91. 解码方法 Decode Ways
一条包含字母 A-Z 的消息通过以下映射进行了 编码 :
'A' -> "1"
'B' -> "2"
...
'Z' -> "26"
要 解码 已编码的消息,所有数字必须基于上述映射的方法,反向映射回字母(可能有多种方法)。例如,"11106" 可以映射为:
"AAJF" ,将消息分组为 (1 1 10 6)
"KJF" ,将消息分组为 (11 10 6)
注意,消息不能分组为 (1 11 06) ,因为 "06" 不能映射为 "F" ,这是由于 "6" 和 "06" 在映射中并不等价。
给你一个只含数字的 非空 字符串 s ,请计算并返回 解码 方法的 总数 。
题目数据保证答案肯定是一个 32 位 的整数。
示例 1:
输入:s = "12"
输出:2
解释:它可以解码为 "AB"(1 2)或者 "L"(12)。
示例 2:
输入:s = "226"
输出:3
解释:它可以解码为 "BZ" (2 26), "VF" (22 6), 或者 "BBF" (2 2 6) 。
示例 3:
输入:s = "0"
输出:0
解释:没有字符映射到以 0 开头的数字。
含有 0 的有效映射是 'J' -> "10" 和 'T'-> "20" 。
由于没有字符,因此没有有效的方法对此进行解码,因为所有数字都需要映射。
提示:
1 <= s.length <= 100
s 只包含数字,并且可能包含前导零。
代码1: 动态规划
package main import ( "fmt" ) func numDecodings(s string) int { n := len(s) if n == 0 { return 0 } dp := make([]int, n+1) dp[0] = 1 if s[0] == '0' { dp[1] = 0 } else { dp[1] = 1 } for i := 2; i <= n; i++ { if s[i-1] != '0' { dp[i] = dp[i-1] } if s[i-2] == '1' || (s[i-2] == '2' && s[i-1] >= '0' && s[i-1] <= '6') { dp[i] += dp[i-2] } } return dp[n] } func main() { fmt.Println(numDecodings("12")) fmt.Println(numDecodings("226")) fmt.Println(numDecodings("0")) }
输出:
2
3
0
代码2: 滚动数组
package main import ( "fmt" ) func numDecodings(s string) int { n := len(s) if n == 0 { return 0 } prev1, prev2 := 1, 0 if s[0] == '0' { prev1, prev2 = 0, 0 } else { prev1, prev2 = 1, 1 } for i := 2; i <= n; i++ { cur := 0 if s[i-1] != '0' { cur = prev1 } if s[i-2] == '1' || (s[i-2] == '2' && s[i-1] >= '0' && s[i-1] <= '6') { cur += prev2 } prev1, prev2 = cur, prev1 } return prev1 } func main() { fmt.Println(numDecodings("12")) fmt.Println(numDecodings("226")) fmt.Println(numDecodings("0")) }
代码3: DFS
package main import ( "fmt" ) func numDecodings(s string) int { n := len(s) memo := make([]int, n) return dfs(s, 0, memo) } func dfs(s string, start int, memo []int) int { if start == len(s) { return 1 } if memo[start] != 0 { return memo[start] } res := 0 if s[start] != '0' { res += dfs(s, start+1, memo) } if start+1 < len(s) && (s[start] == '1' || (s[start] == '2' && s[start+1] >= '0' && s[start+1] <= '6')) { res += dfs(s, start+2, memo) } memo[start] = res return res } func main() { fmt.Println(numDecodings("12")) fmt.Println(numDecodings("226")) fmt.Println(numDecodings("0")) }
92. 反转链表 II Reverse Linked List II
给你单链表的头指针 head 和两个整数 left 和 right ,其中 left <= right 。请你反转从位置 left 到位置 right 的链表节点,返回 反转后的链表 。
示例 1:
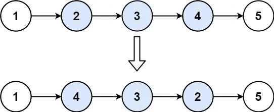
输入:head = [1,2,3,4,5], left = 2, right = 4
输出:[1,4,3,2,5]
示例 2:
输入:head = [5], left = 1, right = 1
输出:[5]
提示:
链表中节点数目为 n
1 <= n <= 500
-500 <= Node.val <= 500
1 <= left <= right <= n
进阶: 你可以使用一趟扫描完成反转吗?
代码:
go
输出:
1->2->3->4->5<nil>
3->2->1->4->5<nil>
93. 复原 IP 地址 Restore IP Addresses
有效 IP 地址 正好由四个整数(每个整数位于 0 到 255 之间组成,且不能含有前导 0),整数之间用 '.' 分隔。
例如:"0.1.2.201" 和 "192.168.1.1" 是 有效 IP 地址,但是 "0.011.255.245"、"192.168.1.312" 和 "192.168@1.1" 是 无效 IP 地址。
给定一个只包含数字的字符串 s ,用以表示一个 IP 地址,返回所有可能的有效 IP 地址,这些地址可以通过在 s 中插入 '.' 来形成。你 不能 重新排序或删除 s 中的任何数字。你可以按 任何 顺序返回答案。
示例 1:
输入:s = "25525511135"
输出:["255.255.11.135","255.255.111.35"]
示例 2:
输入:s = "0000"
输出:["0.0.0.0"]
示例 3:
输入:s = "101023"
输出:["1.0.10.23","1.0.102.3","10.1.0.23","10.10.2.3","101.0.2.3"]
提示:
1 <= s.length <= 20
s 仅由数字组成
代码:
go
输出:

 
                             
                 
                 
                 
                 
                 
                 
                