基于模型预测控制对PMSM进行FOC控制,模拟控制了PMSM的速度(Simulink仿真实现)

简介: 基于模型预测控制对PMSM进行FOC控制,模拟控制了PMSM的速度(Simulink仿真实现)

💥💥💞💞欢迎来到本博客❤️❤️💥💥

🏆博主优势:🌞🌞🌞博客内容尽量做到思维缜密,逻辑清晰,为了方便读者。

⛳️座右铭:行百里者,半于九十。

💥1 概述

基于模型预测控制(MPC)对永磁同步电机(PMSM)进行磁场定向控制(FOC),可以实现对PMSM速度的精确控制。MPC是一种基于系统动态模型的高级控制方法,它可以考虑系统的约束条件和未来预测,从而优化控制输入以实现所需的性能。在模拟中控制PMSM的速度时,MPC可以帮助提高系统的响应速度和鲁棒性,同时考虑到系统的动态特性和约束条件,从而实现更精确的速度控制。

一、理论基础

1. 磁场定向控制(FOC)的基本原理

FOC通过坐标变换(Clark变换 + Park变换)将三相静止坐标系下的电流转换为两相旋转坐标系(d-q轴)下的直流量,实现对励磁电流(idid)和转矩电流(iqiq)的独立控制:

  • d轴:控制磁通(通常设 id=0 以实现最大转矩输出);
  • q轴:控制转矩(直接决定转速)。
    其数学模型包括:
  • image.gif 编辑

2. 模型预测控制(MPC)的核心机制

MPC在每个控制周期内执行三步:

  1. 预测模型:基于PMSM离散化动态方程(如定子电流 id,iqid,iq 的状态空间模型)预测未来 NN 步的状态;
  2. 滚动优化:求解代价函数最小值,例如:
    image.gif 编辑
    其中 λ 为权重因子,平衡转矩跟踪与磁链抑制;
  3. 反馈校正:将优化后的首个控制量(电压矢量)作用于逆变器,下一周期重新预测。

3. MPC与FOC的融合逻辑

在传统FOC中,电流环通常采用PI控制器。而MPC-FOC方案将MPC替代PI控制器作为电流内环:

  • 外环:速度环(仍用PI控制器生成 iq,ref);
  • 内环:MPC直接优化电压矢量,实现 iq→iq,ref 的快速跟踪。

二、MPC-FOC在速度控制中的优势

1. 动态响应与抗扰性

  • 超调抑制:传统FOC在突加负载时转速可能跌落49%(如1000RPM → 510RPM),而MPC-FOC组合可将波动降至5%以内;
  • 速度跟踪:MPC的预测优化使转速无超调(传统FOC超调达18%),且响应时间缩短30%。

    image.gif 编辑

2. 多目标优化能力

MPC可同时处理多个约束:

  • 电压/电流限幅:避免逆变器过调制;
  • 转矩脉动抑制:通过代价函数惩罚 iqiq 波动,降低转矩谐波;

    image.gif 编辑
  • 弱磁控制:在高速域自动调节 idid 以维持电压极限。

3. 鲁棒性提升

  • 对电机参数变化(如 Ld,LqLd,Lq 漂移)不敏感,因MPC在每个周期重新预测修正;
  • 实验表明:在±20%参数偏差下,MPC-FOC的转速波动仍小于传统FOC。

三、仿真实现方法与工具

1. 仿真平台

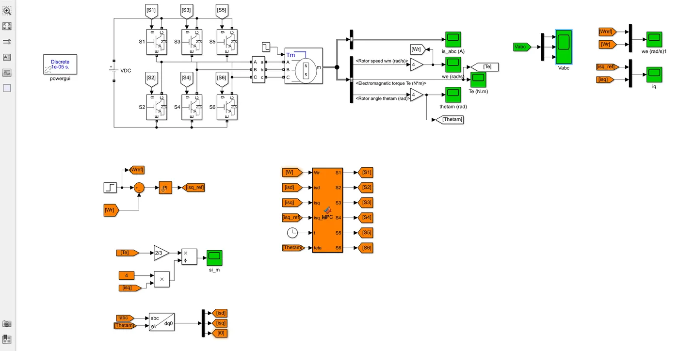
  • MATLAB/Simulink
  • 内置模块:PMSM本体Clark/Park变换SVPWM发生器
  • 关键模型:mcb_pmsm_foc_mpc_qep_f28379d(集成MPC电流环);
  • 工具包需求:Motor Control Blockset + Model Predictive Control Toolbox。

2. 建模步骤

  1. 电机参数辨识:通过离线实验获取 Rs,Ld,Lq,ψf;
  2. MPC控制器设计
  • 离散化模型:前向欧拉法 image.gif 编辑
  • 代价函数:权重因子 λλ 需人工调整或通过ANN优化;
  1. 双闭环结构 image.gif 编辑

3. 性能对比仿真案例

控制策略 启动时间 (ms) 突加负载转速跌落 (%) 电流THD (%)
传统FOC 50 49 8.2
MPC-FOC 35 4 3.1
数据来源:Simulink对比实验(参考速度1000RPM)

四、研究挑战与前沿方向

  1. 实时计算负担
  • MPC的在线优化需高频运算(>10kHz),需采用FPGA或专用MPC芯片加速;
  • 解决方案:简化预测时域(如 N=2N=2)或使用显式MPC(eMPC)预计算解空间。
  1. 无传感器集成
  • 结合滑模观测器(SMO)或MRAS估计转子位置,消除编码器依赖;
  • 实验显示:无传感器MPC-FOC在低速域估计误差<2°。
  1. 智能优化算法
  • 蚁群算法(ACO)优化MPC权重因子 λλ,进一步减少转矩脉动;
  • 深度强化学习(DRL)训练MPC策略,适应极端工况。

结论

MPC-FOC通过预测优化替代PI电流环,显著提升PMSM速度控制的动态响应、抗扰性与多约束处理能力。Simulink仿真验证其超调抑制、转矩脉动降低等优势,但需解决实时计算挑战。未来方向聚焦智能算法融合与无传感器集成,推动其在电动汽车、航空航天等高动态场景的应用。

📚2 运行结果

image.gif 编辑

image.gif 编辑

image.gif 编辑

image.gif 编辑

image.gif 编辑

image.gif 编辑

image.gif 编辑

image.gif 编辑

image.gif 编辑

🎉3 参考文献

文章中一些内容引自网络,会注明出处或引用为参考文献,难免有未尽之处,如有不妥,请随时联系删除。

[1]许伟奇.永磁同步电机模型预测控制及容错控制策略的研究[D].兰州交通大学[2024-01-27].DOI:CNKI:CDMD:2.1018.235978.

[2]刘旭东,张承慧,顾欣,等.基于模型预测和谐振调节器的PMSM电流控制[J].电气传动, 2016, 46(4):5.DOI:10.3969/j.issn.1001-2095.2016.04.003.

[3]郝晋霞,孟建华,田喜平.基于FOC的资料获取,更多粉丝福利,MATLAB|Simulink|Python资源获取【请看主页然后私信】

相关文章
|
SQL 测试技术 网络安全
[ 渗透工具篇 ] sqlmap 详解(一) sqlmap 安装详解
[ 渗透工具篇 ] sqlmap 详解(一) sqlmap 安装详解
3069 0
[ 渗透工具篇 ] sqlmap 详解(一) sqlmap 安装详解
|
5月前
|
算法 Python
粒子群算法对pi控制器进行参数优化,随时优化pi参数以控制直流无刷电机转速(Simulink仿真实现)
粒子群算法对pi控制器进行参数优化,随时优化pi参数以控制直流无刷电机转速(Simulink仿真实现)
186 9
|
5月前
|
编解码 安全 Python
【SVPWM的模型】基于三相VSC的空间矢量PWM方法研究(Simulink仿真实现)
【SVPWM的模型】基于三相VSC的空间矢量PWM方法研究(Simulink仿真实现)
216 3
|
编解码 数据可视化 前端开发
如何使用 D3.js 创建一个交互式的地图可视化?
如何使用 D3.js 创建一个交互式的地图可视化?
|
9月前
|
机器学习/深度学习 人工智能 关系型数据库
通义 CoGenAV 大模型音画同步感知,重新定义语音理解边界
CoGenAV 是一种创新的多模态语音理解模型,核心理念是实现“音画同步”的深度理解。通过学习 audio-visual-text 的时序对齐关系,构建更鲁棒、更通用的语音表征框架。它在视觉语音识别(VSR)、音视频语音识别(AVSR)、语音增强与分离(AVSE/AVSS)及主动说话人检测(ASD)等任务中表现出色,尤其在嘈杂环境下性能显著提升。仅需 223 小时数据训练即可媲美传统数千小时数据的效果,大幅降低训练成本。CoGenAV 支持主流平台如 GitHub、HuggingFace 和 ModelScope,助力多场景应用开发。
881 10
|
8月前
|
算法 数据安全/隐私保护
基于双模MPC和降阶扩展状态观测器电机控制系统simulink建模与仿真
本课题基于双模MPC和降阶扩展状态观测器,进行电机控制系统的Simulink建模与仿真,实现电机位置精准控制。系统采用模型预测控制(MPC),通过优化算法预测未来输出并调整控制输入。双模MPC包含速度控制器与电流控制器,分别跟踪速度与电流参考值。扩展状态观测器用于估计系统状态与未知干扰,提升控制性能。程序基于MATLAB2022a开发,运行后无水印,提供完整核心代码与模型。
基于FOC控制器的BLDC无刷直流电机控制系统matlab编程与仿真
本课题基于MATLAB编程实现BLDC无刷直流电机的FOC控制系统,涵盖FOC控制器、Clarke和Park变换等,不使用Simulink建模。系统通过坐标变换将三相电流转换到dq轴,独立控制励磁和转矩电流,实现高效平滑运行及高动态响应。仿真输出包括三相电流、电机转速和转子角度。版本:MATLAB2022a。
|
存储 人工智能 安全
AI时代的网络安全:传统技术的落寞与新机遇
在AI时代,网络安全正经历深刻变革。传统技术如多因素身份认证、防火墙和基于密码的系统逐渐失效,难以应对新型攻击。然而,AI带来了新机遇:智能化威胁检测、优化安全流程、生物特征加密及漏洞管理等。AI赋能的安全解决方案大幅提升防护能力,但也面临数据隐私和技能短缺等挑战。企业需制定清晰AI政策,强化人机协作,推动行业持续发展。
447 16
|
存储 缓存 监控
后端开发中的缓存机制:深度解析与最佳实践####
本文深入探讨了后端开发中不可或缺的一环——缓存机制,旨在为读者提供一份详尽的指南,涵盖缓存的基本原理、常见类型(如内存缓存、磁盘缓存、分布式缓存等)、主流技术选型(Redis、Memcached、Ehcache等),以及在实际项目中如何根据业务需求设计并实施高效的缓存策略。不同于常规摘要的概述性质,本摘要直接点明文章将围绕“深度解析”与“最佳实践”两大核心展开,既适合初学者构建基础认知框架,也为有经验的开发者提供优化建议与实战技巧。 ####
自适应模型预测控制器AMPC的simulink建模与仿真
通过Simulink内嵌Matlab实现自适应MPC控制器,结合系统模型与控制对象完成仿真。面对日益复杂的工业过程,AMPC融合MPC与自适应控制优势,依据系统变化自动调节参数,确保优化控制及鲁棒性。MPC通过预测模型优化控制序列;自适应控制则动态调整控制器以应对不确定性。AMPC适用于多变环境下高性能控制需求,如化工、航空及智能交通系统。[使用MATLAB 2022a]

热门文章

最新文章