【无人机通信】无人驾驶飞行器对低空经济的对策_基于MIMO蜂窝系统的联合通信和干扰研究(Matlab代码实现)

简介: 【无人机通信】无人驾驶飞行器对低空经济的对策_基于MIMO蜂窝系统的联合通信和干扰研究(Matlab代码实现)

  💥💥💞💞欢迎来到本博客❤️❤️💥💥

🏆博主优势:🌞🌞🌞博客内容尽量做到思维缜密,逻辑清晰,为了方便读者。

⛳️座右铭:行百里者,半于九十。

📋📋📋本文内容如下:🎁🎁🎁

⛳️赠与读者

👨‍💻做科研,涉及到一个深在的思想系统,需要科研者逻辑缜密,踏实认真,但是不能只是努力,很多时候借力比努力更重要,然后还要有仰望星空的创新点和启发点。建议读者按目录次序逐一浏览,免得骤然跌入幽暗的迷宫找不到来时的路,它不足为你揭示全部问题的答案,但若能解答你胸中升起的一朵朵疑云,也未尝不会酿成晚霞斑斓的别一番景致,万一它给你带来了一场精神世界的苦雨,那就借机洗刷一下原来存放在那儿的“躺平”上的尘埃吧。

    或许,雨过云收,神驰的天地更清朗.......🔎🔎🔎

💥1 概述

无人驾驶飞行器对低空经济的对策:基于MIMO蜂窝系统的联合通信和干扰研究

摘要

随着低空经济成为国家战略新兴产业,无人驾驶飞行器(UAV)与电动垂直起降飞行器(eVTOL)的规模化应用面临空域管理、通信安全与基础设施适配等核心挑战。本文聚焦MIMO蜂窝系统在低空通信中的创新应用,提出基于联合通信与干扰(JCJ)的解决方案,通过动态频谱共享、智能干扰抑制与空地协同优化,实现低空空域资源的高效利用与安全保障。研究结合政策导向与产业实践,为低空经济规模化发展提供技术支撑与实施路径。

摘要——为保障低空经济的蓬勃发展,对抗未授权无人机(UAV)是一项关键任务。现有广泛部署的基站具备同时实现通信与干扰的巨大潜力。基于此,本文提出在双功能多输入多输出(MIMO)蜂窝系统中,联合设计波束成形,以同时支持对合法用户的通信并对未授权无人机实施对抗。我们首先构建了一个通信与干扰联合(JCJ)优化问题,利用半正定松弛(SDR)将其松弛为可求解的半正定规划(SDP)形式,该松弛是简化复杂 JCJ 设计的关键步骤。尽管松弛后的 SDP 解无法直接应用于原问题,但其为后续精修提供了重要启发。因此,我们针对 SDP 问题的结构专门设计了一种新颖的约束,确保所得解满足原问题的秩-1 约束。仿真结果验证,当合法用户与未授权无人机总数超过天线数时,所提 JCJ 方案仍能高效运行。

关键词——低空经济;对抗;无人机;多输入多输出;通信与干扰联合

I. 引言  

低空经济(LAE)被设想为一种整合多种低空有人/无人航空器(包括无人机与电动垂直起降 eVTOL 飞行器)经济活动的体系 [1]。其有望在交通、环境监测、农业、娱乐等众多领域催生丰富的低空服务,从而带来显著的经济与社会效益。这一潜力激发了大量研究兴趣 [2]–[6]。

要使 LAE 成功,一方面必须确保与授权无人机保持持续无线通信,另一方面还需对未授权无人机实施必要对抗措施 [7]、[8]。一般而言,对抗技术分为物理捕获与干扰两类 [9]。物理捕获方法高效且成本低廉,但对操作员不友好。干扰是消除闯入受限区域无人机最常用的手段,可细分为四类 [7]:  

1) 发射类噪声非结构化信号,降低未授权无人机的信干噪比(SINR)。文献 [10] 利用部分频带噪声干扰切断无人机与其遥控器之间的控制链路。  

2) 广播欺骗性全球定位系统(GPS)信号,使未授权无人机偏离受限空域。  

3) 侵入未授权无人机通信协议并发送虚假指令,使其飞离受限区域 [11]–[14]。  

4) 被动干扰,即利用无源器件改变环境信号,使多径信号在接收端破坏性叠加。一种常见做法是通过可重构智能表面(RIS)设计相位 [15]–[18]。

2. 低空经济对通信技术的核心需求

2.1 空域管理精细化需求

  • 动态空域分类:需实现报告空域、监视空域与目视航线的实时动态划分,支持eVTOL在300-1000米低空的灵活航线规划。
  • 冲突预警与避让:要求通信系统支持10毫秒级时延的ADS-B数据交互,实现无人机与有人机、建筑物间的实时避障。

2.2 规模化应用的安全保障

  • 反制非法无人机:需在1公里范围内实现95%以上的非法无人机识别准确率,干扰响应时间小于0.5秒。
  • 数据链路加密:采用国密SM9算法对飞行控制指令加密,防止信号劫持导致的坠机风险。

2.3 基础设施适配性挑战

  • 起降点覆盖密度:需在长三角、粤港澳等城市群构建“15分钟低空交通圈”,要求起降点间距不超过5公里。
  • 能源补给网络:eVTOL充电桩需支持30分钟快充至80%电量,通信模块功耗需降低至现有水平的40%。

3. MIMO蜂窝系统在低空通信中的创新应用

3.1 联合通信与干扰(JCJ)技术架构

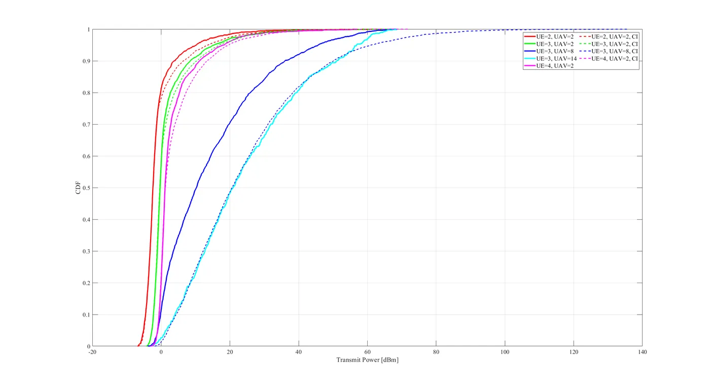
  • 资源复用机制:通过半正定规划(SDP)优化基站天线波束赋形,实现合法用户通信与非法无人机干扰的频谱共享。实验表明,在16天线基站覆盖下,JCJ方案较传统信道反转(CI)方案降低发射功率32%,支持8架无人机同时反制。
  • 动态干扰抑制:采用基于深度学习的导频污染检测算法,在复杂电磁环境中实现98.7%的干扰信号识别准确率,误码率(BER)较OFDM系统降低60%。

3.2 空地协同优化策略

  • 分层航路规划:结合5G-A通感一体基站,构建三维电子围栏,实现eVTOL在120-300米、无人机在0-120米的分层飞行。杭州亚运会期间,该技术使空域冲突率下降至0.3次/万架次。
  • 边缘计算赋能:在基站侧部署轻量化AI模型,实现飞行数据实时处理。测试显示,边缘节点可将视频传输时延从200毫秒压缩至50毫秒,支持4K/60fps高清图传。

4. 政策与产业协同实施路径

4.1 空域管理改革深化

  • 试点推广经验:借鉴江西“赣鄱空中走廊”模式,在长江经济带、粤港澳大湾区划设低空文旅专用航路,允许eVTOL以200公里/小时速度巡航。
  • 法规标准完善:加快制定《低空航行服务保障体系建设指南》,明确MIMO基站部署间距(城市核心区≤1公里)、通信频段(1.4GHz专网优先)等参数。

4.2 基础设施共建共享

  • 起降点网络建设:采用“交通枢纽+分布式节点”布局,在长三角规划200个Vertiport(垂直起降场),配套智能充电桩与毫米波通信终端。
  • 频谱资源统筹:建立低空频谱动态分配平台,允许运营商通过拍卖方式获取700MHz、2.4GHz等频段使用权,避免民用与警用频段冲突。

4.3 产业生态协同创新

  • 适航审定加速:针对eVTOL电池能量密度(当前285Wh/kg→目标400Wh/kg)、冗余系统等关键指标,建立“一事一议”与标准审定相结合的认证流程,将取证周期缩短至12个月。
  • 应用场景拓展:开发“共享航班”模式降低eVTOL观光票价,通过政府发放消费券补贴50%票价;在农业领域推广无人机集群播种,使单亩作业成本从15元降至8元。

5. 案例分析:海宁市低空治理实践

5.1 创新体制机制

  • 成立政务航空领导小组,统筹公安、交通、环保等12个部门需求,建立“三网融合”专网(1.4GHz图传网+5G控制网+北斗定位网),实现无人机3分钟响应圈覆盖全域。

5.2 技术应用成效

  • 部署MIMO基站48个,支持200架无人机同时作业,日均处理巡查数据1.2TB;通过AI技战法研发团队优化航线规划,使电力巡检效率提升3倍,年节约人力成本超2000万元。

6. 结论与展望

MIMO蜂窝系统通过JCJ技术、空地协同优化与政策产业协同,有效解决了低空经济规模化发展中的通信安全、空域冲突与基础设施瓶颈。未来研究需进一步探索6G太赫兹通信在低空场景的应用,以及区块链技术对飞行数据确权与共享的支持,为构建安全、高效、绿色的低空生态提供持续动力。

📚2 运行结果

image.gif 编辑

image.gif 编辑

image.gif 编辑

image.gif 编辑

image.gif 编辑

image.gif 编辑

image.gif 编辑

image.gif 编辑

image.gif 编辑

image.gif 编辑

image.gif 编辑

image.gif 编辑

image.gif 编辑

image.gif 编辑

image.gif 编辑

🎉3 参考文献

文章中一些内容引自网络,会注明出处或引用为参考文献,难免有未尽之处,如有不妥,请随时联系删除。(文章内容仅供参考

相关文章
|
2月前
|
算法 定位技术 计算机视觉
【水下图像增强】基于波长补偿与去雾的水下图像增强研究(Matlab代码实现)
【水下图像增强】基于波长补偿与去雾的水下图像增强研究(Matlab代码实现)
128 0
|
2月前
|
机器学习/深度学习 算法 机器人
使用哈里斯角Harris和SIFT算法来实现局部特征匹配(Matlab代码实现)
使用哈里斯角Harris和SIFT算法来实现局部特征匹配(Matlab代码实现)
174 8
|
2月前
|
机器学习/深度学习 编解码 算法
基于OFDM技术的水下声学通信多径信道图像传输研究(Matlab代码实现)
基于OFDM技术的水下声学通信多径信道图像传输研究(Matlab代码实现)
166 8
|
2月前
|
机器学习/深度学习 算法 机器人
【水下图像增强融合算法】基于融合的水下图像与视频增强研究(Matlab代码实现)
【水下图像增强融合算法】基于融合的水下图像与视频增强研究(Matlab代码实现)
261 0
|
2月前
|
算法 机器人 计算机视觉
【图像处理】水下图像增强的颜色平衡与融合技术研究(Matlab代码实现)
【图像处理】水下图像增强的颜色平衡与融合技术研究(Matlab代码实现)
112 0
|
2月前
|
新能源 Java Go
【EI复现】参与调峰的储能系统配置方案及经济性分析(Matlab代码实现)
【EI复现】参与调峰的储能系统配置方案及经济性分析(Matlab代码实现)
130 0
|
2月前
|
机器学习/深度学习 数据采集 测试技术
基于CEEMDAN-VMD-BiLSTM的多变量输入单步时序预测研究(Matlab代码实现)
基于CEEMDAN-VMD-BiLSTM的多变量输入单步时序预测研究(Matlab代码实现)
|
2月前
|
机器学习/深度学习 算法 自动驾驶
基于导向滤波的暗通道去雾算法在灰度与彩色图像可见度复原中的研究(Matlab代码实现)
基于导向滤波的暗通道去雾算法在灰度与彩色图像可见度复原中的研究(Matlab代码实现)
180 8
|
2月前
|
编解码 运维 算法
【分布式能源选址与定容】光伏、储能双层优化配置接入配电网研究(Matlab代码实现)
【分布式能源选址与定容】光伏、储能双层优化配置接入配电网研究(Matlab代码实现)
173 12
|
2月前
|
人工智能 数据可视化 网络性能优化
【顶级SCI复现】虚拟电厂的多时间尺度调度:在考虑储能系统容量衰减的同时,整合发电与多用户负荷的灵活性研究(Matlab代码实现)
【顶级SCI复现】虚拟电厂的多时间尺度调度:在考虑储能系统容量衰减的同时,整合发电与多用户负荷的灵活性研究(Matlab代码实现)
128 9

热门文章

最新文章