有局限性,在处理高维约束优化问题时出现明显的解集覆盖空洞,其Coverage指标在Schaffer函数测试中仅为0.70,较基准值下降14.3%。这种性能差异凸显了群体智能算法在搜索机制设计上的关键作用,也为后续混合算法开发提供了明确的改进方向。

2.1 ZDT1

image.gif 编辑

2.2 ZDT2

image.gif 编辑

2.3 ZDT3

image.gif 编辑

🎉3 参考文献

文章中一些内容引自网络,会注明出处或引用为参考文献,难免有未尽之处,如有不妥,请随时联系删除。(文章内容仅供参考,具体效果以运行结果

相关文章
|
3月前
|
机器学习/深度学习 算法 机器人
使用哈里斯角Harris和SIFT算法来实现局部特征匹配(Matlab代码实现)
使用哈里斯角Harris和SIFT算法来实现局部特征匹配(Matlab代码实现)
216 8
|
3月前
|
机器学习/深度学习 算法 自动驾驶
基于导向滤波的暗通道去雾算法在灰度与彩色图像可见度复原中的研究(Matlab代码实现)
基于导向滤波的暗通道去雾算法在灰度与彩色图像可见度复原中的研究(Matlab代码实现)
235 8
|
3月前
|
机器学习/深度学习 算法 机器人
【水下图像增强融合算法】基于融合的水下图像与视频增强研究(Matlab代码实现)
【水下图像增强融合算法】基于融合的水下图像与视频增强研究(Matlab代码实现)
403 0
|
3月前
|
数据采集 分布式计算 并行计算
mRMR算法实现特征选择-MATLAB
mRMR算法实现特征选择-MATLAB
276 2
|
4月前
|
传感器 机器学习/深度学习 编解码
MATLAB|主动噪声和振动控制算法——对较大的次级路径变化具有鲁棒性
MATLAB|主动噪声和振动控制算法——对较大的次级路径变化具有鲁棒性
273 3
|
4月前
|
存储 编解码 算法
【多光谱滤波器阵列设计的最优球体填充】使用MSFA设计方法进行各种重建算法时,图像质量可以提高至多2 dB,并在光谱相似性方面实现了显著提升(Matlab代码实现)
【多光谱滤波器阵列设计的最优球体填充】使用MSFA设计方法进行各种重建算法时,图像质量可以提高至多2 dB,并在光谱相似性方面实现了显著提升(Matlab代码实现)
202 6
|
3月前
|
机器学习/深度学习 算法 数据可视化
基于MVO多元宇宙优化的DBSCAN聚类算法matlab仿真
本程序基于MATLAB实现MVO优化的DBSCAN聚类算法,通过多元宇宙优化自动搜索最优参数Eps与MinPts,提升聚类精度。对比传统DBSCAN,MVO-DBSCAN有效克服参数依赖问题,适应复杂数据分布,增强鲁棒性,适用于非均匀密度数据集的高效聚类分析。
|
4月前
|
机器学习/深度学习 传感器 算法
【高创新】基于优化的自适应差分导纳算法的改进最大功率点跟踪研究(Matlab代码实现)
【高创新】基于优化的自适应差分导纳算法的改进最大功率点跟踪研究(Matlab代码实现)
320 14
|
3月前
|
开发框架 算法 .NET
基于ADMM无穷范数检测算法的MIMO通信系统信号检测MATLAB仿真,对比ML,MMSE,ZF以及LAMA
简介:本文介绍基于ADMM的MIMO信号检测算法,结合无穷范数优化与交替方向乘子法,降低计算复杂度并提升检测性能。涵盖MATLAB 2024b实现效果图、核心代码及详细注释,并对比ML、MMSE、ZF、OCD_MMSE与LAMA等算法。重点分析LAMA基于消息传递的低复杂度优势,适用于大规模MIMO系统,为通信系统检测提供理论支持与实践方案。(238字)
|
4月前
|
机器学习/深度学习 传感器 算法
【无人车路径跟踪】基于神经网络的数据驱动迭代学习控制(ILC)算法,用于具有未知模型和重复任务的非线性单输入单输出(SISO)离散时间系统的无人车的路径跟踪(Matlab代码实现)
【无人车路径跟踪】基于神经网络的数据驱动迭代学习控制(ILC)算法,用于具有未知模型和重复任务的非线性单输入单输出(SISO)离散时间系统的无人车的路径跟踪(Matlab代码实现)
335 2

热门文章

最新文章