1.什么是单链表
单链表也是一种存储数据的结构之一,他和我们上一节讲到的顺序表有很大的去区别,上一节讲到的顺序表是由一个结构体做的框架,结构体里面有malloc开出的空间来存储数据,而今天的单链表是由数个结点构成的,每一个结点又都是一个小的结构体,因为每一个结构体里不仅有存储数据的空间,还有一个指针来存储下一个结点的地址,用来指向下一个结点。这样我们就可以发现单链表是由数个结点串起来。基于这样的结构,单链表是在内存空间里面是不连续的,但是在逻辑上是连续的。这也是单链表和顺序表最大的区别。后面我们将基于这样的结构特点,实现单链表的各种功能。
2.单链表的结构
单链表又一个个结点构成,结点又是一个结构体。结构体里面有两个结构体成员,第一个是一个存储数据的变量(data),第二个是一个指向下一个结构的结构体类型的指针(next),但是单链表的最后一个结点的next指向NULL,代表链表结束。代码示例:
typedef struct SlistNode { SListdataType data; struct SlistNode* next; }SlistNode;
这里使用typedef 是struct SlistNode 重命名为 SlistNode。
3.开辟一个新的结点
当我们有一个数据需要一个结点存储的时候,就需要开辟一个结点,结点也就是一个结构体,我们可以使用malloc开辟一个struct SlistNode结构体大小的空间作为一个结点,并将数据存入结点的data里面,因为新开辟的结点自然而然也就是单链表的最后一个结点,所以新开辟的结点的next需要指向空。代码实例:
SlistNode* BuySListNode(SListdataType x)//开辟结点;x 代表存储的数据; { //增加结点的时候,结点是一个结构体,里面有一个结构体类型的指针,和一个数据存储变量, //所以申请空间的时候要申请一个节点的大小; SlistNode* newNode = (SlistNode*)malloc(sizeof(SlistNode)); if (newNode == NULL)//判断是否开辟成功; { printf("开辟失败!"); exit(-1); } newNode->data = x;//结点开辟成功后,将待存数据 x,存入data; newNode->next = NULL;//新增加的结点也是最后一个结点,需要将节点里面的结构体指针置空; return newNode; }
这里如果开辟失败,后面也就没有必要对结构体操作的必要,直接exit(-1)暴力终止,最后我们返回新开辟节点的地址,因为需要将新开辟的节点的接到上一个结点的后面。
4.在链表的尾部插入一个节点数据
在链表的尾部插入一个节点数据,可以分为两步:(1)生成一个结点,并且将数据存入节点的data里面,将节点的next置空,因为新生成的结点也就是最后一个结点(2)将前一个结点里面的结构体指针指向新生成的结点的地址。这样就保持了我们单链表的逻辑上的连续性。
图片示例:
代码示例:
void SListpushback(SlistNode** pphead, SListdataType x)//尾插结点数据; { SlistNode* newNode = BuySListNode(x); if (*pphead == NULL)//如果,*pphead为空,就意味着链表第一个结点就是空;直接增加一个结点 { *pphead = BuySListNode(x);//将新增的节点的地址赋值给*pphead; } else//如果第一个结点不是空 { SlistNode* tail = *pphead; while (tail->next != NULL)//找到最后一个结点; { tail = tail->next; } tail->next = newNode;//找到最后一个结点之后,将最后一个结点里面的结构体指针,赋值为新增加的节点的地址; } }
int main() { SlistNode* plist = NULL; SListpushback(&plist, 100); SListpushback(&plist, 200); SListpushback(&plist, 300); SListpushback(&plist, 400); SListpushback(&plist, 500); SListpushback(&plist, 600); SListpushback(&plist, 700); return 0; }
这里调用的时候使穿过的时plist的地址,plist是一个结构体的指针,如果我们只是传的时plist,也就是简单的传值,虽然pliat本身是个地址,但是传递过去的是plist,plist最为一个值传递过去了,传值的调用是无法对链表发生变化的,所以这里是使用了&plist,作为函数的形参,就要用二级指针,来接收实参。也是为数不多的使用到二级指针的地方。
调用BuySListNode(x)函数返回的是新生成的节点的地址。如果,*pphead为空,就意味着链表第一个结点就是空;直接增加一个结点,将新增的节点的地址赋值给*pphead;
单链表打印函数:单链表的遍历,只要循环的打印data的值,并且将结点往后移一下,看代码示例:
void SlistPrintf(SlistNode* phead)//打印函数 { SlistNode* cur = phead;//为了不在原链表上操作;我们重新用一个链表的头来操作; while (cur != NULL)//当cur==NULL时,链表结束。 { printf("%d ", cur->data); cur = cur->next;//结点往后移; } }
我们借助,打印函数,来看一下代码的效果,
5.删除链表尾部的结点
删除链表尾部的一个结点,其实很简单,我们只要找到最后一个结点,并且把它用free(),释放掉,再把倒数第二个结点的next置空。因为最后一个结点没有了以后,倒数第一个结点就是最后一个结点了。 但是有一个点需要注意,就是当我们找到最后一个结点的时候,就回不到倒数第二个结点里面的next,也就没办法给他置空了,所以为了能够在找到倒数第一个结点的时候还能找到倒数第二个,我们可以定义一前一后两个指针,后面的指针指到倒数第一个结点的时候,前面的指针就可以指向倒数第二个指针了。
图片示例:
代码示例:
void SListpophback(SlistNode** pphead)//尾删结点; { if (*pphead == NULL)//说明一个结点都没有,无需操作; { return; } else if ((*pphead)->next == NULL)//就一个结点,直接把结点的空间地址置空; { free(*pphead); *pphead = NULL; } else//有多个结点; { SlistNode* prev = NULL; SlistNode* tail = *pphead; while (tail->next != NULL)//先找到最后一个结点; { prev = tail; tail = tail->next; } free(tail); prev->next = NULL;//将最后一个结点的地址置空; } }
如果链表中就一个结点,就不必考虑这么多了,直接 将这个结点free就可以了;
调用:
int main() { SlistNode* plist = NULL; SListpushback(&plist, 100); SListpushback(&plist, 200); SListpushback(&plist, 300); SListpushback(&plist, 400); SListpushback(&plist, 500); SListpushback(&plist, 600); SListpushback(&plist, 700); printf("尾删前:"); SlistPrintf(plist); printf("\n"); printf("尾删后:"); SListpophback(&plist); SlistPrintf(plist); return 0; }
执行效果:
6.查找一个结点,以及改动一个结点
我们查找一个数据X,所在的结点,找到之后就直接返回结点的地址,如果没有就返回NULL;查询的方式很简单,接直接遍历链表,遍历的同时进行判断。
代码示例:
SlistNode* FindList(SlistNode* phead, SListdataType x)//查找一个结点; { SlistNode* cur = phead; while (cur != NULL) { if ((cur->data) == x)//如果相等,就找到了,返回cur; { return cur; } else { cur = cur->next;//不相等就往后走,判断下一个; } } return NULL;//走到这里,链表都遍历完了,就是没找到,返回NULL; }
这里代码方便演示,我们找到那个数据的结点地址,并且把它改动一下,调用的主函数:
int main() { SlistNode* plist = NULL; SListpushback(&plist, 100); SListpushback(&plist, 200); SListpushback(&plist, 300); SListpushback(&plist, 400); SListpushback(&plist, 500); SListpushback(&plist, 600); SListpushback(&plist, 700); printf("改动前:"); SlistPrintf(plist); printf("\n"); SlistNode* pos= FindList(plist, 300);//获得数据所在结点的地址; if (pos != NULL)//找到数据的结点并且改动数据内容; { pos->data = 3000; } printf("改动后:"); SlistPrintf(plist); return 0; }
代码执行效果:
7. 在pos之后增加一个结点
在pos位之后,增加一个结点,首先我们结合查询函数,获得你想插入链表中的一个中间位置的地址,这个位置地址就是pos,我们申请一个新的结点(newNode),先将pos后一个结点的地址(pos->next)给新结点的next,再将新结点的地址给pos->next。这样新增加的结点就和我们的链表连接起来了。这里的先后顺序是不能变的,因为如果pos->next=newNode;后面也就找不到pos后面的一个结点。
void SlistInserAfter(SlistNode** pos, SListdataType x)//在pos之后增加一个结点; { assert(*pos); SlistNode* newnode = BuySListNode(x); newnode->next = (*pos)->next; (* pos)->next = newnode; }
函数调用:
int main() { SlistNode* plist = NULL; SListpushback(&plist, 100); SListpushback(&plist, 200); SListpushback(&plist, 300); SListpushback(&plist, 400); SListpushback(&plist, 500); SListpushback(&plist, 600); SListpushback(&plist, 700); printf("插入前:"); SlistPrintf(plist); printf("\n"); SlistNode* pos= FindList(plist, 300); SlistInserAfter(&pos, 350); printf("插入后:"); SlistPrintf(plist); return 0; }
我们利用查询函数查询了300的结点位置地址,300的后面增加一个存入350的结点;
代码执行效果:
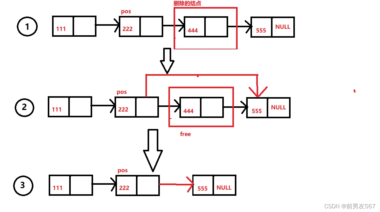
8.删除pos后面的一个结点
首先先保存一下,被删除结点的地址,在将pos的next指向被删除后面的结点的地址,最后释放掉被删除结点的空间,并将指针置空。
代码示例
void SlistEraseAfter(SlistNode** pos)//删除pos之后的一个结点; { assert(*pos); SlistNode*Next=(*pos)->next; (*pos)->next = Next->next; free(Next); Next = NULL; }
函数调用代码:
int main() { SlistNode* plist = NULL; SListpushback(&plist, 100); SListpushback(&plist, 200); SListpushback(&plist, 300); SListpushback(&plist, 400); SListpushback(&plist, 500); SListpushback(&plist, 600); SListpushback(&plist, 700); printf("插入前:"); SlistPrintf(plist); printf("\n"); SlistNode* pos= FindList(plist, 300); SlistInserAfter(&pos, 350); printf("插入后:"); SlistPrintf(plist); SlistEraseAfter(&pos); printf("\n"); printf("删除后:"); SlistPrintf(plist); return 0; }
代码执行效果:
9.单链表的优缺点
单链表的优点:
1.链表是一个动态数据结构,因此它可以在运行时通过分配和取消分配内存来增长和收缩。 因此,无需给出链表的初始大小。
2.节点的插入和删除确实非常容易。 与数组不同,在插入或删除元素后,我们不必移动元素。 在链表中,我们只需要更新节点的下一个指针中存在的地址即可。
3.由于链表的大小可以在运行时增加或减小,因此不会浪费内存。 在数组的情况下,会浪费大量内存,例如,如果我们声明一个大小为10的数组并在其中仅存储6个元素,那么就会浪费4个元素的空间。 链表中没有这种问题,因为仅在需要时才分配内存。
单链表的缺点:
1.与数组相比,在链表中存储元素需要更多的内存。 因为在链表中,每个节点都包含一个指针,并且它本身需要额外的内存。
2.在链表中很难遍历元素或节点。 我们不能像按下标在数组中那样随机访问任何元素。 例如,如果我们要访问位置n处的节点,则必须遍历它之前的所有节点。 因此,访问节点所需的时间很大。
3.在链表中,反向遍历确实很困难。 在情况下,它双链表比较容易,但是向后指针需要额外的内存,因此浪费了内存。









