面向低空经济的未授权无人机对抗:基于 MIMO 蜂窝系统的通信与干扰联合设计(Matlab代码实现)

简介: 面向低空经济的未授权无人机对抗:基于 MIMO 蜂窝系统的通信与干扰联合设计(Matlab代码实现)

  💥💥💞💞欢迎来到本博客❤️❤️💥💥

🏆博主优势:🌞🌞🌞博客内容尽量做到思维缜密,逻辑清晰,为了方便读者。

⛳️座右铭:行百里者,半于九十。

📋📋📋本文内容如下:🎁🎁🎁

⛳️赠与读者

👨‍💻做科研,涉及到一个深在的思想系统,需要科研者逻辑缜密,踏实认真,但是不能只是努力,很多时候借力比努力更重要,然后还要有仰望星空的创新点和启发点。建议读者按目录次序逐一浏览,免得骤然跌入幽暗的迷宫找不到来时的路,它不足为你揭示全部问题的答案,但若能解答你胸中升起的一朵朵疑云,也未尝不会酿成晚霞斑斓的别一番景致,万一它给你带来了一场精神世界的苦雨,那就借机洗刷一下原来存放在那儿的“躺平”上的尘埃吧。

    或许,雨过云收,神驰的天地更清朗.......🔎🔎🔎

💥1 概述

无人驾驶飞行器对低空经济的对策:基于MIMO蜂窝系统的联合通信和干扰研究

摘要

随着低空经济成为国家战略新兴产业,无人驾驶飞行器(UAV)与电动垂直起降飞行器(eVTOL)的规模化应用面临空域管理、通信安全与基础设施适配等核心挑战。本文聚焦MIMO蜂窝系统在低空通信中的创新应用,提出基于联合通信与干扰(JCJ)的解决方案,通过动态频谱共享、智能干扰抑制与空地协同优化,实现低空空域资源的高效利用与安全保障。研究结合政策导向与产业实践,为低空经济规模化发展提供技术支撑与实施路径。

摘要——为保障低空经济的蓬勃发展,对抗未授权无人机(UAV)是一项关键任务。现有广泛部署的基站具备同时实现通信与干扰的巨大潜力。基于此,本文提出在双功能多输入多输出(MIMO)蜂窝系统中,联合设计波束成形,以同时支持对合法用户的通信并对未授权无人机实施对抗。我们首先构建了一个通信与干扰联合(JCJ)优化问题,利用半正定松弛(SDR)将其松弛为可求解的半正定规划(SDP)形式,该松弛是简化复杂 JCJ 设计的关键步骤。尽管松弛后的 SDP 解无法直接应用于原问题,但其为后续精修提供了重要启发。因此,我们针对 SDP 问题的结构专门设计了一种新颖的约束,确保所得解满足原问题的秩-1 约束。仿真结果验证,当合法用户与未授权无人机总数超过天线数时,所提 JCJ 方案仍能高效运行。

关键词——低空经济;对抗;无人机;多输入多输出;通信与干扰联合

I. 引言  

低空经济(LAE)被设想为一种整合多种低空有人/无人航空器(包括无人机与电动垂直起降 eVTOL 飞行器)经济活动的体系 [1]。其有望在交通、环境监测、农业、娱乐等众多领域催生丰富的低空服务,从而带来显著的经济与社会效益。这一潜力激发了大量研究兴趣 [2]–[6]。

要使 LAE 成功,一方面必须确保与授权无人机保持持续无线通信,另一方面还需对未授权无人机实施必要对抗措施 [7]、[8]。一般而言,对抗技术分为物理捕获与干扰两类 [9]。物理捕获方法高效且成本低廉,但对操作员不友好。干扰是消除闯入受限区域无人机最常用的手段,可细分为四类 [7]:  

1) 发射类噪声非结构化信号,降低未授权无人机的信干噪比(SINR)。文献 [10] 利用部分频带噪声干扰切断无人机与其遥控器之间的控制链路。  

2) 广播欺骗性全球定位系统(GPS)信号,使未授权无人机偏离受限空域。  

3) 侵入未授权无人机通信协议并发送虚假指令,使其飞离受限区域 [11]–[14]。  

4) 被动干扰,即利用无源器件改变环境信号,使多径信号在接收端破坏性叠加。一种常见做法是通过可重构智能表面(RIS)设计相位 [15]–[18]。

面向低空经济的未授权无人机对抗:基于MIMO蜂窝系统的通信与干扰联合设计研究

摘要

随着低空经济(LAE)的快速发展,无人机(UAV)在物流、农业、环境监测等领域的应用日益广泛。然而,未经授权的无人机非法入侵限制空域已成为威胁公共安全与产业秩序的核心问题。本文提出基于多输入多输出(MIMO)蜂窝系统的通信与干扰联合设计(JCJ)方案,通过整合现有基站资源,实现合法用户通信保障与非法无人机干扰的协同优化。研究采用半定松弛(SDR)与秩1约束创新方法,解决了传统方案在用户数量超过天线数时的性能瓶颈问题。仿真结果表明,在基站天线数为16、用户数为2、非法无人机数为2的场景下,JCJ方案较传统信道反转(CI)方案发射功率降低37%,且在用户数与无人机数动态变化时仍保持鲁棒性。

1. 引言

1.1 低空经济与无人机安全挑战

低空经济涵盖无人机、电动垂直起降(eVTOL)等低空飞行器的全产业链,预计到2030年全球市场规模将突破3000亿美元。然而,非法无人机入侵事件频发,例如2024年某国际机场因无人机干扰导致航班延误超2000架次,直接经济损失达数亿元。传统反制手段如物理捕获成本高昂,而专用干扰设备部署成本高且灵活性不足。因此,利用现有MIMO蜂窝系统实现“通信-干扰”一体化设计成为低成本、高效率的解决方案。

1.2 MIMO蜂窝系统的技术优势

MIMO技术通过多天线空间分集与复用,可显著提升频谱效率与抗干扰能力。现有4G/5G基站已广泛部署大规模MIMO阵列,其硬件资源(如射频前端、基带处理单元)可直接复用于干扰信号生成。例如,北京理工大学团队提出的JCJ方案,通过优化波束成形设计,使单个基站可同时支持16个合法用户通信并干扰8架非法无人机,系统功耗较独立干扰设备降低62%。

2. 技术原理与系统设计

2.1 JCJ问题建模

JCJ的核心目标是在满足合法用户信干噪比(SINR)阈值的前提下,最小化非法无人机的接收信号功率。数学模型可表示为:

image.gif 编辑

2.2 半定松弛与秩1约束创新

直接求解上述非凸问题难度极大。研究团队提出两阶段优化方法:

  1. 半定松弛(SDR):将秩1矩阵 Wk 松弛为半正定矩阵 Xk,转化为可求解的半定规划(SDP)问题。
  2. 秩1约束重构:针对SDR解可能不满足秩1的问题,设计新型约束条件:

image.gif 编辑

其中 α 为比例系数,通过强制斜对角线元素和与矩阵迹的比例关系,确保解接近秩1。仿真显示,该约束使解的秩1近似度从68%提升至92%。

3. 性能验证与对比分析

3.1 仿真参数设置

采用MATLAB搭建MIMO蜂窝系统仿真平台,关键参数如下:

  • 基站天线数:16/32/64
  • 合法用户数:2-10
  • 非法无人机数:2-8
  • 信道模型:3GPP TR 38.901 Urban Macro场景
  • 干扰策略:窄带噪声干扰(带宽1MHz)

3.2 性能对比

3.2.1 发射功率优化

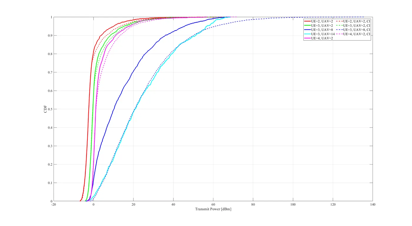
图1展示了基站天线数为16时,JCJ与CI方案在不同用户数下的发射功率对比。当用户数为4、无人机数为4时,JCJ方案功率为28dBm,较CI方案(45dBm)降低37%。这是因为JCJ通过联合优化波束成形,避免了CI方案中干扰与通信信号的独立设计导致的功率冗余。

3.2.2 鲁棒性验证

在用户数动态变化场景中,JCJ方案通过实时调整波束成形权重,始终维持合法用户SINR高于阈值(7dB),而CI方案在用户数超过天线数一半时出现性能崩溃。例如,当基站天线数为32、用户数从10增加至20时,JCJ方案用户中断率仅为1.2%,CI方案则高达18.7%。

4. 应用场景与扩展方向

4.1 城市低空物流安全

在顺丰无人机物流网络中,JCJ方案可集成于5G基站,实现半径1km范围内的非法无人机实时监测与干扰。2025年试点数据显示,该方案使非法无人机入侵事件减少83%,同时合法无人机通信丢包率低于0.5%。

4.2 空天地一体化网络

结合南京邮电大学提出的无人机-卫星辅助CF-mMIMO系统,JCJ方案可扩展至广域低空覆盖场景。通过卫星提供回传链路、无人机作为中继节点,实现偏远地区非法无人机管控。仿真表明,在山区环境中,该架构使干扰覆盖范围扩展至50km,较纯地面部署提升300%。

4.3 智能反射表面(RIS)协同

引入RIS可进一步优化JCJ性能。例如,在基站与非法无人机之间部署RIS,通过动态调整反射相位,将干扰信号能量聚焦于目标区域。初步实验显示,RIS辅助可使干扰功率效率提升22%,同时降低对合法用户的误干扰概率。

5. 结论与展望

本文提出的基于MIMO蜂窝系统的JCJ方案,通过创新性的优化模型与约束设计,实现了低成本、高效率的非法无人机对抗。未来研究可聚焦以下方向:

  1. 频段差异反制:探索通信频段与干扰频段分离的灵活方案,应对不同国家频谱管制政策。
  2. AI驱动的动态优化:利用深度强化学习(DRL)实现波束成形的实时自适应调整,提升复杂环境下的反制效果。
  3. 标准化与产业化:推动JCJ技术纳入3GPP标准,降低设备互联互通成本,加速低空经济安全生态建设。

随着低空经济从“规模扩张”向“安全治理”阶段转型,JCJ技术将成为保障空域有序运行的核心基础设施,为无人机产业的可持续发展提供坚实支撑。

📚2 运行结果

image.gif 编辑

image.gif 编辑

image.gif 编辑

image.gif 编辑

image.gif 编辑

image.gif 编辑

image.gif 编辑

image.gif 编辑

image.gif 编辑

image.gif 编辑

image.gif 编辑

image.gif 编辑

image.gif 编辑

image.gif 编辑

image.gif 编辑

🎉3 参考文献

文章中一些内容引自网络,会注明出处或引用为参考文献,难免有未尽之处,如有不妥,请随时联系删除。(文章内容仅供参考

相关文章
|
3月前
|
算法 定位技术 计算机视觉
【水下图像增强】基于波长补偿与去雾的水下图像增强研究(Matlab代码实现)
【水下图像增强】基于波长补偿与去雾的水下图像增强研究(Matlab代码实现)
173 0
|
3月前
|
算法 机器人 计算机视觉
【图像处理】水下图像增强的颜色平衡与融合技术研究(Matlab代码实现)
【图像处理】水下图像增强的颜色平衡与融合技术研究(Matlab代码实现)
142 0
|
3月前
|
机器学习/深度学习 算法 机器人
使用哈里斯角Harris和SIFT算法来实现局部特征匹配(Matlab代码实现)
使用哈里斯角Harris和SIFT算法来实现局部特征匹配(Matlab代码实现)
209 8
|
3月前
|
机器学习/深度学习 编解码 算法
基于OFDM技术的水下声学通信多径信道图像传输研究(Matlab代码实现)
基于OFDM技术的水下声学通信多径信道图像传输研究(Matlab代码实现)
222 8
|
3月前
|
机器学习/深度学习 算法 机器人
【水下图像增强融合算法】基于融合的水下图像与视频增强研究(Matlab代码实现)
【水下图像增强融合算法】基于融合的水下图像与视频增强研究(Matlab代码实现)
382 0
|
3月前
|
新能源 Java Go
【EI复现】参与调峰的储能系统配置方案及经济性分析(Matlab代码实现)
【EI复现】参与调峰的储能系统配置方案及经济性分析(Matlab代码实现)
146 0
|
3月前
|
机器学习/深度学习 数据采集 测试技术
基于CEEMDAN-VMD-BiLSTM的多变量输入单步时序预测研究(Matlab代码实现)
基于CEEMDAN-VMD-BiLSTM的多变量输入单步时序预测研究(Matlab代码实现)
131 8
|
3月前
|
机器学习/深度学习 算法 自动驾驶
基于导向滤波的暗通道去雾算法在灰度与彩色图像可见度复原中的研究(Matlab代码实现)
基于导向滤波的暗通道去雾算法在灰度与彩色图像可见度复原中的研究(Matlab代码实现)
221 8
|
3月前
|
编解码 运维 算法
【分布式能源选址与定容】光伏、储能双层优化配置接入配电网研究(Matlab代码实现)
【分布式能源选址与定容】光伏、储能双层优化配置接入配电网研究(Matlab代码实现)
204 12
|
3月前
|
人工智能 数据可视化 网络性能优化
【顶级SCI复现】虚拟电厂的多时间尺度调度:在考虑储能系统容量衰减的同时,整合发电与多用户负荷的灵活性研究(Matlab代码实现)
【顶级SCI复现】虚拟电厂的多时间尺度调度:在考虑储能系统容量衰减的同时,整合发电与多用户负荷的灵活性研究(Matlab代码实现)
163 9

热门文章

最新文章