Matlab创建向量自回归(VAR)模型分析消费者价格指数 (CPI) 和失业率时间序列

简介: Matlab创建向量自回归(VAR)模型分析消费者价格指数 (CPI) 和失业率时间序列

描述

var对象指定了p阶平稳的多变量向量自回归模型(VAR(p))模型的函数形式并存储了参数值。

varm 对象的关键组成部分 包括时间序列的数量和多元自回归多项式 ( p )的阶数,因为它们完全指定了模型结构。其他模型组件包括将相同的外生预测变量与每个序列相关联的回归成分,以及常数和时间趋势项。

例子

创建和修改默认模型

创建一个由一个序列组成的零阶 VAR 模型。

Mdl 是一个 varm 模型对象。它包含一个序列、一个未知常数和一个未知方差。模型的属性出现在命令行中。

假设您的问题在滞后 1 处有一个自回归系数。要创建这样的模型,请将自回归系数属性 ( AR) 设置为包含NaN 使用点表示法的值的单元格 。

如果您的问题包含多个序列,则使用不同的语法来创建模型。

为参数估计创建 VAR(4) 模型

为消费者价格指数 (CPI) 和失业率创建 VAR(4) 模型。

声明 CPI和失业率变量。

cpi  DCP;
ura = aaTeUAE;

创建默认的 VAR(4) 模型。

var(2,4)

Mdl 是一个 varm 模型对象。例如,该 Constant 属性是一个 2×1 的NaN 值向量 。因此,模型常数是要估计的活动模型参数。

通过将Trend 属性设置为NaN, 使用点表示法来 包含未知的线性时间趋势项 。

扩展 NaN 到适当的长度,即一个 2×1 的NaN 值向量 。

指定 VAR 模型的所有参数值

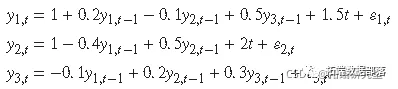
为三个任意序列创建一个 VAR 模型。指定此方程组中的参数值。

假设是多元高斯分布,均值为 0,协方差矩阵

为参数值创建变量。

使用适当的名称-值对参数创建一个 VAR(1) 模型对象,表示动态方程组。

var('Coan',cAR',i1're,dta,ovaice'Sa)

Mdl 是一个完全指定的 varm 模型对象。默认情况下, varm 将自回归系数归因于第一个滞后。

您可以使用圆点表示法调整模型属性。例如,考虑另一个 VAR 模型,该模型将自回归系数矩阵归因于 Phi1 第二个滞后项,为第一个滞后系数指定一个零矩阵,并将所有其他项视为等于 Mdl。创建此 VAR(2) 模型。

M2R= Phi

或者,您可以使用varm 与 for 相同的语法 创建另一个模型对象 Mdl,但另外指定 'Lags',2.

估计的 VAR (4) 模型

将 VAR(4) 模型拟合到消费者价格指数 (CPI) 和失业率数据。

在不同的图上绘制两个序列。

figure;
plot(atal.Te,DaTa.);

figure;
plot(DaTTie,DatTE);

通过将 CPI 转换为一系列增长率来稳定 CPI。通过从失业率序列中删除第一个观测值来同步这两个序列。

prce2rt(DaTlL);

创建默认的 VAR(4) 模型。

Mdl 是一个 var 模型对象。所有包含NaN 值的属性都 对应于给定数据要估计的参数。

使用整个数据集估计模型。

estate(Mdl)

EstMdl 是一个估计的 varm 模型对象。它是完全指定的,因为所有参数都有已知值。说明表明自回归多项式是平稳的。

显示估计的汇总统计信息。

summari

VAR(4) 模型的预测

创建并估计 CPI 增长率和失业率的 VAR(4) 模型。将最后十个时期视为预测范围。

cp = pre2rt(ci);
EMl = estme(dl,Y(1(end-10),:));

使用估计模型和样本内数据作为样本前观察预测 10 个数据。

freca(Estl);

在单独的图上绘制带有预测值的序列部分。

plot(Tie(ed - 50:ed),ci(nd - 50:ed));

plot(Time(nd - 50:ed),ue(ed - 50:ed));


相关文章
|
2月前
|
新能源 Java Go
【EI复现】参与调峰的储能系统配置方案及经济性分析(Matlab代码实现)
【EI复现】参与调峰的储能系统配置方案及经济性分析(Matlab代码实现)
107 0
|
3月前
|
传感器 算法 安全
基于分布式模型预测控制DMPC的单向拓扑结构下异构车辆车队研究(Matlab代码实现)
基于分布式模型预测控制DMPC的单向拓扑结构下异构车辆车队研究(Matlab代码实现)
121 4
|
3月前
|
机器学习/深度学习 传感器 算法
【无人车路径跟踪】基于神经网络的数据驱动迭代学习控制(ILC)算法,用于具有未知模型和重复任务的非线性单输入单输出(SISO)离散时间系统的无人车的路径跟踪(Matlab代码实现)
【无人车路径跟踪】基于神经网络的数据驱动迭代学习控制(ILC)算法,用于具有未知模型和重复任务的非线性单输入单输出(SISO)离散时间系统的无人车的路径跟踪(Matlab代码实现)
209 2
|
3月前
|
传感器 机器学习/深度学习 编解码
【电缆】中压电缆局部放电的传输模型研究(Matlab代码实现)
【电缆】中压电缆局部放电的传输模型研究(Matlab代码实现)
130 3
|
3月前
|
机器学习/深度学习 算法 决策智能
MATLAB中双馈发电机与无刷双馈发电机低电压穿越的异同分析
MATLAB中双馈发电机与无刷双馈发电机低电压穿越的异同分析
|
3月前
|
机器学习/深度学习 算法 数据安全/隐私保护
基于WOA鲸鱼优化的XGBoost序列预测算法matlab仿真
基于WOA优化XGBoost的序列预测算法,利用鲸鱼优化算法自动寻优超参数,提升预测精度。结合MATLAB实现,适用于金融、气象等领域,具有较强非线性拟合能力,实验结果表明该方法显著优于传统模型。(238字)
|
3月前
|
传感器 资源调度 算法
基于无迹卡尔曼滤波(UKF)与模型预测控制(MPC)的多无人机避撞研究(Matlab代码实现)
基于无迹卡尔曼滤波(UKF)与模型预测控制(MPC)的多无人机避撞研究(Matlab代码实现)
170 1
|
3月前
|
存储 边缘计算 算法
【太阳能学报EI复现】基于粒子群优化算法的风-水电联合优化运行分析(Matlab代码实现)
【太阳能学报EI复现】基于粒子群优化算法的风-水电联合优化运行分析(Matlab代码实现)
|
3月前
|
机器学习/深度学习 数据采集 传感器
【WOA-CNN-LSTM】基于鲸鱼算法优化深度学习预测模型的超参数研究(Matlab代码实现)
【WOA-CNN-LSTM】基于鲸鱼算法优化深度学习预测模型的超参数研究(Matlab代码实现)
217 0
|
2月前
|
机器学习/深度学习 算法 机器人
【水下图像增强融合算法】基于融合的水下图像与视频增强研究(Matlab代码实现)
【水下图像增强融合算法】基于融合的水下图像与视频增强研究(Matlab代码实现)
208 0

热门文章

最新文章