二叉树专题(6)
109. 有序链表转换二叉搜索树 Convert-sorted-list-to-binary-search-tree
给定一个单链表的头节点 head ,其中的元素 按升序排序 ,将其转换为高度平衡的二叉搜索树。
本题中,一个高度平衡二叉树是指一个二叉树每个节点 的左右两个子树的高度差不超过 1。
示例 1:
输入: head = [-10,-3,0,5,9]
输出: [0,-3,9,-10,null,5]
解释: 一个可能的答案是[0,-3,9,-10,null,5],它表示所示的高度平衡的二叉搜索树。
示例 2:
输入: head = []
输出: []
提示:
head 中的节点数在[0, 2 * 10^4] 范围内
-10^5 <= Node.val <= 10^5
代码:
package main import ( "fmt" "strconv" ) const null = -1 << 31 type ListNode struct { Val int Next *ListNode } type TreeNode struct { Val int Left *TreeNode Right *TreeNode } func sortedListToBST(head *ListNode) *TreeNode { var nodes []ListNode for head != nil { nodes = append(nodes, *head) head = head.Next } return builder(nodes, 0, len(nodes)-1) } func builder(nodes []ListNode, left, right int) *TreeNode { if left > right { return nil } mid := (left + right + 1) / 2 root := &TreeNode{nodes[mid].Val, nil, nil} root.Left = builder(nodes, left, mid-1) root.Right = builder(nodes, mid+1, right) return root } func ArrayToList(list []int) *ListNode { head := &ListNode{Val: 0} for i := len(list) - 1; i >= 0; i-- { p := &ListNode{Val: list[i]} p.Next = head.Next head.Next = p } return head.Next } func levelOrder(root *TreeNode) string { if root == nil { return "[]" } arr := []int{} que := []*TreeNode{root} for len(que) > 0 { levelSize := len(que) for i := 0; i < levelSize; i++ { node := que[0] que = que[1:] if node == nil { arr = append(arr, null) continue } arr = append(arr, node.Val) que = append(que, node.Left, node.Right) } } size := len(arr) for size > 0 && arr[size-1] == null { arr = arr[:size-1] size = len(arr) } result := "[" for i, n := range arr { if n == null { result += "null" } else { result += strconv.FormatInt(int64(n), 10) } if i < size-1 { result += "," } else { result += "]" } } return result } func main() { nums := []int{-10, -3, 0, 5, 9} head := ArrayToList(nums) root := sortedListToBST(head) fmt.Println(levelOrder(root)) nums2 := []int{} head = ArrayToList(nums2) root = sortedListToBST(head) fmt.Println(levelOrder(root)) }
输出:
[0,-3,9,-10,null,5]
[]
110. 平衡二叉树 Balanced Binary Tree
给定一个二叉树,判断它是否是高度平衡的二叉树。
本题中,一棵高度平衡二叉树定义为:
一个二叉树每个节点 的左右两个子树的高度差的绝对值不超过 1 。
示例 1:
输入:root = [3,9,20,null,null,15,7]
输出:true
示例 2:
输入:root = [1,2,2,3,3,null,null,4,4]
输出:false
示例 3:
输入:root = []
输出:true
提示:
树中的节点数在范围 [0, 5000] 内
-10^4 <= Node.val <= 10^4
代码:
package main import ( "fmt" ) const null = -1 << 31 type TreeNode struct { Val int Left *TreeNode Right *TreeNode } func isBalanced(root *TreeNode) bool { if root == nil { return true } leftHight := depth(root.Left) rightHight := depth(root.Right) return abs(leftHight-rightHight) <= 1 && isBalanced(root.Left) && isBalanced(root.Right) } func depth(root *TreeNode) int { if root == nil { return 0 } return max(depth(root.Left), depth(root.Right)) + 1 } func abs(x int) int { if x < 0 { return -x } return x } func max(x, y int) int { if x > y { return x } return y } func buildTree(nums []int) *TreeNode { if len(nums) == 0 { return nil } root := &TreeNode{Val: nums[0]} Queue := []*TreeNode{root} idx := 1 for idx < len(nums) { node := Queue[0] Queue = Queue[1:] if nums[idx] != null { node.Left = &TreeNode{Val: nums[idx]} Queue = append(Queue, node.Left) } idx++ if idx < len(nums) && nums[idx] != null { node.Right = &TreeNode{Val: nums[idx]} Queue = append(Queue, node.Right) } idx++ } return root } func main() { nums := []int{3, 9, 20, null, null, 15, 7} root := buildTree(nums) fmt.Println(isBalanced(root)) nums2 := []int{1, 2, 2, 3, 3, null, null, 4, 4} root = buildTree(nums2) fmt.Println(isBalanced(root)) nums3 := []int{} root = buildTree(nums3) fmt.Println(isBalanced(root)) }
输出:
true
false
true
111. 二叉树的最小深度 Minimum Depth of Binary Tree
给定一个二叉树,找出其最小深度。
最小深度是从根节点到最近叶子节点的最短路径上的节点数量。
说明:叶子节点是指没有子节点的节点。
示例 1:
输入:root = [3,9,20,null,null,15,7]
输出:2
示例 2:
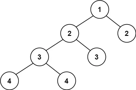
输入:root = [2,null,3,null,4,null,5,null,6]
输出:5
提示:
树中节点数的范围在 [0, 10^5] 内
-1000 <= Node.val <= 1000
代码:
package main import ( "fmt" ) const null = -1 << 31 type TreeNode struct { Val int Left *TreeNode Right *TreeNode } func minDepth(root *TreeNode) int { if root == nil { return 0 } if root.Left == nil { return minDepth(root.Right) + 1 } if root.Right == nil { return minDepth(root.Left) + 1 } return min(minDepth(root.Left), minDepth(root.Right)) + 1 } func min(x, y int) int { if x < y { return x } return y } func buildTree(nums []int) *TreeNode { if len(nums) == 0 { return nil } root := &TreeNode{Val: nums[0]} Queue := []*TreeNode{root} idx := 1 for idx < len(nums) { node := Queue[0] Queue = Queue[1:] if nums[idx] != null { node.Left = &TreeNode{Val: nums[idx]} Queue = append(Queue, node.Left) } idx++ if idx < len(nums) && nums[idx] != null { node.Right = &TreeNode{Val: nums[idx]} Queue = append(Queue, node.Right) } idx++ } return root } func main() { nums := []int{3, 9, 20, null, null, 15, 7} root := buildTree(nums) fmt.Println(minDepth(root)) nums2 := []int{2, null, 3, null, 4, null, 5, null, 6} root = buildTree(nums2) fmt.Println(minDepth(root)) }
输出:
2
5



