【SCI复现】基于纳什博弈和ADMM的多微网主体能源共享研究(Matlab代码实现)

简介: 【SCI复现】基于纳什博弈和ADMM的多微网主体能源共享研究(Matlab代码实现)

💥💥💞💞欢迎来到本博客❤️❤️💥💥

🏆博主优势:🌞🌞🌞博客内容尽量做到思维缜密,逻辑清晰,为了方便读者。

⛳️座右铭:行百里者,半于九十。

💥1 概述

文献来源:

image.gif 编辑

基于纳什博弈和ADMM的多微网主体能源共享研究

摘要:为了促进微电网之间的能源互助,扩大能源交互类型,提高可再生能源利用率,本文提出了一种基于纳什博弈的面向多微电网(MMGs)的双层共享策略。首先,对微电网模型进行低碳转型,将源侧转化为综合灵活的碳捕获热电厂运行模式。然后,构建基于纳什博弈的多微电网主体电热双层共享模型,将其分解为收益最大化子问题和收益再分配子问题。在收益最大化子问题中,以碳配额的最低运营成本和分阶段碳交易为目标,采用交替方向乘子法进行分布式解决。在收益再分配子问题中,通过构建不同时期和能源类型的非对称能源映射贡献函数,实现合理的收益再分配。最后,仿真结果验证了所提出方法的有效性。结果表明,本文的策略可以实现多微电网(MMG)联盟的经济目标优化,并具有合理的收益再分配、促进风能和太阳能消费、减少碳排放的优势。

关键词:纳什博弈;多微电网;电热双层共享;气电厂低碳转型;交替方向乘子法;CHP

《中国至2060年碳中和研究报告》指出:“低碳零碳技术是实现碳中和目标的关键,特别是在这些方面,如捕集、利用和储存(CCUS),负排放和碳汇”。促进可再生能源的有效利实现电力系统的低碳、清洁能源供应,这些将是一举两得今后的重点研究方向。微电网是整合生产者和销售者的重要途径。在内部,包含各种分布式电源和多种类型的负载,可以促进能源的自我生产和自我消耗。同时,对外也可以与电网互动,实现供销一体化。点对点(P2P)微电网间的能源交易可以有效降低微电网的用电成本;提高新能源利用率,减少碳排放。

image.gif 编辑

image.gif 编辑

详细文章讲解见第4部分。

一、研究背景与核心问题

随着分布式能源与微电网技术的普及,多微网间的能源共享成为提升能源效率、降低碳排放的关键手段。然而,多主体间的利益冲突、隐私保护需求及复杂优化问题,使得传统的集中式调度方法难以适用。纳什博弈理论(Nash Bargaining)与交替方向乘子法(ADMM)的结合,为解决这一难题提供了新思路:前者通过合作博弈实现公平收益分配,后者通过分布式优化降低计算复杂度并保护隐私


二、纳什博弈在能源共享中的应用

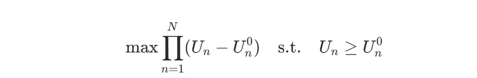
1. 核心模型与目标

纳什博弈理论通过最大化参与者效用乘积(即纳什乘积),实现合作收益的帕累托最优分配。其标准模型为:

image.gif 编辑

其中,Un为参与者n的效用,Un0为不合作时的基准效用(分歧点)。

2. 多微网场景下的改进
  • 非对称纳什谈判:考虑不同微网对联盟的贡献差异(如储能容量、新能源出力),通过权重调整收益分配。例如,文献利用自然对数函数量化贡献度,作为议价因子。
  • 动态分歧点设计:将微网独立运行成本作为谈判破裂点,激励其参与合作。
  • 多能源耦合:在电-热-气综合能源系统中,纳什博弈模型需同时优化多能流交易与碳排放约束。
3. 优势与挑战
  • 优势:确保公平性、激励长期合作、兼容多目标优化。
  • 挑战:贡献度量化方法需精确(如储能充放电效率对贡献的影响),且需处理非线性目标函数的求解复杂度。

三、ADMM算法在分布式优化中的作用

1. 算法原理

ADMM通过分解原问题为多个子问题,交替更新局部变量与全局对偶变量,实现分布式求解。其核心步骤为:

  1. 局部优化:各微网独立求解自身能源调度问题。
  2. 全局协调:通过拉格朗日乘子更新,协调耦合约束(如能量平衡)。
  3. 迭代收敛:直至满足残差条件(如功率偏差阈值)。
2. 多微网场景下的适配性
  • 隐私保护:微网无需共享内部发电成本、负荷需求等敏感数据,仅交换边界功率信息。
  • 计算效率:并行求解降低维数灾难,适用于大规模微网联盟。
  • 鲁棒性:引入自适应步长机制(如根据残差动态调整步长)或鲁棒优化(处理新能源出力不确定性),提升收敛速度与稳定性。
3. 典型应用场景
  • 电能交易协调:分解P2P交易模型,通过ADMM迭代确定各微网购/售电计划。
  • 储能共享调度:将储能充放电计划与微网需求解耦,分别优化后协调。
  • 多能流协同:在电-热综合系统中,独立优化电、热子网络,再通过ADMM耦合。

四、纳什博弈与ADMM的结合框架

1. 联合优化流程
  1. 问题分解:将多微网能源共享问题拆分为两个子问题:
  • 子问题1(成本最小化) :联盟整体调度优化,目标为最小化总运行成本。
  • 子问题2(收益分配) :基于纳什乘积最大化,分配合作剩余。
  1. 交替求解
  • 使用ADMM迭代求解子问题1,获得最优功率调度策略。
  • 将子问题1结果输入子问题2,通过非对称纳什谈判确定支付价格与收益分配。
  1. 收敛条件:功率偏差与收益分配偏差均小于设定阈值。
2. 关键技术细节
  • 变量耦合处理:引入辅助变量(如虚拟功率注入节点)或对偶变量,将全局约束转化为局部约束。
  • 贡献度量化:定义非线性映射函数(如基于储能荷电状态或新能源出力波动性),动态调整议价权重。
  • 算法加速:采用自适应惩罚因子(调整拉格朗日乘子更新步长)或预条件共轭梯度法,减少迭代次数。
3. 仿真验证结果
  • 收敛性能:ADMM通常在50-100次迭代内收敛,计算时间控制在5分钟内。
  • 经济性提升:合作运行可降低总成本10%-25%,新能源消纳率提升至接近100%。
  • 公平性:非对称纳什分配使贡献度高的微网获得更高收益(如储能提供者收益增加15%)。

五、典型案例分析

案例1:非对称纳什谈判与ADMM结合的电能交易
  • 场景:3个含风光储的微网通过P2P交易共享电能。
  • 方法
  • 子问题1:ADMM优化各微网购/售电计划,目标为最小化购电成本与弃风弃光惩罚。
  • 子问题2:基于贡献度(新能源出力与储能调节量)分配交易收益。
  • 结果
  • 总运行成本降低18.7%,碳排放减少10.47%。
  • ADMM在62次迭代后收敛,计算时间231秒。
案例2:多微网-共享储能的鲁棒优化
  • 场景:风光出力不确定下的多微网共享储能调度。
  • 方法
  • 子问题1:两阶段分布鲁棒优化,考虑最恶劣情景下的储能充放电策略。
  • 子问题2:基于储能荷电状态变化量的收益分配。
  • 结果
  • 在最恶劣风光出力下,总成本仍降低12.3%。
  • ADMM收敛迭代次数为89次,优于集中式求解的计算效率。

六、挑战与未来方向

  1. 模型局限性
  • 现有贡献度量化方法未考虑用户侧小容量储能的影响。
  • 纳什博弈假设参与者完全理性,实际中可能存在策略性谎报。
  1. 算法改进
  • 结合随机ADMM与深度学习,提升不确定场景下的求解速度。
  • 探索纳什博弈与主从博弈的混合框架,兼容竞争与合作场景。
  1. 扩展应用
  • 集成碳交易机制,实现低碳约束下的多目标优化。
  • 在电力元宇宙平台中模拟多微网动态博弈,增强决策实时性。

七、结论

纳什博弈与ADMM的结合为多微网能源共享提供了兼顾公平性、效率与隐私的解决方案。通过分解-协调框架,既能实现全局成本最优,又能按贡献公平分配收益。未来需进一步解决复杂场景下的模型适应性,并探索与新兴技术(如区块链、数字孪生)的融合,推动能源共享向更高智能层级发展。

📚2 运行结果

image.gif 编辑

image.gif 编辑

image.gif 编辑

image.gif 编辑

image.gif 编辑

image.gif 编辑

image.gif 编辑

image.gif 编辑

image.gif 编辑

部分代码:

%微网2(MG2)的分布式优化迭代模型

%调节Soc_C就可以实现,加不加CO2溶液存储器

function [ P_e_21 , Obj_MG_21 ] =  Copy_of_Fun_MG_21( P_e_12 ,P_e_23 ,P_e_32 ,lambda_e_12,lambda_e_23  )

%% 决策变量初始化

L_e=sdpvar(1,24); %微网经过需求响应后实际的电负荷

L_h=sdpvar(1,24); %微网经过需求响应后实际的热负荷

P_e_cut=sdpvar(1,24);   %微网的可削减电负荷

P_e_tran=sdpvar(1,24);  %微网的可转移电负荷

P_h_DR=sdpvar(1,24);    %微网的可削减热负荷

E_bat=sdpvar(1,24);     %微网中的储电设备的储电余量

P_batc=sdpvar(1,24);    %储电设备的充电功率

P_batd=sdpvar(1,24);    %储电设备的放电功率

U_abs=binvar(1,24);     %储电设备的放电状态位,取1时为放电,0为未放电

U_relea=binvar(1,24);   %储电设备的充电状态位,取1时为充电,0为未充电

P_e_wd=sdpvar(1,24); %风力的实际出力值

P_e_GT=sdpvar(1,24); %燃气轮机的发电功率

P_h_GT=sdpvar(1,24); %燃气轮机的产热功率

P_h_GB=sdpvar(1,24); %余热锅炉的产热功率

P_buy=sdpvar(1,24);  %微网向外电网的购买的电功率

P_sell=sdpvar(1,24); %微网向外电网的售出的电功率

Gas_GT=sdpvar(1,24); %GT的耗气量

Gas_GB=sdpvar(1,24); %GB的耗气量

Gas=sdpvar(1,24);    %系统的总耗气量

%P2G+CCS

P_e1=sdpvar(1,24); %CHP的供电功率

P_e3=sdpvar(1,24); %CHP的供给P2G的功率

P_e2=sdpvar(1,24); %CHP的供给CCS的功率

P_h=sdpvar(1,24);  %CHP的输出热功率

P_gs=sdpvar(1,24); %P2G的产气功率

C_ccs=sdpvar(1,24); %CCS的碳捕集二氧化碳量

C_p2g=sdpvar(1,24); %P2G所用的二氧化碳量  

Soc_C = sdpvar(1,24); %CCS的碳捕集量/P2G所用的二氧化碳量  

P_e_21 = sdpvar(1,24); %微网2给微网1的电量  

%% 导入电/热负荷和电网购电电价

Predict_wd = [3716,3646,3617,3469,3401,3373,3168,2865,2712,2528,2572,2645,2681,2588,2594,2701,2638,2593,2674,2745,2851,2949,3529,3704 ];

L_e0   = [7764,6828,6116,6290,6377,6224,6420,7655,8761,11253,12184,13009,13809,13940,14005,13763,13671,14117,13216,11604,11197,9682,8960,8496] ;

L_h0   = [7783,7740,7842,7449,7772,7876,7639,7567,7246,7071,6940,6691,6486,6516,6486,6558,6556,6761,6763,6921,7109,7348,7755,7842]*0.4 ;

Predict_wd = floor(Predict_wd );

pri_e=[0.40*ones(1,7),0.75*ones(1,4),1.20*ones(1,3),0.75*ones(1,4),1.20*ones(1,4),0.40*ones(1,2)];

grid_sw= 0.2*ones(1,24);  

%% 约束条件      

C=[];      

%微网的电/热负荷需求响应部分            

for t=1:24              

   C=[C,                    

      L_e(t)==L_e0(t)-P_e_cut(t)-P_e_tran(t), %微网的电负荷功率平衡约束                

      L_h(t)==L_h0(t)-P_h_DR(t), %微网的热负荷功率平衡约束            

      0 <=P_e_cut(t)<= 0.05*L_e0(t), %微网的可削减电功率上下限约束              

      -0.1*L_e0(t)<=P_e_tran(t) <= 0.1*L_e0(t), %微网的可转移电功率上下限约束              

      -0.1*L_h0(t)<=P_h_DR(t)<=0.1*L_h0(t), %微网的可削减热功率上下限约束                

     ];

end

C=[C,sum(P_e_tran)==0,]; %转移的电负荷总量为0约束  

C=[C,sum(P_h_DR  )==0,]; %转移的热负荷总量为0约束  

%微网的储电设备约束部分            

%储能电站荷电状态连续性约束              

C=[C,E_bat(1)== 1000+0.95*P_batc(1)-P_batd(1)/0.96,]; %1时段约束          

for t=2:24          

   C=[C,E_bat(t)==E_bat(t-1)+0.95*P_batc(t)-P_batd(t)/0.96,]; %储电设备容量变化约束              

end              

%储能容量大小约束

for t=1:24

   C=[C,500<=E_bat(t)<=2500,];  %储电量上下限约束

end

%始末状态守恒

C=[C,E_bat(24)==1000,];

%储能电站的充放电功率约束,Big-M法进行线性化处理

M=1000; %这里的M是个很大的数

🎉3 参考文献

文章中一些内容引自网络,会注明出处或引用为参考文献,资料获取,更多粉丝福利,MATLAB|Simulink|Python资源获取【请看主页然后私信】

相关文章
|
4月前
|
算法 定位技术 计算机视觉
【水下图像增强】基于波长补偿与去雾的水下图像增强研究(Matlab代码实现)
【水下图像增强】基于波长补偿与去雾的水下图像增强研究(Matlab代码实现)
270 0
|
4月前
|
算法 机器人 计算机视觉
【图像处理】水下图像增强的颜色平衡与融合技术研究(Matlab代码实现)
【图像处理】水下图像增强的颜色平衡与融合技术研究(Matlab代码实现)
160 0
|
4月前
|
机器学习/深度学习 算法 机器人
使用哈里斯角Harris和SIFT算法来实现局部特征匹配(Matlab代码实现)
使用哈里斯角Harris和SIFT算法来实现局部特征匹配(Matlab代码实现)
232 8
|
4月前
|
机器学习/深度学习 编解码 算法
基于OFDM技术的水下声学通信多径信道图像传输研究(Matlab代码实现)
基于OFDM技术的水下声学通信多径信道图像传输研究(Matlab代码实现)
244 8
|
4月前
|
机器学习/深度学习 算法 机器人
【水下图像增强融合算法】基于融合的水下图像与视频增强研究(Matlab代码实现)
【水下图像增强融合算法】基于融合的水下图像与视频增强研究(Matlab代码实现)
452 0
|
4月前
|
新能源 Java Go
【EI复现】参与调峰的储能系统配置方案及经济性分析(Matlab代码实现)
【EI复现】参与调峰的储能系统配置方案及经济性分析(Matlab代码实现)
163 0
|
4月前
|
机器学习/深度学习 数据采集 测试技术
基于CEEMDAN-VMD-BiLSTM的多变量输入单步时序预测研究(Matlab代码实现)
基于CEEMDAN-VMD-BiLSTM的多变量输入单步时序预测研究(Matlab代码实现)
165 8
|
4月前
|
机器学习/深度学习 算法 自动驾驶
基于导向滤波的暗通道去雾算法在灰度与彩色图像可见度复原中的研究(Matlab代码实现)
基于导向滤波的暗通道去雾算法在灰度与彩色图像可见度复原中的研究(Matlab代码实现)
260 8
|
4月前
|
编解码 运维 算法
【分布式能源选址与定容】光伏、储能双层优化配置接入配电网研究(Matlab代码实现)
【分布式能源选址与定容】光伏、储能双层优化配置接入配电网研究(Matlab代码实现)
250 12
|
4月前
|
人工智能 数据可视化 网络性能优化
【顶级SCI复现】虚拟电厂的多时间尺度调度:在考虑储能系统容量衰减的同时,整合发电与多用户负荷的灵活性研究(Matlab代码实现)
【顶级SCI复现】虚拟电厂的多时间尺度调度:在考虑储能系统容量衰减的同时,整合发电与多用户负荷的灵活性研究(Matlab代码实现)
181 9

热门文章

最新文章