时间序列TAR阈值自回归模型

简介: 时间序列TAR阈值自回归模型

为了方便起见,这些模型通常简称为TAR模型。这些模型捕捉线性时间序列模型无法捕获的行为,如极限循环,幅度相关频率和跳跃现象。


数据示例

TAR模型通过抑制噪声项和截距并将阈值设置为0来获得:

模型估计

一种方法和这里讨论的方法是条件最小二乘(CLS)方法。

情况1.如果r和d都是已知的。

情况2.如果r未知。

最小AIC(MAIC)方法

由于实际上两种制度的AR指令是未知的,因此需要一种方法来估计这些指标。对于TAR模型,通过最小化AIC受试者在一定时间间隔内搜索阈值参数来估计参数,使得任何方案具有足够的估计数据。


非线性测试

使用滞后回归图进行检查。

拟合的回归曲线不够直,表明可能存在非线性关系。

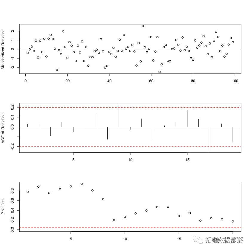
模型诊断

模型诊断使用残差分析完成。

预测

预测分布通常是非正常的和棘手的。通常,采用模拟方法进行预测。

相关文章
R语言时间序列TAR阈值自回归模型(下)
R语言时间序列TAR阈值自回归模型(下)
|
Java 应用服务中间件 Nacos
阿里巴巴NACOS(3)- 部署Nacos的生产集群环境
上一篇文章介绍了如何在Spring Cloud中使用Nacos,让我感觉是无缝支持Spring Cloud,可惜的是阿里云的MSE暂时只支持Nacos的服务注册和发现,配置中心还是需要用阿里云的ACM来完成,本文将介绍如何部署Nacos的生产集群环境。
14058 0
阿里巴巴NACOS(3)- 部署Nacos的生产集群环境
|
开发者
在代码维护中,Qwen-coder可以通过多种方式提升编程效率和代码质量
Qwen-coder在代码维护中发挥着重要作用,帮助开发者提高代码质量,减少错误,提升开发效率。这些功能使得Qwen-coder成为代码维护和开发过程中的有力助手。
492 52
|
机器学习/深度学习 数据采集 算法
时间序列结构变化分析:Python实现时间序列变化点检测
在时间序列分析和预测中,准确检测结构变化至关重要。新出现的分布模式往往会导致历史数据失去代表性,进而影响基于这些数据训练的模型的有效性。
1487 1
|
算法 数据可视化
基于SSA奇异谱分析算法的时间序列趋势线提取matlab仿真
奇异谱分析(SSA)是一种基于奇异值分解(SVD)和轨迹矩阵的非线性、非参数时间序列分析方法,适用于提取趋势、周期性和噪声成分。本项目使用MATLAB 2022a版本实现从强干扰序列中提取趋势线,并通过可视化展示了原时间序列与提取的趋势分量。代码实现了滑动窗口下的奇异值分解和分组重构,适用于非线性和非平稳时间序列分析。此方法在气候变化、金融市场和生物医学信号处理等领域有广泛应用。
683 19
|
机器学习/深度学习 数据采集 计算机视觉
深度学习之缺失数据的图像修复
基于深度学习的缺失数据图像修复是一种通过深度学习技术填补图像中缺失或损坏部分的过程。这种技术在图像处理领域具有重要意义,能够改善图像的视觉质量,并在许多实际应用中发挥作用,如图像恢复、视频编辑和图像生成等。
383 4
|
数据挖掘 vr&ar
金融时间序列模型ARIMA 和GARCH 在股票市场预测应用
金融时间序列模型ARIMA 和GARCH 在股票市场预测应用
|
机器学习/深度学习 人工智能 算法
阿里达摩院 MindOpt 介绍和使用
MindOpt 是阿里巴巴达摩院决策智能实验室研发的决策优化软件。团队组建于2019年,聚焦于研发尖端运筹优化和机器学习技术,构建智能决策系统,更快更好地向各行各业提供数学建模与求解能力,帮助业务更快更好地做出决策,以期降低成本、提升效率、增大收益 。当前 MindOpt 围绕智能决策优化所需的建模和求解能力,突破国外垄断,自研了 MindOpt Solver 优化求解器、MindOpt APL 建模语言、MindOpt Tuner 调参器;并创新地提出“强化+优化”双决策引擎,打造了MindOpt Studio 优化平台。并结合前沿先进的预训练大模型技术打造MindOpt Copilot。
4231 2
阿里达摩院 MindOpt 介绍和使用
|
机器人 C# 图形学
C# | [极坐标] 与 [平面直角系坐标] 的相互转换
极坐标和平面直角系坐标是常见的坐标系统,它们在不同的应用场景中都有重要的作用。而在计算机图形学、物理模拟和机器人控制等领域,我们经常需要在极坐标和平面直角系坐标之间进行转换。
461 2
C# | [极坐标] 与 [平面直角系坐标] 的相互转换
|
XML 关系型数据库 Linux
从小白到专家 PG技术大讲堂 - Part 2:PostgreSQL源代码安装
Part 2:PG源代码安装 步骤1 创建用户与环境配置 步骤2 系统内核参数配置 步骤3 PostgreSQL 安装
433 1
从小白到专家 PG技术大讲堂 - Part 2:PostgreSQL源代码安装