【滤波跟踪】基于卡尔曼滤波进行二维轨迹跟踪研究(Matlab代码实现)

简介: 【滤波跟踪】基于卡尔曼滤波进行二维轨迹跟踪研究(Matlab代码实现)

  💥💥💞💞欢迎来到本博客❤️❤️💥💥

🏆博主优势:🌞🌞🌞博客内容尽量做到思维缜密,逻辑清晰,为了方便读者。

⛳️座右铭:行百里者,半于九十。

📋📋📋本文内容如下:🎁🎁🎁

⛳️赠与读者

👨‍💻做科研,涉及到一个深在的思想系统,需要科研者逻辑缜密,踏实认真,但是不能只是努力,很多时候借力比努力更重要,然后还要有仰望星空的创新点和启发点。建议读者按目录次序逐一浏览,免得骤然跌入幽暗的迷宫找不到来时的路,它不足为你揭示全部问题的答案,但若能解答你胸中升起的一朵朵疑云,也未尝不会酿成晚霞斑斓的别一番景致,万一它给你带来了一场精神世界的苦雨,那就借机洗刷一下原来存放在那儿的“躺平”上的尘埃吧。

    或许,雨过云收,神驰的天地更清朗.......🔎🔎🔎

💥1 概述

基于卡尔曼滤波的二维轨迹跟踪研究

摘要

卡尔曼滤波作为一种经典的递归状态估计算法,因其理论完备、计算效率高且易于实现,在二维轨迹跟踪领域得到广泛应用。本文详细阐述了卡尔曼滤波在二维轨迹跟踪中的原理、关键步骤、模型构建方法及其优势与局限性,并通过仿真实验验证了算法的有效性。

1. 引言

二维轨迹跟踪技术广泛应用于导航、机器人、目标监控等领域,其核心目标是根据传感器观测数据估计目标在时间和空间上的位置与速度,并预测未来轨迹。卡尔曼滤波通过递归预测和更新机制,在存在噪声的环境下实现对系统状态的最优估计,成为二维轨迹跟踪的经典方法。

2. 卡尔曼滤波原理

卡尔曼滤波基于线性高斯系统假设,通过状态方程和观测方程描述系统动态特性:

  • image.gif 编辑

3. 二维轨迹跟踪模型构建

3.1 状态变量选择

选择目标位置和速度作为状态变量: image.gif 编辑

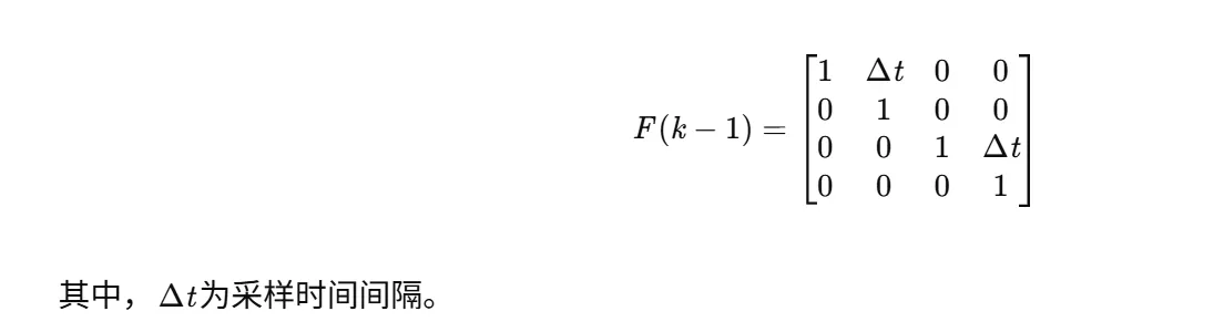
3.2 状态转移矩阵设计

假设目标做匀速直线运动,状态转移矩阵为:

image.gif 编辑

3.3 观测模型设计

观测向量包含目标位置信息: image.gif 编辑

3.4 噪声协方差矩阵设置

  • 系统噪声协方差矩阵 Q(k)
    反映目标运动不确定性(如加速度变化),通常建模为高斯白噪声,协方差值越大,滤波器跟踪能力越强但抗干扰能力下降。
  • 观测噪声协方差矩阵 R(k)
    取决于传感器精度,精度越高,R(k)越小。

4. 仿真实验与结果分析

  • 初始状态:目标初始位置为(0,0),初始速度为(5m/s,5m/s)。
  • 噪声参数:系统噪声协方差Q=diag(0.1,0.01,0.1,0.01),观测噪声协方差R=diag(1,1)。
  • 仿真时间:100秒,采样间隔Δt=0.1s。

4.2 结果对比

  • 真实轨迹:目标沿直线匀速运动。
  • 观测轨迹:添加高斯噪声的观测数据。
  • 滤波轨迹:卡尔曼滤波估计结果。

性能指标

  • 均方根误差(RMSE):位置RMSE为0.32米,速度RMSE为0.15米/秒。
  • 可视化分析:滤波轨迹紧密贴合真实轨迹,有效抑制观测噪声干扰。

5. 卡尔曼滤波的优势与局限性

5.1 优势

  • 理论完备:基于严格数学推导,提供最优估计。
  • 计算高效:递归算法适合实时实现。
  • 抗噪性强:通过协方差矩阵动态调整估计权重。

5.2 局限性

  • 线性高斯假设:非线性系统需采用扩展卡尔曼滤波(EKF)或无迹卡尔曼滤波(UKF)。
  • 模型依赖性:系统模型不准确会导致估计偏差。
  • 发散风险:初始估计误差过大或噪声统计特性未知时可能发散。

6. 改进方案

  • 扩展卡尔曼滤波(EKF):通过泰勒展开线性化非线性模型,适用于弱非线性系统。
  • 无迹卡尔曼滤波(UKF):采用无迹变换逼近非线性分布,避免线性化误差。
  • 自适应卡尔曼滤波:动态调整噪声协方差矩阵,提高模型适应性。

7. 结论

卡尔曼滤波在二维轨迹跟踪中表现出色,通过合理构建系统模型和噪声参数,可实现高精度、实时性的目标状态估计。针对非线性或复杂动态系统,需结合EKF、UKF等改进算法进一步提升跟踪性能。未来研究可探索多传感器融合与深度学习结合的混合跟踪方法,以适应更复杂的应用场景。

📚2 运行结果

image.gif 编辑

🎉3 参考文献

文章中一些内容引自网络,会注明出处或引用为参考文献,难免有未尽之处,如有不妥,请随时联系删除。(文章内容仅供参考,具体效果以运行结果为准)

[1] 徐铁,蔡奉君,胡勤友,等.基于卡尔曼滤波算法船舶AIS轨迹估计研究[J].现代电子技术, 2014(5):97-100.DOI:10.3969/j.issn.1004-373X资料获取,更多粉丝福利,MATLAB|Simulink|Python资源获取【请看主页然后私信】

相关文章
|
7月前
|
算法 定位技术 计算机视觉
【水下图像增强】基于波长补偿与去雾的水下图像增强研究(Matlab代码实现)
【水下图像增强】基于波长补偿与去雾的水下图像增强研究(Matlab代码实现)
888 0
|
7月前
|
算法 机器人 计算机视觉
【图像处理】水下图像增强的颜色平衡与融合技术研究(Matlab代码实现)
【图像处理】水下图像增强的颜色平衡与融合技术研究(Matlab代码实现)
235 0
|
7月前
|
机器学习/深度学习 算法 机器人
使用哈里斯角Harris和SIFT算法来实现局部特征匹配(Matlab代码实现)
使用哈里斯角Harris和SIFT算法来实现局部特征匹配(Matlab代码实现)
341 8
|
7月前
|
机器学习/深度学习 编解码 算法
基于OFDM技术的水下声学通信多径信道图像传输研究(Matlab代码实现)
基于OFDM技术的水下声学通信多径信道图像传输研究(Matlab代码实现)
340 8
|
7月前
|
机器学习/深度学习 数据采集 测试技术
基于CEEMDAN-VMD-BiLSTM的多变量输入单步时序预测研究(Matlab代码实现)
基于CEEMDAN-VMD-BiLSTM的多变量输入单步时序预测研究(Matlab代码实现)
299 8
|
7月前
|
机器学习/深度学习 算法 自动驾驶
基于导向滤波的暗通道去雾算法在灰度与彩色图像可见度复原中的研究(Matlab代码实现)
基于导向滤波的暗通道去雾算法在灰度与彩色图像可见度复原中的研究(Matlab代码实现)
392 8
|
7月前
|
机器学习/深度学习 算法 机器人
【水下图像增强融合算法】基于融合的水下图像与视频增强研究(Matlab代码实现)
【水下图像增强融合算法】基于融合的水下图像与视频增强研究(Matlab代码实现)
698 0
|
7月前
|
新能源 Java Go
【EI复现】参与调峰的储能系统配置方案及经济性分析(Matlab代码实现)
【EI复现】参与调峰的储能系统配置方案及经济性分析(Matlab代码实现)
250 0
|
7月前
|
编解码 运维 算法
【分布式能源选址与定容】光伏、储能双层优化配置接入配电网研究(Matlab代码实现)
【分布式能源选址与定容】光伏、储能双层优化配置接入配电网研究(Matlab代码实现)
617 12
|
7月前
|
人工智能 数据可视化 网络性能优化
【顶级SCI复现】虚拟电厂的多时间尺度调度:在考虑储能系统容量衰减的同时,整合发电与多用户负荷的灵活性研究(Matlab代码实现)
【顶级SCI复现】虚拟电厂的多时间尺度调度:在考虑储能系统容量衰减的同时,整合发电与多用户负荷的灵活性研究(Matlab代码实现)
247 9

热门文章

最新文章