1. 最长公共前缀
编写一个函数来查找字符串数组中的最长公共前缀。
如果不存在公共前缀,返回空字符串 ""。
示例 1:
输入:strs = ["flower","flow","flight"]
输出:"fl"
示例 2:
输入:strs = ["dog","racecar","car"]
输出:""
解释:输入不存在公共前缀。
提示:
0 <= strs.length <= 200
0 <= strs[i].length <= 200
strs[i] 仅由小写英文字母组成
出处:
https://edu.csdn.net/practice/24313068
代码:
class longestCommonPrefix { public static class Solution { public String longestCommonPrefix(String[] strs) { if (strs.length == 0) { return ""; } int i = 0; StringBuilder lcp = new StringBuilder(); while (true) { boolean done = false; if (i >= strs[0].length()) { break; } for (int j = 0; j < strs.length; j++) { if (i < strs[j].length()) { if (strs[j].charAt(i) != strs[0].charAt(i)) { done = true; break; } } else { done = true; break; } } if (done) { break; } else { lcp.append(strs[0].charAt(i)); i++; } } return lcp.toString(); } } public static void main(String[] args) { Solution s = new Solution(); String[] nums = {"flower","flow","flight"}; System.out.println(s.longestCommonPrefix(nums)); } }
输出:
fl
其它写法:
public String longestCommonPrefix(String[] strs) { if (strs == null || strs.length == 0) { return ""; } int minLen = Integer.MAX_VALUE; for (String str : strs) { minLen = Math.min(minLen, str.length()); } StringBuilder sb = new StringBuilder(); for (int i = 0; i < minLen; i++) { char c = strs[0].charAt(i); for (int j = 1; j < strs.length; j++) { if (strs[j].charAt(i) != c) { return sb.toString(); } } sb.append(c); } return sb.toString(); }
2. 改写字符串
键盘录入一个字符串,将字符串中的大写改成小写,小写改成大写,数字改成。
例如heLLO123,输出后为HEllo**。
出处:
https://edu.csdn.net/practice/24313069
代码:
import java.util.Scanner; public class Transfer { public static void main(String[] args) { String str = ""; Scanner s = new Scanner(System.in); System.out.println("请输入您想输入的字符串:"); str = s.next(); StringBuffer sb = new StringBuffer(); int i; for (i = 0; i <= str.length() - 1; i++) { char ch; if (str.charAt(i) >= 'a' && str.charAt(i) <= 'z') { ch = (char) (str.charAt(i) - 32); } else if (str.charAt(i) >= 'A' && str.charAt(i) <= 'Z') { ch = (char) (str.charAt(i) + 32); } else if (str.charAt(i) >= '0' && str.charAt(i) <= '9') { ch = '*'; } else { ch = str.charAt(i); } sb.append(ch); } String trStr = sb.toString(); System.out.println(sb.toString()); } }
输出:
略
3. 不同的二叉搜索树 II
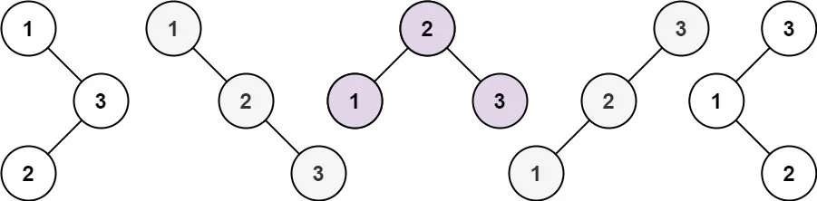
给你一个整数 n ,请你生成并返回所有由 n 个节点组成且节点值从 1 到 n 互不相同的不同 二叉搜索树 。可以按 任意顺序 返回答案。
示例 1:
输入:n = 3
输出:[[1,null,2,null,3],[1,null,3,2],[2,1,3],[3,1,null,null,2],[3,2,null,1]]
示例 2:
输入:n = 1
输出:[[1]]
提示:
1 <= n <= 8
出处:
https://edu.csdn.net/practice/24313070
代码:
class TreeNode { int val; TreeNode left; TreeNode right; TreeNode(int x) { val = x; } } class Solution { public List<TreeNode> generateTrees(int n) { if (n == 0) return new LinkedList<TreeNode>(); return generate_trees(1, n); } private LinkedList<TreeNode> generate_trees(int start, int end) { LinkedList<TreeNode> all_trees = new LinkedList<TreeNode>(); if (start > end) { all_trees.add(null); return all_trees; } for (int i = start; i <= end; i++) { LinkedList<TreeNode> left_trees = generate_trees(start, i - 1); LinkedList<TreeNode> right_trees = generate_trees(i + 1, end); for (TreeNode l : left_trees) for (TreeNode r : right_trees) { TreeNode current_tree = new TreeNode(i); current_tree.left = l; current_tree.right = r; all_trees.add(current_tree); } } return all_trees; } }
输出:
略
