【负荷预测】基于变分模态分解(VMD-CNN-LSTM)的短期电力负荷预测【Python】

简介: 本项目实现了一种基于变分模态分解(VMD)的短期电力负荷预测模型——VMD-CNN-LSTM。通过VMD技术将原始电力负荷数据分解为多个平稳子序列,结合温度和时间等特征构建矩阵,输入CNN-LSTM模型训练,最终叠加重构得到预测结果。此方法有效应对非线性和非平稳性引起的误差,精度高且稳定性强。程序采用Python编写,注释清晰,运行稳定,并提供直观的可视化结果。附带部分代码及详细运行结果展示,下载链接已提供。

1 主要内容

该程序实现一种基于变分模态分解的短期电力预测模型——VMD-CNN-LSTM 模型。该模型利用 VMD 技术对原始电力负荷数据及其相关特征进行分解,并通过全连接层来输出预测结果,这种方法精度较高,可有效应对电力负荷数据的非平稳性和非线性引起的预测误差,主要原理是通过将负荷数据分解为多个相对平稳的子序列,并与其他影响因素重构特征矩阵,再使用模型重新训练,从而提升预测精度。该程序采用python编写,注释清楚,运行稳定,出图效果好!


变分模态分解法


在 2014 年,Konstantin Dragomiretski 和 Dominique Zosso 提出了一种用于信号分解技术的新方法——变分模态分解法(Variational mode decomposition,VMD)。这种方法是非递归的,采用自适应的变分框架来分解信号。VMD 与传统的信号分解技术相比,其分解后的子序列在保留了原始数据序列趋势特征的同时,也能有效避免了“模态混叠”对预测模型的干扰,且在处理噪声较大的信号时表现出更好的分解性能和更强的鲁棒性。

VMD 分解原始数据的步骤如下:

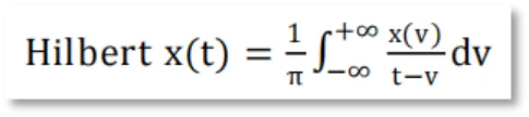
Step1. 针对每个模态序列,使用希尔伯特变换计算与每个模态序列相关的分析信号,以此来获取单边频谱信号。


Step2. 通过向每个子序列新增指数项来对中心频率进行调整,并将子序列的频谱信号移动至基带。


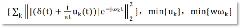
Step3. 通过解调信号的高斯平滑度得到的约束变分表达式。



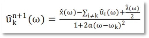
tep4. 为了将上述两个公式转化成无约束的求解式,引入二次惩罚项α和拉格朗日惩罚算子λ,得到增广拉格朗日表达式。


Step5. 利用乘数的交替方向法寻找增广拉格朗日表达式的鞍点,得到各模态序列的频域更新。


式中,n 表示迭代次数。

拉格朗日乘法算子λ需要满足下式。


Step6. 循环求解增广拉格朗日表达式鞍点,直到模态分量满足:


式中,ε是一个常量,决定了分解的精度和迭代次数。

VMD-CNN-LSTM负荷预测


首先通过 VMD 分解原始电力负荷数据序列,得到 8个平滑稳定的 IMF 子序列,在一定程度上解决了原始数据带来的非线性问题。其次分别将 8 个子序列与温度和时间等特征进行合并,构建特征矩阵,并进行归一化处理。之后将处理好的8个特征矩阵输入CNN-LSTM 模型中进行训练,输出8个子序列的预测值;最后将8个预测子序列进行叠加重构,输出最终的电力负荷预测结果。


2 部分代码


# 显示图形。residuals = actual_test - pre_testplt.figure(figsize=(6,4), dpi=120)plt.hist(residuals, bins=30, edgecolor='k', alpha=0.7)plt.title('Residual Distribution')plt.xlabel('Prediction Error')plt.ylabel('Frequency')plt.axvline(x=0, color='r', linestyle='--')plt.show()plt.figure(figsize=(10,3), dpi=120)plt.fill_between(range(len(pre_test)),                  pre_test[:,0] - 1.96*np.std(residuals),                 pre_test[:,0] + 1.96*np.std(residuals),                 alpha=0.3, color='gray', label='95% CI')plt.plot(pre_test[:,0], '--', linewidth=1, label='Predicted')plt.plot(actual_test[:,0], '-', linewidth=1, label='Actual')plt.title('Prediction with Confidence Interval')plt.legend()plt.show()

3 运行结果

4 下载链接

链接

相关文章
|
6月前
|
机器学习/深度学习 数据采集 数据挖掘
基于 GARCH -LSTM 模型的混合方法进行时间序列预测研究(Python代码实现)
基于 GARCH -LSTM 模型的混合方法进行时间序列预测研究(Python代码实现)
232 2
|
6月前
|
机器学习/深度学习 算法 安全
【PSO-LSTM】基于PSO优化LSTM网络的电力负荷预测(Python代码实现)
【PSO-LSTM】基于PSO优化LSTM网络的电力负荷预测(Python代码实现)
330 0
|
5月前
|
机器学习/深度学习 数据采集 并行计算
多步预测系列 | LSTM、CNN、Transformer、TCN、串行、并行模型集合研究(Python代码实现)
多步预测系列 | LSTM、CNN、Transformer、TCN、串行、并行模型集合研究(Python代码实现)
560 2
|
6月前
|
机器学习/深度学习 数据采集 算法
Python|基于改进粒子群IPSO与LSTM的短期电力负荷预测研究
Python|基于改进粒子群IPSO与LSTM的短期电力负荷预测研究
266 4
|
6月前
|
机器学习/深度学习 数据采集 算法
【CNN-BiLSTM-attention】基于高斯混合模型聚类的风电场短期功率预测方法(Python&matlab代码实现)
【CNN-BiLSTM-attention】基于高斯混合模型聚类的风电场短期功率预测方法(Python&matlab代码实现)
374 4
|
5月前
|
机器学习/深度学习 数据采集 算法
基于VMD-LSTM的电力负荷预测研究(Matlab代码实现)
基于VMD-LSTM的电力负荷预测研究(Matlab代码实现)
378 0
|
5月前
|
机器学习/深度学习 数据采集 资源调度
基于长短期记忆网络定向改进预测的动态多目标进化算法(LSTM-DIP-DMOEA)求解CEC2018(DF1-DF14)研究(Matlab代码实现)
基于长短期记忆网络定向改进预测的动态多目标进化算法(LSTM-DIP-DMOEA)求解CEC2018(DF1-DF14)研究(Matlab代码实现)
150 0
|
8月前
|
机器学习/深度学习 算法 数据安全/隐私保护
基于PSO粒子群优化的BiLSTM双向长短期记忆网络序列预测算法matlab仿真,对比BiLSTM和LSTM
本项目基于MATLAB2022a/2024b开发,结合粒子群优化(PSO)算法与双向长短期记忆网络(BiLSTM),用于优化序列预测任务中的模型参数。核心代码包含详细中文注释及操作视频,涵盖遗传算法优化过程、BiLSTM网络构建、训练及预测分析。通过PSO优化BiLSTM的超参数(如学习率、隐藏层神经元数等),显著提升模型捕捉长期依赖关系和上下文信息的能力,适用于气象、交通流量等场景。附有运行效果图预览,展示适应度值、RMSE变化及预测结果对比,验证方法有效性。
|
8月前
|
机器学习/深度学习 数据采集 算法
基于GWO灰狼优化的BiLSTM双向长短期记忆网络序列预测算法matlab仿真,对比BiLSTM和LSTM
本项目基于Matlab 2022a/2024b实现,结合灰狼优化(GWO)算法与双向长短期记忆网络(BiLSTM),用于序列预测任务。核心代码包含数据预处理、种群初始化、适应度计算及参数优化等步骤,完整版附带中文注释与操作视频。BiLSTM通过前向与后向处理捕捉序列上下文信息,GWO优化其参数以提升预测性能。效果图展示训练过程与预测结果,适用于气象、交通等领域。LSTM结构含输入门、遗忘门与输出门,解决传统RNN梯度问题,而BiLSTM进一步增强上下文理解能力。
|
8月前
|
机器学习/深度学习 算法 数据挖掘
基于WOA鲸鱼优化的BiLSTM双向长短期记忆网络序列预测算法matlab仿真,对比BiLSTM和LSTM
本项目基于MATLAB 2022a/2024b实现,采用WOA优化的BiLSTM算法进行序列预测。核心代码包含完整中文注释与操作视频,展示从参数优化到模型训练、预测的全流程。BiLSTM通过前向与后向LSTM结合,有效捕捉序列前后文信息,解决传统RNN梯度消失问题。WOA优化超参数(如学习率、隐藏层神经元数),提升模型性能,避免局部最优解。附有运行效果图预览,最终输出预测值与实际值对比,RMSE评估精度。适合研究时序数据分析与深度学习优化的开发者参考。

推荐镜像

更多