需要源码和数据集请点赞关注收藏后评论区留言私信~~~
层次聚类
在聚类算法中,有一类研究执行过程的算法,它们以其他聚类算法为基础,通过不同的运用方式试图达到提高效率,避免局部最优等目的,这类算法主要有网格聚类和层次聚类算法
网格聚类算法强调的是分批统一处理以提高效率,具体的做法是将特征空间划分为若干个网格,网格内的所有样本看成一个单元进行处理,网格聚类算法要与划分聚类或密度聚类算法结合使用,网格聚类算法处理的单元只与网格数量有关,与样本数量无关,因此在数据量大时,网格聚类算法可以极大地提高效率
层次(Hierarchical)聚类算法强调的是聚类执行的过程,分为自底向上的凝聚方法和自顶向下的分裂方法两种。
凝聚方法是先将每一个样本点当成一个簇,然后根据距离和密度等度量准则进行逐步合并。
分裂方法是先将所有样本点放在一个簇内,然后再逐步分解。
前者的典型算法有AGNES算法,后者的典型算法有二分k-means算法。
1:二分 k-means算法
二分k-means算法先将所有点看成一个簇,然后将该簇一分为二,之后选择其中一个簇继续分裂。选择哪一个簇进行分裂,取决于对其进行的分裂是否可以最大程度降低SSE值。如此分裂下去,直到达到指定的簇数目k为止
效果展示如下
部分代码如下 下面是分裂主循环代码
while len(SSE) < n_clusters: max_changed_SSE = 0 tag = -1 for i in range(len(SSE)): # 对每个簇进行试分簇,计算SSE的减少量 estimator = KMeans(init='k-means++', n_clusters=2, n_init=n_init).fit(samples[i]) # 二分簇 changed_SSE = SSE[i] - estimator.inertia_ print(estimator.inertia_, ' - ', changed_SSE) if changed_SSE > max_changed_SSE: # 比较SSE值是不是减少了 max_changed_SSE = changed_SSE tag = i # 正式分簇 estimator = KMeans(init='k-means++', n_clusters=2, n_init=n_init).fit(samples[tag]) indexs0 = np.where(estimator.labels_ == 0) # 标签为0的样本在数组中的下标 cluster0 = samples[tag][indexs0] # 从簇中分出标签为0的新簇 indexs1 = np.where(estimator.labels_ == 1) cluster1 = samples[tag][indexs1] # 从簇中分出标签为1的新簇 del samples[tag] samples.append(cluster0) samples.append(cluster1) del SSE[tag] estimator = KMeans(init='k-means++', n_clusters=1, n_init=n_init).fit(cluster0) SSE.append(estimator.inertia_) # 新簇的SSE值 estimator = KMeans(init='k-means++', n_clusters=1, n_init=n_init).fit(cluster1) SSE.append(estimator.inertia_)
2:AGNES算法
AGNES(AGglomerative NESting)算法先将每个样本点看成一个簇,然后根据簇与簇之间的距离度量将最近的两个簇合并,一直重复合并到指定的簇数目k为止。
代码参数如下所示
class sklearn.cluster.AgglomerativeClustering(n_clusters=2, affinity=’euclidean’, memory=None, connectivity=None, compute_full_tree=’auto’, linkage=’ward’, pooling_func=’deprecated’, distance_threshold=None)
n_clusters是指定的分簇数
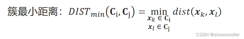
linkage是簇距离度量方法,支持ward、complete、average和single四种方法。complete、average和single分别对应簇最大距离、簇平均距离和簇最小距离。
Ward方法与其它方法不一样,它不是按距离合并簇,而是合并使得偏差(样本点与簇中心的差值)平方和增加最小的两个簇。它先要对所有簇进行两两试合并,并计算偏差平方和的增加值,然后取增加最小的两个簇进行合并。
效果展示如下
部分代码如下
# Set up cluster parameters plt.figure(figsize=(9 * 1.3 + 2, 14.5)) plt.subplots_adjust(left=.02, right=.98, bottom=.001, top=.96, wspace=.05, hspace=.01) plot_num = 1 default_base = {'n_neighbors': 10, 'n_clusters': 3} datasets = [ (noisy_circles, {'n_clusters': 2}), (noisy_moons, {'n_clusters': 2}), (varied, {'n_neighbors': 2}), (aniso, {'n_neighbors': 2}), (blobs, {}), (no_structure, {})] for i_dataset, (dataset, algo_params) in enumerate(datasets): # update parameters with dataset-specific values params = default_base.copy() params.update(algo_params) X, y = dataset # normalize dataset for easier parameter selection X = StandardScaler().fit_transform(X) # ============ # Create cluster objects # ============ ward = cluster.AgglomerativeClustering( n_clusters=params['n_clusters'], linkage='ward') complete = cluster.AgglomerativeClustering( n_clusters=params['n_clusters'], linkage='complete') average = cluster.AgglomerativeClustering( n_clusters=params['n_clusters'], linkage='average') single = cluster.AgglomerativeClustering( n_clusters=params['n_clusters'], linkage='single') clustering_algorithms = ( ('Single Linkage', single), ('Average Linkage', average), ('Complete Linkage', complete), ('Ward Linkage', ward), ) for name, algorithm in clustering_algorithms: t0 = time.time() # catch warnings related to kneighbors_graph with warnings.catch_warnings(): warnings.filterwarnings( "ignore", message="the number of connected components of the " + "connectivity matrix is [0-9]{1,2}" + " > 1. Completing it to avoid stopping the tree early.", category=UserWarning) algorithm.fit(X) t1 = time.time() if hasattr(algorithm, 'labels_'): y_pred = algorithm.labels_.astype(int) else: y_pred = algorithm.predict(X) plt.subplot(len(datasets), len(clustering_algorithms), plot_num) if i_dataset == 0: plt.title(name, size=18) colors = np.array(list(islice(cycle(['#377eb8', '#ff7f00', '#4daf4a', '#f781bf', '#a65628', '#984ea3', '#999999', '#e41a1c', '#dede00']), int(max(y_pred) + 1)))) plt.scatter(X[:, 0], X[:, 1], s=10, color=colors[y_pred]) plt.xlim(-2.5, 2.5) plt.ylim(-2.5, 2.5) plt.xticks(()) plt.yticks(()) plt.text(.99, .01, ('%.2fs' % (t1 - t0)).lstrip('0'), transform=plt.gca().transAxes, size=15, horizontalalignment='right') plot_num += 1 plt.show()
创作不易 觉得有帮助请点赞关注收藏~~~





