1.算法仿真效果
matlab2022a仿真结果如下(完整代码运行后无水印):



仿真操作步骤可参考程序配套的操作视频。
2.算法涉及理论知识概要
正交幅度调制(QAM)是一种广泛应用于现代通信系统中的调制技术,其具有较高的频谱效率和抗噪声性能。随着通信技术的不断发展,对 QAM 调制信号的准确检测变得至关重要。传统的信号检测方法在复杂的通信环境下可能面临性能下降的问题。近年来,深度学习技术,特别是循环神经网络(RNN),在信号处理领域展现出了巨大的潜力。门控循环单元(GRU)网络作为一种改进的 RNN 结构,具有更高效的训练和更好的性能表现。
QAM 是一种将幅度调制和相位调制相结合的调制方式。对于 M-QAM(M 为调制阶数,如 16QAM、32QAM、64QAM、128QAM 等),信号可以表示为:

GRU 是一种门控循环单元,它的主要目的是解决传统 RNN 在处理长序列数据时出现的梯度消失和梯度爆炸问题。GRU 由更新门和重置门组成。

GRU 的计算过程:

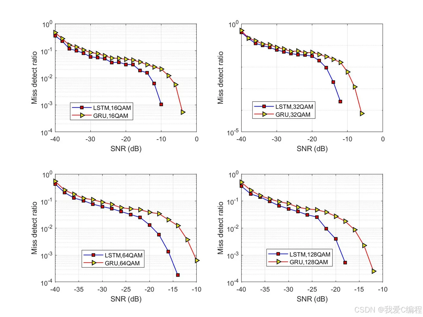
基于 GRU 网络的 QAM 调制信号检测算法通过利用 GRU 的门控机制,能够有效地提取 QAM 调制信号的时间序列特征,实现对不同调制阶数(16QAM、32QAM、64QAM、128QAM)的准确检测。与 LSTM 相比,GRU 具有更少的参数和更快的训练速度,在一些情况下(snr较低时)能够取得与 LSTM 相当甚至更好的性能,而当SNR较高时,LSTM性能则优于GRU。在实际应用中,可以根据具体的需求和计算资源选择合适的网络结构。
3.MATLAB核心程序
Midxs = [16,32,64,128];
YTest = categorical(YTest,[1 0],{'Y','N'});
False_detect = zeros(length(YTest(1,:)),1);
Miss_detect = zeros(length(YTest(1,:)),1);
Accuracy = zeros(length(YTest(1,:)),1);
count1 = 0;
count2 = 0;
for ij=1:length(YTest(1,:))
%调用模型进行预测识别
temp = classify(net,XTest(:,ij));
for n=1:length(temp)
if YTest(n,ij) == 'Y'
if temp(n) ~= YTest(n,ij)
False_detect(ij) = False_detect(ij) + 1;
end
count1 = count1 + 1;
end
if YTest(n,ij) == 'N'
if temp(n) ~= YTest(n,ij)
Miss_detect(ij) = Miss_detect(ij) + 1;
end
count2 = count2 + 1;
end
end
False_detect(ij) = False_detect(ij)/count1;
Miss_detect(ij) = Miss_detect(ij)/count2;
Accuracy(ij) = 1 - sum(temp~=YTest(:,ij))/length(temp);
end
SNR = [-40 : 2 : 10];
% 绘制准确率图
if Midx == 16
save R\gru_1.mat SNR Accuracy Miss_detect False_detect
end
if Midx == 32
save R\gru_2.mat SNR Accuracy Miss_detect False_detect
end
if Midx == 64
save R\gru_3.mat SNR Accuracy Miss_detect False_detect
end
if Midx == 128
save R\gru_4.mat SNR Accuracy Miss_detect False_detect
end
end