事实上,在成百上千的各式各样的攻击方法中,取算术平均恐怕是最广为人知使用也最为广泛的方法,因为可能一个小学生都知道使用算术平均来计算自己每天平均花了多少零花钱而以此作为向爸妈讨要零花钱的依据。而我们大多数成年人也经常把“平均说来”挂在嘴边。故此节要讲的最小二乘法其实并不高深,它的本质思想即是来源于此算术平均的方法。
不太精确的说,一部数理统计学的历史,就是从纵横两个方向对算术平均进行不断深入研究的历史
- 纵的方面指平均值本身,诸如伯努利及其后众多的大数定律,棣莫弗-拉普拉斯中心极限定理,高斯的正太误差理论,这些在很大程度上都可以视为对算术平均的研究成果,甚至到方差,标准差等概念也是由平均值发展而来;
- 横的方面中最为典型的就是此最小二乘法。
而算术平均也是解释最小二乘法的最简单的例子。使误差平方和达到最小以寻求估计值的方法,则称为最小二乘估计(当然,取平方和作为目标函数知识众多可取的方法之一,例如也可以取误差4次方或绝对值和,取平方和是人类千百年实践中被证实行之有效的方法,因此被普遍采用)。
何谓最小二乘法?实践中,常需寻找两变量之间的函数关系,比如测定一个刀具的磨损速度,也就是说,随着使用刀具的次数越多,刀具本身的厚度会逐渐减少,故刀具厚度与使用时间将成线性关系,假设符合f(t)=at + b(t代表时间,f(t)代表刀具本身厚度),a,b是待确定的常数,那么a、b如何确定呢?
最理想的情形就是选取这样的a、b,能使直线y = at + b 所得到的值与实际中测量到的刀具厚度完全符合,但实际上这是不可能的,因为误差总是存在难以避免的。故因误差的存在,使得理论值与真实值存在偏差,为使偏差最小通过偏差的平方和最小确定系数a、b,从而确定两变量之间的函数关系f(t)= at + b。
这种通过偏差的平方和为最小的条件来确定常数a、b的方法,即为最小二乘法。最小二乘法的一般形式可表述为:
在此,说点后话,最小二乘法是与统计学有着密切联系的,因为观测值有随机误差,所以它同正态分布一样与误差论有着密切联系(说实话,最小二乘法试图解决的是误差最小的问题,而正态分布则是试图寻找误差分布规律的问题,无论是最小二乘法,还是正态分布的研究工作,至始至终都围绕着误差进行)。
那么,最小二乘法是如何发明的呢?据史料记载,最小二乘法最初是由法国数学家勒让德于1805年发明的。那勒让德发明它的动机来源于哪呢?
18世纪中叶,包括勒让德、欧拉、拉普拉斯、高斯在内的许多天文学家和数学家都对天文学上诸多问题的研究产生了浓厚的兴趣。比如以下问题:
- 土星和木星是太阳系中的大行星,由于相互吸引对各自的运动轨道产生了影响,许多大数学家,包括欧拉和拉普拉斯都在基于长期积累的天文观测数据计算土星和木星的运行轨道。
- 勒让德承担了一个政府给的重要任务,测量通过巴黎的子午线的长度。
- 海上航行经纬度的定位。主要是通过对恒星和月面上的一些定点的观测来确定经纬度。
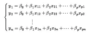
这些问题都可以用如下数学模型描述:我们想估计的量是β0,⋯,βp,另有若干个可以测量的量x1,⋯,xp,y,这些量之间有线性关系
如何通过多组观测数据求解出参数β0,⋯,βp呢?欧拉和拉普拉斯采用的都是求解线性方程组的方法。
但是面临的一个问题是,有n组观测数据,p+1个变量,如果n>p+1,则得到的线性矛盾方程组,无法直接求解。所以欧拉和拉普拉斯采用的方法都是通过一定的对数据的观察,把n个线性方程分为p+1组,然后把每个组内的方程线性求和后归并为一个方程,从而就把n个方程的方程组化为p+1个方程的方程组,进一步解方程求解参数。这些方法初看有一些道理,但是都过于经验化,无法形成统一处理这一类问题的一个通用解决框架。
以上求解线性矛盾方程的问题在现在的本科生看来都不困难,就是统计学中的线性回归问题,直接用最小二乘法就解决了,可是即便如欧拉、拉普拉斯这些数学大牛,当时也未能对这些问题提出有效的解决方案。可见在科学研究中,要想在观念上有所突破并不容易。有效的最小二乘法是勒让德在1805年发表的,基本思想就是认为测量中有误差,所以所有方程的累积误差为:
我们求解出导致累积误差最小的参数即可。
上面我们已经看到,是勒让德最初发明的最小二乘法,那为何历史上人们常常把最小二乘法的发明与高斯的名字联系起来呢?(注:勒让德时期的最小二乘法还只是作为一个处理测量数据的代数方法来讨论的,实际上与统计学并无多大关联,只有建立在了测量误差分布的概率理论之后,这个方法才足以成为一个统计学方法。尽管拉普拉斯用他的中心极限定理定理也可以推导出最小二乘法,但无论是之前的棣莫弗,还是当时的勒让德,还是拉普拉斯,此时他们这些研究成果都还只是一个数学表达式而非概率分布)。
因为1829年,高斯提供了最小二乘法的优化效果强于其他方法的证明,即为高斯-马尔可夫定理。也就是说勒让德最初提出了最小二乘法,而却是高斯让最小二乘法得以巩固而影响至今。且高斯对最小二乘法的最大贡献在于他是建立在正太误差分布的理论基础之上的(后续更是导出了误差服从正态分布的结论),最后,1837年,统计学家们正式确立误差服从正态分布,自此,人们方才真正确信:观测值与理论值的误差服从正态分布。




