二叉树专题(2)第97题除外
97. 交错字符串 Interleaving String
给定三个字符串 s1、s2、s3,请你帮忙验证 s3 是否是由 s1 和 s2 交错 组成的。
两个字符串 s 和 t 交错 的定义与过程如下,其中每个字符串都会被分割成若干 非空 子字符串:
输入:s1 = "aabcc", s2 = "dbbca", s3 = "aadbbcbcac"
输出:true
示例 2:
输入:s1 = "aabcc", s2 = "dbbca", s3 = "aadbbbaccc"
输出:false
示例 3:
输入:s1 = "", s2 = "", s3 = ""
输出:true
提示:
0 <= s1.length, s2.length <= 100
0 <= s3.length <= 200
s1、s2、和 s3 都由小写英文字母组成
进阶:您能否仅使用 O(s2.length) 额外的内存空间来解决它?
代码1:动态规划
package main import ( "fmt" ) func isInterleave(s1 string, s2 string, s3 string) bool { if len(s1)+len(s2) != len(s3) { return false } dp := make([][]bool, len(s1)+1) for i := range dp { dp[i] = make([]bool, len(s2)+1) } dp[0][0] = true for i := 1; i <= len(s1); i++ { dp[i][0] = dp[i-1][0] && s1[i-1] == s3[i-1] } for j := 1; j <= len(s2); j++ { dp[0][j] = dp[0][j-1] && s2[j-1] == s3[j-1] } for i := 1; i <= len(s1); i++ { for j := 1; j <= len(s2); j++ { if s1[i-1] == s3[i+j-1] { dp[i][j] = dp[i][j] || dp[i-1][j] } if s2[j-1] == s3[i+j-1] { dp[i][j] = dp[i][j] || dp[i][j-1] } } } return dp[len(s1)][len(s2)] } func main() { s1 := "aabcc" s2 := "dbbca" s3 := "aadbbcbcac" fmt.Println(isInterleave(s1, s2, s3)) s1 = "aabcc" s2 = "dbbca" s3 = "aadbbbaccc" fmt.Println(isInterleave(s1, s2, s3)) s1 = "" s2 = "" s3 = "" fmt.Println(isInterleave(s1, s2, s3)) }
输出:
true
false
true
代码2:广度优先搜索
package main import ( "fmt" ) func isInterleave(s1 string, s2 string, s3 string) bool { if len(s1)+len(s2) != len(s3) { return false } queue := [][]int{{0, 0}} visited := make([][]bool, len(s1)+1) for i := range visited { visited[i] = make([]bool, len(s2)+1) } for len(queue) > 0 { i, j := queue[0][0], queue[0][1] queue = queue[1:] if visited[i][j] { continue } visited[i][j] = true if i == len(s1) && j == len(s2) { return true } if i < len(s1) && s1[i] == s3[i+j] { queue = append(queue, []int{i + 1, j}) } if j < len(s2) && s2[j] == s3[i+j] { queue = append(queue, []int{i, j + 1}) } } return false } func main() { s1 := "aabcc" s2 := "dbbca" s3 := "aadbbcbcac" fmt.Println(isInterleave(s1, s2, s3)) s1 = "aabcc" s2 = "dbbca" s3 = "aadbbbaccc" fmt.Println(isInterleave(s1, s2, s3)) s1 = "" s2 = "" s3 = "" fmt.Println(isInterleave(s1, s2, s3)) }
98. 验证二叉搜索树 Validate Binary Search Tree
给你一个二叉树的根节点 root ,判断其是否是一个有效的二叉搜索树。
有效 二叉搜索树定义如下:
- 节点的左子树只包含 小于 当前节点的数。
- 节点的右子树只包含 大于 当前节点的数。
- 所有左子树和右子树自身必须也是二叉搜索树。
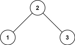
示例 1:
输入:root = [2,1,3]
输出:true
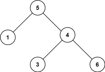
示例 2:
输入:root = [5,1,4,null,null,3,6]
输出:false
解释:根节点的值是 5 ,但是右子节点的值是 4 。
提示:
- 树中节点数目范围在[1, 10^4]内
- -2^31 <= Node.val <= 2^31 - 1
代码1:
package main import ( "fmt" ) const null = -1 << 31 type TreeNode struct { Val int Left *TreeNode Right *TreeNode } func isValidBST(root *TreeNode) bool { var pre *TreeNode return validate(root, &pre) } func validate(node *TreeNode, pre **TreeNode) bool { if node == nil { return true } if !validate(node.Left, pre) { return false } if *pre != nil && node.Val <= (*pre).Val { return false } *pre = node return validate(node.Right, pre) } func buildTree(nums []int) *TreeNode { if len(nums) == 0 { return nil } root := &TreeNode{Val: nums[0]} Queue := []*TreeNode{root} idx := 1 for idx < len(nums) { node := Queue[0] Queue = Queue[1:] if nums[idx] != null { node.Left = &TreeNode{Val: nums[idx]} Queue = append(Queue, node.Left) } idx++ if idx < len(nums) && nums[idx] != null { node.Right = &TreeNode{Val: nums[idx]} Queue = append(Queue, node.Right) } idx++ } return root } func (root *TreeNode) LevelOrder() []int { var res []int if root == nil { return res } Queue := []*TreeNode{root} for len(Queue) > 0 { cur := Queue[0] Queue = Queue[1:] res = append(res, cur.Val) if cur.Left != nil { Queue = append(Queue, cur.Left) } if cur.Right != nil { Queue = append(Queue, cur.Right) } } return res } func main() { nums := []int{2, 1, 3} root := buildTree(nums) fmt.Println(isValidBST(root)) nums = []int{5, 1, 4, null, null, 3, 6} root = buildTree(nums) fmt.Println(isValidBST(root)) nums = []int{3, 1, 5, null, null, 4, 6} root = buildTree(nums) fmt.Println(isValidBST(root)) }
输出:
true
false
true
代码2: 递归法
package main import ( "fmt" ) const null = -1 << 31 type TreeNode struct { Val int Left *TreeNode Right *TreeNode } func isValidBST(root *TreeNode) bool { return validate(root, nil, nil) } func validate(node *TreeNode, min *int, max *int) bool { if node == nil { return true } if (min != nil && node.Val <= *min) || (max != nil && node.Val >= *max) { return false } return validate(node.Left, min, &node.Val) && validate(node.Right, &node.Val, max) } func buildTree(nums []int) *TreeNode { if len(nums) == 0 { return nil } root := &TreeNode{Val: nums[0]} Queue := []*TreeNode{root} idx := 1 for idx < len(nums) { node := Queue[0] Queue = Queue[1:] if nums[idx] != null { node.Left = &TreeNode{Val: nums[idx]} Queue = append(Queue, node.Left) } idx++ if idx < len(nums) && nums[idx] != null { node.Right = &TreeNode{Val: nums[idx]} Queue = append(Queue, node.Right) } idx++ } return root } func main() { nums := []int{2, 1, 3} root := buildTree(nums) fmt.Println(isValidBST(root)) nums = []int{5, 1, 4, null, null, 3, 6} root = buildTree(nums) fmt.Println(isValidBST(root)) nums = []int{3, 1, 5, null, null, 4, 6} root = buildTree(nums) fmt.Println(isValidBST(root)) }
代码3: 中序遍历+判断
package main import ( "fmt" ) const null = -1 << 31 type TreeNode struct { Val int Left *TreeNode Right *TreeNode } func isValidBST(root *TreeNode) bool { var pre *TreeNode stack := []*TreeNode{} for root != nil || len(stack) > 0 { for root != nil { stack = append(stack, root) root = root.Left } node := stack[len(stack)-1] stack = stack[:len(stack)-1] if pre != nil && node.Val <= pre.Val { return false } pre = node root = node.Right } return true } func buildTree(nums []int) *TreeNode { if len(nums) == 0 { return nil } root := &TreeNode{Val: nums[0]} Queue := []*TreeNode{root} idx := 1 for idx < len(nums) { node := Queue[0] Queue = Queue[1:] if nums[idx] != null { node.Left = &TreeNode{Val: nums[idx]} Queue = append(Queue, node.Left) } idx++ if idx < len(nums) && nums[idx] != null { node.Right = &TreeNode{Val: nums[idx]} Queue = append(Queue, node.Right) } idx++ } return root } func main() { nums := []int{2, 1, 3} root := buildTree(nums) fmt.Println(isValidBST(root)) nums = []int{5, 1, 4, null, null, 3, 6} root = buildTree(nums) fmt.Println(isValidBST(root)) nums = []int{3, 1, 5, null, null, 4, 6} root = buildTree(nums) fmt.Println(isValidBST(root)) }
99. 恢复二叉搜索树 Recover Binary Search Tree
给你二叉搜索树的根节点 root ,该树中的 恰好 两个节点的值被错误地交换。请在不改变其结构的情况下,恢复这棵树 。
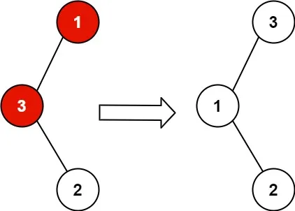
示例 1:
输入:root = [1,3,null,null,2]
输出:[3,1,null,null,2]
解释:3 不能是 1 的左孩子,因为 3 > 1 。交换 1 和 3 使二叉搜索树有效。
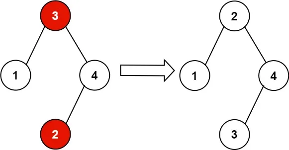
示例 2:
输入:root = [3,1,4,null,null,2]
输出:[2,1,4,null,null,3]
解释:2 不能在 3 的右子树中,因为 2 < 3 。交换 2 和 3 使二叉搜索树有效。
提示:
树上节点的数目在范围 [2, 1000] 内
-2^31 <= Node.val <= 2^31 - 1
进阶:使用 O(n) 空间复杂度的解法很容易实现。你能想出一个只使用 O(1) 空间的解决方案吗?
代码1:中序遍历+交换节点值
对于二叉搜索树,中序遍历得到的序列是递增的。因此,如果有两个节点的值被错误地交换了,那么在中序遍历序列中一定存在两个相邻的逆序对。具体做法是,在中序遍历的过程中,用一个变量pre记录上一个遍历到的节点,每次遍历到一个节点时,判断其值是否小于pre的值,如果小于,则说明存在逆序对,记录下这两个节点,并继续遍历。最后,交换这两个节点的值即可。
package main import ( "fmt" "strconv" ) const null = -1 << 31 type TreeNode struct { Val int Left *TreeNode Right *TreeNode } func recoverTree(root *TreeNode) { var pre, first, second *TreeNode var stack []*TreeNode for root != nil || len(stack) > 0 { for root != nil { stack = append(stack, root) root = root.Left } node := stack[len(stack)-1] stack = stack[:len(stack)-1] if pre != nil && node.Val < pre.Val { if first == nil { first = pre } second = node } pre = node root = node.Right } first.Val, second.Val = second.Val, first.Val } func buildTree(nums []int) *TreeNode { if len(nums) == 0 { return nil } root := &TreeNode{Val: nums[0]} Queue := []*TreeNode{root} idx := 1 for idx < len(nums) { node := Queue[0] Queue = Queue[1:] if nums[idx] != null { node.Left = &TreeNode{Val: nums[idx]} Queue = append(Queue, node.Left) } idx++ if idx < len(nums) && nums[idx] != null { node.Right = &TreeNode{Val: nums[idx]} Queue = append(Queue, node.Right) } idx++ } return root } func levelOrder(root *TreeNode) string { if root == nil { return "[]" } arr := []int{} que := []*TreeNode{root} for len(que) > 0 { levelSize := len(que) for i := 0; i < levelSize; i++ { node := que[0] que = que[1:] if node == nil { arr = append(arr, null) continue } arr = append(arr, node.Val) que = append(que, node.Left, node.Right) } } size := len(arr) for size > 0 && arr[size-1] == null { arr = arr[:size-1] size = len(arr) } result := "[" for i, n := range arr { if n == null { result += "null" } else { result += strconv.FormatInt(int64(n), 10) } if i < size-1 { result += "," } else { result += "]" } } return result } func main() { nums := []int{1, 3, null, null, 2} root := buildTree(nums) fmt.Println(levelOrder(root)) recoverTree(root) fmt.Println(levelOrder(root)) nums = []int{3, 1, 4, null, null, 2} root = buildTree(nums) fmt.Println(levelOrder(root)) recoverTree(root) fmt.Println(levelOrder(root)) }
输出:
[1,3,null,null,2]
[3,1,null,null,2]
[3,1,4,null,null,2]
[2,1,4,null,null,3]
代码2:Morris遍历
Morris遍历是一种不需要额外空间的遍历二叉树的方法,它的核心思想是利用叶子节点的空指针来存储遍历中的临时信息。对于二叉搜索树,Morris中序遍历的过程中,每个节点的左子树都已经被遍历完毕,因此可以在遍历到每个节点时,比较它的值和它的前驱节点的值,如果它的值小于前驱节点的值,那么就找到了一个逆序对。我们用两个指针first和second来记录这两个节点,最后交换它们的值即可。
package main import ( "fmt" "strconv" ) const null = -1 << 31 type TreeNode struct { Val int Left *TreeNode Right *TreeNode } func recoverTree(root *TreeNode) { var first, second, pre *TreeNode var temp *TreeNode for root != nil { if root.Left != nil { temp = root.Left for temp.Right != nil && temp.Right != root { temp = temp.Right } if temp.Right == nil { temp.Right = root root = root.Left } else { if pre != nil && root.Val < pre.Val { if first == nil { first = pre } second = root } pre = root temp.Right = nil root = root.Right } } else { if pre != nil && root.Val < pre.Val { if first == nil { first = pre } second = root } pre = root root = root.Right } } first.Val, second.Val = second.Val, first.Val } func buildTree(nums []int) *TreeNode { if len(nums) == 0 { return nil } root := &TreeNode{Val: nums[0]} Queue := []*TreeNode{root} idx := 1 for idx < len(nums) { node := Queue[0] Queue = Queue[1:] if nums[idx] != null { node.Left = &TreeNode{Val: nums[idx]} Queue = append(Queue, node.Left) } idx++ if idx < len(nums) && nums[idx] != null { node.Right = &TreeNode{Val: nums[idx]} Queue = append(Queue, node.Right) } idx++ } return root } func levelOrder(root *TreeNode) string { if root == nil { return "[]" } arr := []int{} que := []*TreeNode{root} for len(que) > 0 { levelSize := len(que) for i := 0; i < levelSize; i++ { node := que[0] que = que[1:] if node == nil { arr = append(arr, null) continue } arr = append(arr, node.Val) que = append(que, node.Left, node.Right) } } size := len(arr) for size > 0 && arr[size-1] == null { arr = arr[:size-1] size = len(arr) } result := "[" for i, n := range arr { if n == null { result += "null" } else { result += strconv.FormatInt(int64(n), 10) } if i < size-1 { result += "," } else { result += "]" } } return result } func main() { nums := []int{1, 3, null, null, 2} root := buildTree(nums) fmt.Println(levelOrder(root)) recoverTree(root) fmt.Println(levelOrder(root)) nums = []int{3, 1, 4, null, null, 2} root = buildTree(nums) fmt.Println(levelOrder(root)) recoverTree(root) fmt.Println(levelOrder(root)) }





 
                             
                 
                 
                 
                 
                 
                 
                 
                