1 SVM的损失函数
在SVM中,我们主要讨论三种损失函数:
- 绿色:0/1损失
- 当正例的点落在y=0这个超平面的下边,说明是分类正确,无论距离超平面所远多近,误差都是0.
- 当这个正例的样本点落在y=0的上方的时候,说明分类错误,无论距离多远多近,误差都为1.
- 图像就是上图绿色线。
- 蓝色:SVM Hinge损失函数
- 当一个正例的点落在y=1的直线上,距离超平面长度1,那么1-ξ=1,ξ=0,也就是说误差为0;
- 当它落在距离超平面0.5的地方,1-ξ=0.5,ξ=0.5,也就是说误差为0.5;
- 当它落在y=0上的时候,距离为0,1-ξ=0,ξ=1,误差为1;
- 当这个点落在了y=0的上方,被误分到了负例中,距离算出来应该是负的,比如-0.5,那么1-ξ=-0.5,ξ=1.5.误差为1.5.
- 以此类推,画在二维坐标上就是上图中蓝色那根线了。
- 红色:Logistic损失函数
- 损失函数的公式为:ln(1+e^{-y_i})l**n(1+e−y**i)
- 当yi=0时,损失等于ln2,这样真丑,所以我们给这个损失函数除以ln2.
- 这样到yi=0时,损失为1,即损失函数过(0,1)点
- 即上图中的红色线。
拓展学习:PPT讲义
2 SVM的核方法
2.1 什么是核函数
【SVM + 核函数】 具有极大威力。
核函数并不是SVM特有的,核函数可以和其他算法也进行结合,只是核函数与SVM结合的优势非常大。
2.1.1 核函数概念
核函数,是将原始输入空间映射到新的特征空间,从而,使得原本线性不可分的样本可能在核空间可分。
下图所示的两类数据,分别分布为两个圆圈的形状,这样的数据本身就是线性不可分的,此时该如何把这两类数据分开呢?
[外链图片转存失败,源站可能有防盗链机制,建议将图片保存下来直接上传(img-mur7dXzJ-1665845616870)(images/1111.gif)]
假设X是输入空间,
H是特征空间,
存在一个映射ϕ使得X中的点x能够计算得到H空间中的点h,
- 对于所有的X中的点都成立:
若x,z是X空间中的点,函数k(x,z)满足下述条件,那么都成立,则称k为核函数,而ϕ为映射函数:
2.1.2 核函数举例
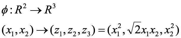
2.1.2.1 核方法举例1
经过上面公式,具体变换过过程为:
[外链图片转存失败,源站可能有防盗链机制,建议将图片保存下来直接上传(img-vR0CWJuy-1665845616873)(assets/image-20210811152410276.png)]
2.1.2.2 核方法举例2
- 下面这张图位于第一、二象限内。我们关注红色的门,以及“北京四合院”这几个字和下面的紫色的字母。
- 我们把红色的门上的点看成是“+”数据,字母上的点看成是“-”数据,它们的横、纵坐标是两个特征。
- 显然,在这个二维空间内,“+”“-”两类数据不是线性可分的。
(前后轴为x轴,左右轴为y轴,上下轴为z轴)
- 绿色的平面可以完美地分割红色和紫色,两类数据在三维空间中变成线性可分的了。
- 三维中的这个判决边界,再映射回二维空间中:是一条双曲线,它不是线性的。
- 核函数的作用就是一个从低维空间到高维空间的映射,而这个映射可以把低维空间中线性不可分的两类点变成线性可分的。
2.2 常见核函数
1.多项核中,d=1时,退化为线性核;
2.高斯核亦称为RBF核。
线性核和多项式核:
这两种核的作用也是首先在属性空间中找到一些点,把这些点当做base,核函数的作用就是找与该点距离和角度满足某种关系的样本点。
当样本点与该点的夹角近乎垂直时,两个样本的欧式长度必须非常长才能保证满足线性核函数大于0;而当样本点与base点的方向相同时,长度就不必很长;而当方向相反时,核函数值就是负的,被判为反类。即,它在空间上划分出一个梭形,按照梭形来进行正反类划分。
RBF核:
高斯核函数就是在属性空间中找到一些点,这些点可以是也可以不是样本点,把这些点当做base,以这些base为圆心向外扩展,扩展半径即为带宽,即可划分数据。
换句话说,在属性空间中找到一些超圆,用这些超圆来判定正反类。
Sigmoid核:
同样地是定义一些base,
核函数就是将线性核函数经过一个tanh函数进行处理,把值域限制在了-1到1上。
总之,都是在定义距离,大于该距离,判为正,小于该距离,判为负。至于选择哪一种核函数,要根据具体的样本分布情况来确定。
一般有如下指导规则:
1) 如果Feature的数量很大,甚至和样本数量差不多时,往往线性可分,这时选用LR或者线性核Linear;
2) 如果Feature的数量很小,样本数量正常,不算多也不算少,这时选用RBF核;
3) 如果Feature的数量很小,而样本的数量很大,这时手动添加一些Feature,使得线性可分,然后选用LR或者线性核Linear;
4) 多项式核一般很少使用,效率不高,结果也不优于RBF;
5) Linear核参数少,速度快;RBF核参数多,分类结果非常依赖于参数,需要交叉验证或网格搜索最佳参数,比较耗时;
6)应用最广的应该就是RBF核,无论是小样本还是大样本,高维还是低维等情况,RBF核函数均适用。
2.3 小结
- SVM的核方法
- 将原始输入空间映射到新的特征空间,从而,使得原本线性不可分的样本可能在核空间可分。
- 常见核函数
- 线性核
- 多项式核
- RBF核
- Sigmoid核
3 SVM回归
SVM回归是让尽可能多的实例位于预测线上,同时限制间隔违例(也就是不在预测线距上的实例)。
线距的宽度由超参数ε控制。












