1. 环形链表 II
给定一个链表,返回链表开始入环的第一个节点。 如果链表无环,则返回 null。
为了表示给定链表中的环,我们使用整数 pos 来表示链表尾连接到链表中的位置(索引从 0 开始)。 如果 pos 是 -1,则在该链表中没有环。注意,pos 仅仅是用于标识环的情况,并不会作为参数传递到函数中。
说明:不允许修改给定的链表。
进阶:
你是否可以使用 O(1) 空间解决此题?
示例 1:
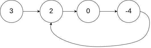
输入:head = [3,2,0,-4], pos = 1
输出:返回索引为 1 的链表节点
解释:链表中有一个环,其尾部连接到第二个节点。
示例 2:
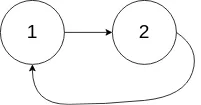
输入:head = [1,2], pos = 0
输出:返回索引为 0 的链表节点
解释:链表中有一个环,其尾部连接到第一个节点。
示例 3:
输入:head = [1], pos = -1
输出:返回 null
解释:链表中没有环。
提示:
- 链表中节点的数目范围在范围
[0, 10^4]内 -10^5 <= Node.val <= 10^5pos的值为-1或者链表中的一个有效索引
出处:
https://edu.csdn.net/practice/24061806
代码: 快慢指针
public class ListNode { int val; ListNode next; ListNode(int x) { val = x; } } public class Solution { public ListNode detectCycle(ListNode head) { if (head == null || head.next == null) { return null; } ListNode slow = head; ListNode fast = head; while (true) { if (fast == null || fast.next == null) { return null; } fast = fast.next.next; slow = slow.next; if (fast == slow) { break; } } slow = head; while (slow != fast) { slow = slow.next; fast = fast.next; } return fast; } }
原理:快慢指针判断链表是否存在环
定义两个指针 slow 和 fast,初始值都为链表头结点 head;slow 指针每次移动一步,fast 指针每次移动两步。如果链表不存在环,fast 指针会先到达链表末尾,此时可以返回 null;如果链表存在环,fast 指针最终会追上 slow 指针,此时可以跳出循环。
计算环的起点
因为快指针的速度是慢指针的两倍,所以当它们相遇时,慢指针在环中走了 k 步,快指针在环中走了 2k 步。假设环的长度为 r,那么 2k = k + nr,即 k = nr;从链表头结点开始,定义一个新的指针 p,它和 slow 指针每次都向前移动一步;当 p 指针到达环的起点时,slow 指针也恰好到达环的起点,此时返回 p 指针即可。
2. 基础语句
原标题: 输出每天是应该学习还是休息还是锻炼
30天中,从第一天开始五天学习,一天休息、一天锻炼,输出每天是应该学习还是休息还是锻炼
出处:
https://edu.csdn.net/practice/24061807
代码:
public class HelloWorld { public static void main(String []args) { int n1=0,n2=0,n3=0,i; for(i=1;i<=30;i++){ if(n1<5){ System.out.println("学习"); n1++; continue; } else{ System.out.println("休息"); System.out.println("锻炼"); n1=0; i++; } } } }
3. 最小覆盖子串
给你一个字符串 s 、一个字符串 t 。返回 s 中涵盖 t 所有字符的最小子串。如果 s 中不存在涵盖 t 所有字符的子串,则返回空字符串 "" 。
注意:如果 s 中存在这样的子串,我们保证它是唯一的答案。
示例 1:
输入:s = "ADOBECODEBANC", t = "ABC"
输出:"BANC"
示例 2:
输入:s = "a", t = "a"
输出:"a"
提示:
1 <= s.length, t.length <= 105
s 和 t 由英文字母组成
进阶:你能设计一个在 o(n) 时间内解决此问题的算法吗?
出处:
https://edu.csdn.net/practice/24061808
代码:
public class Min_Win_Sub { public String minWindow(String s, String t) { int[] ta = new int[128]; int[] sa = new int[128]; int min = Integer.MAX_VALUE; String minwin = ""; for (int i = 0; i < t.length(); i++) { ta[t.charAt(i)]++; } int count = 0; int end = 0; int start = 0; while (end < s.length()) { if (ta[s.charAt(end)] != 0) { if (sa[s.charAt(end)] < ta[s.charAt(end)]) { count++; } sa[s.charAt(end)]++; } if (count == t.length()) { while (ta[s.charAt(start)] == 0 || sa[s.charAt(start)] > ta[s.charAt(start)]) { if (sa[s.charAt(start)] > ta[s.charAt(start)]) { sa[s.charAt(start)]--; } start++; } if (end - start + 1 < min) { minwin = s.substring(start, end + 1); min = end - start + 1; } } end++; } return minwin; } }
在滑动窗口中,start 指向窗口左边界,end 指向窗口右边界。当窗口中的字符数目达到了 t 中字符的数目,就需要尝试缩小窗口大小。这时候可以让 start 指针不断右移,直到当前窗口不再满足条件。
具体地,如果当前窗口中的字符 c 不在字符串 t 中,或者 c 在窗口中的数目大于等于 c 在 t 中的数目,那么就可以让 start 右移,并更新窗口中字符 c 的数目。直到当前窗口中的字符数目不再满足要求,停止右移。
要注意,在右移 start 指针的过程中,不仅需要更新窗口中字符 c 的数目,还需要判断当前字符是否在 t 中,避免将不在 t 中的字符加入到窗口中。


