二叉排序树(java)

简介: 二叉排序树(java)

     二叉排序树: BST:(Binary ort(Search) Tree),对于二叉排序树的任何一个非叶子节点要求左子节点的值比当前节点的值小,右子节点的值比当前节点的值大。特别说明: 如果有相同的值,可以将该节点放在左子节点或右子节点。

节点

package org.minos.binarysorttree;
 
/**
 * 创建节点
 */
public class Node {
    int value;
 
    Node left;
 
    Node right;
 
    public Node(int value) {
        this.value = value;
    }
 
    /**
     * 添加节点
     *
     * @param node
     */
    public void add(Node node) {
        if (node == null) {
            return;
        }
        //    判断传入节点的值,和当前子树根节点的关系
        if (node.value < this.value) {
            if (this.left != null) {
                //左子树递归
                this.left.add(node);
            } else {
                this.left = node;
            }
        } else {
            if (this.right != null) {
                //右子树递归
                this.right.add(node);
            } else {
                this.right = node;
            }
        }
    }
 
    /**
     * 查找要删除的节点的值
     *
     * @param value 希望删除的值
     * @return 返回该节点,默认返回null
     */
    public Node search(int value) {
        if (value == this.value) {
            return this;
        } else if (value < this.value) {
            //查找的值小于当前节点的值
            if (this.left == null) {
                return null;
            }
            return this.left.search(value);
        } else {
            //查找的值大于当前节点的值
            if (this.right == null) {
                return null;
            }
            return this.right.search(value);
        }
    }
 
    /**
     * 查找要删除的父节点
     * @param value
     * @return
     */
    public Node searchParent(int value) {
        //    如果当前节点就是要删除的节点的父节点,直接返回
        if ((this.right != null && this.right.value == value) ||
                (this.left != null && this.left.value == value)) {
            return this;
        } else {
            // 向左子树递归
            if (value < this.value && this.left != null) {
                return this.left.searchParent(value);
            } else if (value >= this.value && this.right != null) {
                //向右子树递归
                return this.right.searchParent(value);
            } else {
                return null;
            }
        }
    }
 
    /**
     * 中序遍历
     */
    public void infixOrder() {
        if (this.left != null) {
            this.left.infixOrder();
        }
        System.out.println(this);
        if (this.right != null) {
            this.right.infixOrder();
        }
    }
 
    @Override
    public String toString() {
        return "Node{" +
                "value=" + value +
                '}';
    }
}
/**
 * 二叉排序树
 */
public class BinarySortTree {
    private Node root;
 
    public void delNode(int value) {
        if (root == null) {
            return;
        }
        //    查找要删除的节点
        Node targetNode = search(value);
        //    如果没有找到要删除的节点
        if (targetNode == null) {
            return;
        }        //二叉树只有一个节点,切删除的为此节点
        if (root.left == null && root.right == null) {
            root = null;
            return;
        }
        //查找父节点
        Node parentNode = searchParent(value);
        //    如果删除的是叶子节点
        if (targetNode.left == null && targetNode.right == null) {
            //    如果是父节点的左子节点
            if (parentNode.left != null && parentNode.left.value == value) {
                parentNode.left = null;
            } else if (parentNode.right != null && parentNode.right.value == value) {
                // 如果是父节点的右子节点
                parentNode.right = null;
            }
        } else if (targetNode.left != null && targetNode.right != null) {
            //    删除节点有左右两个子树(删除当前节点右节点的最小值,或者当前节点左节点的最大值)
            int minVal = delRightTreeMin(targetNode.right);
            targetNode.value = minVal;
 
        } else {
            //    只有一颗子树的节点
            //    如果要删除的节点有左子节点
            if (targetNode.left != null) {
                //    如果targetNode是parent的左子节点
                if(parentNode!=null){
                    if (parentNode.left.value == value) {
                        parentNode.left = targetNode.left;
                    } else {
                        parentNode.right = targetNode.left;
                    }
                }else{
                    root=targetNode.left;
                }
 
            } else {
                //    如果删除的节点有右子节点
                if(parentNode!=null){
                    if (parentNode.left.value == value) {
                        parentNode.left = targetNode.right;
                    } else {
                        parentNode.right = targetNode.right;
                    }
                }else {
                    root=targetNode.right;
                }
 
            }
 
        }
    }
 
    /**
     * 返回以node根节点的二叉排序树的最小节点的值
     * 删除最小节点,返回最小节点的值
     *
     * @param node
     * @return
     */
    public int delRightTreeMin(Node node) {
        Node target = node;
        //    循环找到左子节点,找到最小值
        while (target.left != null) {
            target = target.left;
        }
        //    删除最小节点
        delNode(target.value);
        return target.value;
    }
 
    /**
     * 查找要删除的节点
     *
     * @param value
     * @return
     */
    public Node search(int value) {
        if (root == null) {
            return null;
        } else {
            return root.search(value);
        }
    }
 
    /**
     * 查找父节点
     *
     * @param value
     * @return
     */
    public Node searchParent(int value) {
        if (root == null) {
            return null;
        } else {
            return root.searchParent(value);
        }
    }
 
    /**
     * 添加节点方法
     *
     * @param node 新节点
     */
    public void add(Node node) {
        if (root == null) {
            root = node;
        } else {
            root.add(node);
        }
    }
 
    /**
     * 创建二叉排序树
     */
    public void infixOrder() {
        System.out.println("中序遍历二叉排序树");
        if (root == null) {
            System.out.println("节点为空");
        } else {
            root.infixOrder();
        }
    }
}

测试

import java.util.Arrays;
 
public class BinarySortTreeDemo {
    public static void main(String[] args) {
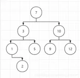
        int[] arr = {7, 3, 10, 12, 5, 1, 9,2};
        BinarySortTree binarySortTree = new BinarySortTree();
        //    添加节点
        for (int i = 0; i < arr.length; i++) {
            binarySortTree.add(new Node(arr[i]));
        }
        binarySortTree.infixOrder();
        System.out.println("删除节点");
        binarySortTree.delNode(2);
        binarySortTree.delNode(5);
        binarySortTree.delNode(9);
        binarySortTree.delNode(12);
        binarySortTree.delNode(7);
        binarySortTree.delNode(3);
        binarySortTree.delNode(10);
        binarySortTree.delNode(1);
        binarySortTree.infixOrder();
    }
}
中序遍历二叉排序树
Node{value=1}
Node{value=2}
Node{value=3}
Node{value=5}
Node{value=7}
Node{value=9}
Node{value=10}
Node{value=12}
删除节点
中序遍历二叉排序树
节点为空
相关文章
|
Java BI
Java 实现二叉排序树(BST)
Java 实现二叉排序树(BST)
142 0
二叉搜索树(二叉排序树)—Java(下)
二叉搜索树(二叉排序树)—Java(下)
127 0
二叉搜索树(二叉排序树)—Java(上)
二叉搜索树(二叉排序树)—Java(上)
261 0
|
Java C语言
面试整理 - 二叉排序树 c语言 及java 例子
面试整理 - 二叉排序树 c语言 及java 例子
|
算法 Java
编写算法求给定结点在二叉排序树中所在的层数(Java语言)
编写算法求给定结点在二叉排序树中所在的层数(Java语言)
132 0
|
Java
二叉排序树的查找性能(Java语言)
二叉排序树的查找性能(Java语言)
229 0
|
算法 Java
Java开发 - 树(二叉树,二叉排序树,红黑树)(三)
Java开发 - 树(二叉树,二叉排序树,红黑树)
146 0
 Java开发 - 树(二叉树,二叉排序树,红黑树)(三)
|
Java
Java开发 - 树(二叉树,二叉排序树,红黑树)(二)
Java开发 - 树(二叉树,二叉排序树,红黑树)
183 0
 Java开发 - 树(二叉树,二叉排序树,红黑树)(二)
|
存储 Java 程序员
Java开发 - 树(二叉树,二叉排序树,红黑树)(一)
Java开发 - 树(二叉树,二叉排序树,红黑树)
333 0
Java开发 - 树(二叉树,二叉排序树,红黑树)(一)
|
Java C++
二叉排序树(Java实现)
二叉排序树(Java实现)
262 0
二叉排序树(Java实现)