1. 环形链表
给定一个链表,判断链表中是否有环。
如果链表中有某个节点,可以通过连续跟踪 next 指针再次到达,则链表中存在环。 为了表示给定链表中的环,我们使用整数 pos 来表示链表尾连接到链表中的位置(索引从 0 开始)。 如果 pos 是 -1,则在该链表中没有环。注意:pos 不作为参数进行传递,仅仅是为了标识链表的实际情况。
如果链表中存在环,则返回 true 。 否则,返回 false 。
进阶:
你能用 O(1)(即,常量)内存解决此问题吗?
示例 1:
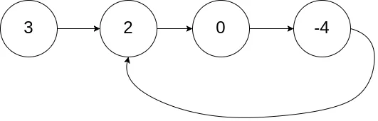
输入:head = [3,2,0,-4], pos = 1
输出:true
解释:链表中有一个环,其尾部连接到第二个节点。
示例 2:
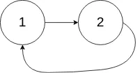
输入:head = [1,2], pos = 0
输出:true
解释:链表中有一个环,其尾部连接到第一个节点。
示例 3:
输入:head = [1], pos = -1
输出:false
解释:链表中没有环。
提示:
- 链表中节点的数目范围是
[0, 104] -105 <= Node.val <= 105pos为-1或者链表中的一个 有效索引 。
出处:
https://edu.csdn.net/practice/25315699
代码:
class ListNode: def __init__(self, x): self.val = x self.next = None class Solution: def hasCycle(self, head: ListNode) -> bool: if not (head and head.next): return False slow, fast = head, head.next while fast.next and fast.next.next: if slow == fast: return True slow = slow.next fast = fast.next.next return False def createCycleList(nums, pos): if not nums: return None head = ListNode(0) cur, tmp = head, None for i in range(len(nums)): node = ListNode(nums[i]) cur.next = node cur = node if i == pos: tmp = node cur.next = tmp return head.next # %% s = Solution() head = createCycleList([3,2,0,-4], 1) print(s.hasCycle(head)) head2 = createCycleList([1,2], 0) print(s.hasCycle(head2)) head3 = createCycleList([1], -1) print(s.hasCycle(head3))
输出:
True
True
False
2. 比较版本号
给你两个版本号 version1 和 version2 ,请你比较它们。
版本号由一个或多个修订号组成,各修订号由一个 '.' 连接。每个修订号由 多位数字 组成,可能包含 前导零 。每个版本号至少包含一个字符。修订号从左到右编号,下标从 0 开始,最左边的修订号下标为 0 ,下一个修订号下标为 1 ,以此类推。例如,2.5.33 和 0.1 都是有效的版本号。
比较版本号时,请按从左到右的顺序依次比较它们的修订号。比较修订号时,只需比较 忽略任何前导零后的整数值 。也就是说,修订号 1 和修订号 001 相等 。如果版本号没有指定某个下标处的修订号,则该修订号视为 0 。例如,版本 1.0 小于版本 1.1 ,因为它们下标为 0 的修订号相同,而下标为 1 的修订号分别为 0 和 1 ,0 < 1 。
返回规则如下:
如果 version1 > version2 返回 1,
如果 version1 < version2 返回 -1,
除此之外返回 0。
示例 1:
输入:version1 = "1.01", version2 = "1.001"
输出:0
解释:忽略前导零,"01" 和 "001" 都表示相同的整数 "1"
示例 2:
输入:version1 = "1.0", version2 = "1.0.0"
输出:0
解释:version1 没有指定下标为 2 的修订号,即视为 "0"
示例 3:
输入:version1 = "0.1", version2 = "1.1"
输出:-1
解释:version1 中下标为 0 的修订号是 "0",version2 中下标为 0 的修订号是 "1" 。0 < 1,所以 version1 < version2
示例 4:
输入:version1 = "1.0.1", version2 = "1"
输出:1
示例 5:
输入:version1 = "7.5.2.4", version2 = "7.5.3"
输出:-1
提示:
1 <= version1.length, version2.length <= 500
version1 和 version2 仅包含数字和 '.'
version1 和 version2 都是 有效版本号
version1 和 version2 的所有修订号都可以存储在 32 位整数 中
出处:
https://edu.csdn.net/practice/25315700
代码:
class Solution(object): def compareVersion(self, version1, version2): """ 用split划分 转换为int 比较即可 :type version1: str :type version2: str :rtype: int """ com1 = version1.split(".") com2 = version2.split(".") if len(com1) != len(com2): if len(com1) > len(com2): for i in range(len(com2)): if int(com1[i]) > int(com2[i]): return 1 elif int(com1[i]) < int(com2[i]): return -1 for i in range(len(com2), len(com1)): if int(com1[i]) != 0: return 1 return 0 else: for i in range(len(com1)): if int(com1[i]) > int(com2[i]): return 1 elif int(com1[i]) < int(com2[i]): return -1 for i in range(len(com1), len(com2)): if int(com2[i]) != 0: return -1 return 0 for i in range(len(com1)): if int(com1[i]) > int(com2[i]): return 1 elif int(com1[i]) < int(com2[i]): return -1 else: continue return 0
输出:
略
3. 基本计算器
给你一个字符串表达式 s ,请你实现一个基本计算器来计算并返回它的值。
示例 1:
输入:s = "1 + 1"
输出:2
示例 2:
输入:s = " 2-1 + 2 "
输出:3
示例 3:
输入:s = "(1+(4+5+2)-3)+(6+8)"
输出:23
提示:
1 <= s.length <= 3 * 10^5
s 由数字、'+'、'-'、'('、')'、和 ' ' 组成
s 表示一个有效的表达式
出处:
https://edu.csdn.net/practice/25315701
代码:
class Solution: def calculate(self, s: str) -> int: s = s.replace(" ", "") n = len(s) sign = 1 stack = [sign] i = sumS = 0 while i < n: if s[i] == "(": stack.append(sign) i += 1 elif s[i] == ")": stack.pop() i += 1 elif s[i] == "+": sign = stack[-1] i += 1 elif s[i] == "-": sign = -stack[-1] i += 1 else: num = 0 while i < n and s[i].isdigit(): num = num * 10 + int(s[i]) i += 1 sumS += sign * num return sumS # %% s = Solution() print(s.calculate("1+1")) print(s.calculate("2-1+2")) print(s.calculate("(1+(4+5+2)-3)+(6+8)"))
输出:
2
3
23


