联邦学习的未来:深入剖析FedAvg算法与数据不均衡的解决之道

简介: 随着数据隐私和数据安全法规的不断加强,传统的集中式机器学习方法受到越来越多的限制。为了在分布式数据场景中高效训练模型,同时保护用户数据隐私,联邦学习(Federated Learning, FL)应运而生。它允许多个参与方在本地数据上训练模型,并通过共享模型参数而非原始数据,实现协同建模。

 引言

随着数据隐私和数据安全法规的不断加强,传统的集中式机器学习方法受到越来越多的限制。为了在分布式数据场景中高效训练模型,同时保护用户数据隐私,联邦学习(Federated Learning, FL)应运而生。它允许多个参与方在本地数据上训练模型,并通过共享模型参数而非原始数据,实现协同建模。

本文将以联邦学习中最经典的联邦平均算法(FedAvg)为核心,探讨其原理、代码实现以及应对数据不均衡问题的实践与改进方法。通过丰富的示例代码和详细的分析,全面展示联邦学习的潜力及挑战。

一、联邦学习概述

1.1 联邦学习的定义与背景

联邦学习是由Google提出的一种分布式机器学习方法,旨在解决数据隐私、分散性和异构性问题。与传统集中式方法不同,联邦学习在参与方(如手机、医院等)本地设备上进行模型训练,仅上传模型参数至服务器,避免了敏感数据的直接共享。

典型的联邦学习场景包括:

  • 个性化推荐:如移动设备的输入法优化、广告推荐。
  • 医疗领域:医院之间共享模型以改进诊断精度,而无需共享患者数据。
  • 金融行业:跨银行的欺诈检测模型。

1.2 联邦学习的特点

  • 隐私保护:通过在本地训练模型,保护了参与方的数据隐私。
  • 分布式训练:在多个设备上独立训练,减少了对中央服务器的依赖。
  • 数据异构性:适应客户端之间的非独立同分布(Non-IID)数据。

二、联邦平均算法(FedAvg)

联邦平均算法(FedAvg)是联邦学习的核心算法之一,由McMahan等人在2017年提出。其通过本地模型更新的加权平均来实现全局模型的更新,极大地简化了联邦学习的实现。

2.1 FedAvg的核心思想

FedAvg算法的关键步骤包括:

  1. 全局模型初始化:中央服务器初始化全局模型参数 ( w^0 )。
  2. 分发模型:服务器将全局模型发送给所有客户端。
  3. 本地训练:每个客户端在本地数据上进行若干轮训练,更新模型参数。
  4. 上传更新:客户端将本地模型更新发送至服务器。
  5. 全局聚合:服务器按权重对客户端的模型参数进行加权平均,更新全局模型。

2.2 FedAvg的公式推导

假设有 ( K ) 个客户端,每个客户端的数据量为 ( n_k ),全局数据总量为 ( N = \sum_{k=1}^K n_k )。在第 ( t ) 轮中:

  • 客户端 ( k ) 的本地更新为 ( w_k^t )。
  • 全局模型的更新公式为: [ w^{t+1} = \sum_{k=1}^K \frac{n_k}{N} w_k^t ]

该公式实现了客户端模型的加权平均,确保数据量较大的客户端在模型更新中有更大的影响力。

2.3 FedAvg的伪代码

以下为FedAvg的工作流程伪代码:

1. 初始化全局模型参数 w^0。
2. for 每轮训练 t = 1, ..., T:
    a. 服务器将全局模型 w^t 分发给客户端。
    b. 每个客户端在本地数据上执行若干轮优化,得到更新后的参数 w_k^t。
    c. 客户端上传 w_k^t 至服务器。
    d. 服务器聚合客户端参数,更新全局模型:
       w^{t+1} = sum_k (n_k / N) * w_k^t
3. 返回最终的全局模型 w^T。

image.gif

2.4 FedAvg的代码实现

以下是FedAvg算法的简单实现,基于PyTorch:

import torch
import torch.nn as nn
import torch.optim as optim
from torch.utils.data import DataLoader, Dataset
# 定义简单的数据集
class SyntheticDataset(Dataset):
    def __init__(self, size, num_features):
        self.data = torch.randn(size, num_features)
        self.labels = (self.data.sum(axis=1) > 0).long()  # 简单二分类任务
    def __len__(self):
        return len(self.data)
    def __getitem__(self, idx):
        return self.data[idx], self.labels[idx]
# 定义简单的模型
class SimpleModel(nn.Module):
    def __init__(self, input_dim):
        super(SimpleModel, self).__init__()
        self.fc = nn.Linear(input_dim, 2)
    def forward(self, x):
        return self.fc(x)
# 本地训练函数
def local_training(model, dataloader, optimizer, criterion, epochs):
    model.train()
    for _ in range(epochs):
        for x, y in dataloader:
            optimizer.zero_grad()
            outputs = model(x)
            loss = criterion(outputs, y)
            loss.backward()
            optimizer.step()
    return model.state_dict()
# 联邦平均算法实现
def fed_avg(global_model, client_loaders, rounds, local_epochs, lr):
    for round_idx in range(rounds):
        local_models = []
        for loader in client_loaders:
            # 克隆全局模型
            local_model = SimpleModel(global_model.fc.in_features)
            local_model.load_state_dict(global_model.state_dict())
            optimizer = optim.SGD(local_model.parameters(), lr=lr)
            criterion = nn.CrossEntropyLoss()
            # 本地训练
            local_state_dict = local_training(local_model, loader, optimizer, criterion, local_epochs)
            local_models.append(local_state_dict)
        # 聚合本地模型
        global_state_dict = global_model.state_dict()
        for key in global_state_dict.keys():
            global_state_dict[key] = torch.mean(torch.stack([local_model[key] for local_model in local_models]), dim=0)
        global_model.load_state_dict(global_state_dict)
        print(f"Round {round_idx + 1} completed.")
    return global_model
# 模拟数据与训练
num_clients = 5
data_per_client = 100
input_dim = 10
client_loaders = [
    DataLoader(SyntheticDataset(data_per_client, input_dim), batch_size=10, shuffle=True)
    for _ in range(num_clients)
]
global_model = SimpleModel(input_dim)
global_model = fed_avg(global_model, client_loaders, rounds=10, local_epochs=5, lr=0.01)

image.gif

三、数据不均衡对FedAvg的影响

3.1 数据不均衡的定义

在联邦学习中,数据不均衡的表现形式主要包括:

  1. 数量不均衡:不同客户端数据量差异显著。
  2. 类别不均衡:单个客户端的类别分布不均衡,某些类别样本占主导地位。

数据不均衡对联邦学习的影响包括:

  • 模型偏置:全局模型对某些类别或客户端的数据表现较差。
  • 训练不稳定:由于客户端贡献不均,模型更新过程可能受到干扰。

3.2 应对数据不均衡的策略

调整客户端权重

根据客户端数据量调整权重,减少小样本客户端对模型的负面影响。

重新采样

在本地数据集中进行过采样或欠采样,平衡数据分布。

数据增强

通过数据扩展技术生成更多样本,从而缓解类别不均衡问题。

算法改进

如FedProx等方法,通过增加正则项来限制模型的过度更新。

3.3 实验示例:不均衡数据的模拟与对比

以下代码展示如何模拟数据不均衡场景:

def create_imbalanced_loaders(num_clients, input_dim):
    loaders = []
    for i in range(num_clients):
        if i % 2 == 0:
            data_size = 200  # 数据量较大
        else:
            data_size = 50   # 数据量较小
        dataset = SyntheticDataset(data_size, input_dim)
        loaders.append(DataLoader(dataset, batch_size=10, shuffle=True))
    return loaders
imbalanced_loaders = create_imbalanced_loaders(num_clients, input_dim)
# 在不均衡数据上运行FedAvg
global_model = fed_avg(global_model, imbalanced_loaders, rounds=10, local_epochs=5, lr=0.01)

image.gif

通过对比均衡和不均衡数据的训练结果,可以观察数据不均衡对模型性能的影响。

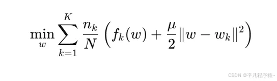
四、改进方法:FedProx与个性化联邦学习

FedProx通过引入正则项限制本地模型过拟合

,提升全局模型在非IID数据上的鲁棒性。

FedProx的公式:

image.gif 编辑

五、总结与展望

联邦学习作为分布式机器学习的前沿技术,在保护数据隐私的同时实现了协作式建模。FedAvg作为经典算法,简单高效,但在面对数据不均衡和非IID数据时存在局限性。未来研究将围绕算法改进和通信优化展开,以满足更多实际需求。

通过本篇文章,希望读者对联邦学习、FedAvg以及数据不均衡的挑战与解决方案有更深入的理解,为实际应用提供理论与实践的支持。

image.gif 编辑

相关文章
|
6月前
|
机器学习/深度学习 人工智能 算法
【基于TTNRBO优化DBN回归预测】基于瞬态三角牛顿-拉夫逊优化算法(TTNRBO)优化深度信念网络(DBN)数据回归预测研究(Matlab代码实现)
【基于TTNRBO优化DBN回归预测】基于瞬态三角牛顿-拉夫逊优化算法(TTNRBO)优化深度信念网络(DBN)数据回归预测研究(Matlab代码实现)
270 0
|
6月前
|
机器学习/深度学习 算法 前端开发
别再用均值填充了!MICE算法教你正确处理缺失数据
MICE是一种基于迭代链式方程的缺失值插补方法,通过构建后验分布并生成多个完整数据集,有效量化不确定性。相比简单填补,MICE利用变量间复杂关系,提升插补准确性,适用于多变量关联、缺失率高的场景。本文结合PMM与线性回归,详解其机制并对比效果,验证其在统计推断中的优势。
1561 11
别再用均值填充了!MICE算法教你正确处理缺失数据
|
6月前
|
存储 机器学习/深度学习 编解码
双选择性信道下正交啁啾分复用(OCDM)的低复杂度均衡算法研究——论文阅读
本文提出统一相位正交啁啾分复用(UP-OCDM)方案,利用循环矩阵特性设计两种低复杂度均衡算法:基于带状近似的LDL^H分解和基于BEM的迭代LSQR,将复杂度由$O(N^3)$降至$O(NQ^2)$或$O(iNM\log N)$,在双选择性信道下显著提升高频谱效率与抗多普勒性能。
372 0
双选择性信道下正交啁啾分复用(OCDM)的低复杂度均衡算法研究——论文阅读
|
7月前
|
存储 监控 算法
企业电脑监控系统中基于 Go 语言的跳表结构设备数据索引算法研究
本文介绍基于Go语言的跳表算法在企业电脑监控系统中的应用,通过多层索引结构将数据查询、插入、删除操作优化至O(log n),显著提升海量设备数据管理效率,解决传统链表查询延迟问题,实现高效设备状态定位与异常筛选。
191 3
|
7月前
|
传感器 机器学习/深度学习 算法
【使用 DSP 滤波器加速速度和位移】使用信号处理算法过滤加速度数据并将其转换为速度和位移研究(Matlab代码实现)
【使用 DSP 滤波器加速速度和位移】使用信号处理算法过滤加速度数据并将其转换为速度和位移研究(Matlab代码实现)
451 1
|
7月前
|
机器学习/深度学习 算法 调度
14种智能算法优化BP神经网络(14种方法)实现数据预测分类研究(Matlab代码实现)
14种智能算法优化BP神经网络(14种方法)实现数据预测分类研究(Matlab代码实现)
560 0
|
7月前
|
算法 数据挖掘 定位技术
基于密度的聚类算法能够在含有噪声的数据集中识别出任意形状和大小的簇(Matlab代码实现)
基于密度的聚类算法能够在含有噪声的数据集中识别出任意形状和大小的簇(Matlab代码实现)
169 1
|
7月前
|
机器学习/深度学习 数据采集 运维
改进的遗传算法优化的BP神经网络用于电厂数据的异常检测和故障诊断
改进的遗传算法优化的BP神经网络用于电厂数据的异常检测和故障诊断
|
8月前
|
机器学习/深度学习 传感器 边缘计算
【轴承故障诊断】基于融合鱼鹰和柯西变异的麻雀优化算法OCSSA-VMD-CNN-BILSTM轴承诊断研究【西储大学数据】(Matlab代码实现)
【轴承故障诊断】基于融合鱼鹰和柯西变异的麻雀优化算法OCSSA-VMD-CNN-BILSTM轴承诊断研究【西储大学数据】(Matlab代码实现)
233 0
|
8月前
|
机器学习/深度学习 Dragonfly 人工智能
基于蜻蜓算法优化支持向量机(DA-SVM)的数据多特征分类预测研究(Matlab代码实现)
基于蜻蜓算法优化支持向量机(DA-SVM)的数据多特征分类预测研究(Matlab代码实现)
179 1

热门文章

最新文章

下一篇
开通oss服务