1. 两数之和
给定一个整数数组 nums 和一个整数目标值 target,请你在该数组中找出 和为目标值 的那 两个 整数,并返回它们的数组下标。
你可以假设每种输入只会对应一个答案。但是,数组中同一个元素在答案里不能重复出现。
你可以按任意顺序返回答案。
示例 1:
输入:nums = [2,7,11,15], target = 9
输出:[0,1]
解释:因为 nums[0] + nums[1] == 9 ,返回 [0, 1] 。
示例 2:
输入:nums = [3,2,4], target = 6
输出:[1,2]
示例 3:
输入:nums = [3,3], target = 6
输出:[0,1]
提示:
2 <= nums.length <= 10^3
-10^9 <= nums[i] <= 10^9
-10^9 <= target <= 10^9
只会存在一个有效答案
import java.util.*; public class twoSum { public static class Solution { public static int[] twoSum(int[] nums, int target) { Map<Integer, Integer> cache = new HashMap<>(); for (int i = 0; i < nums.length; i++) { int distance = target - nums[i]; if (cache.containsKey(distance)) { return new int[] { cache.get(distance), i }; } else { cache.put(nums[i], i); } } return new int[] {}; } } public static void main(String[] args) { Solution s = new Solution(); int nums[] = {2,7,11,5}; int res[] = s.twoSum(nums, 9); for (int i = 0; i < res.length; i++) { System.out.print(res[i] + " "); } System.out.println(); int nums2[] = {3,2,4}; int res2[] = s.twoSum(nums2, 6); for (int i = 0; i < res2.length; i++) { System.out.print(res2[i] + " "); } System.out.println(); int nums3[] = {3,3}; int res3[] = s.twoSum(nums3, 6); for (int i = 0; i < res3.length; i++) { System.out.print(res3[i] + " "); } System.out.println(); } }
输出:
0 1
1 2
0 1
2. 盛最多水的容器
给你 n 个非负整数 a1,a2,...,an,每个数代表坐标中的一个点 (i, ai) 。在坐标内画 n 条垂直线,垂直线 i 的两个端点分别为 (i, ai) 和 (i, 0) 。找出其中的两条线,使得它们与 x 轴共同构成的容器可以容纳最多的水。
说明:你不能倾斜容器。
示例 1:
输入:[1,8,6,2,5,4,8,3,7]
输出:49
解释:图中垂直线代表输入数组 [1,8,6,2,5,4,8,3,7]。在此情况下,容器能够容纳水(表示为蓝色部分)的最大值为 49。
示例 2:
输入:height = [1,1]
输出:1
示例 3:
输入:height = [4,3,2,1,4]
输出:16
示例 4:
输入:height = [1,2,1]
输出:2
提示:
n = height.length
2 <= n <= 3 * 10^4
0 <= height[i] <= 3 * 10^4
代码:
import java.util.*; public class maxArea { public static class Solution { public int maxArea(int[] height) { int N = height.length; int i = 0; int j = N - 1; int max = 0; while (i < j) { int c = (j - i) * Math.min(height[i], height[j]); if (c > max) { max = c; } if (height[i] > height[j]) { j--; } else { i++; } } return max; } } public static void main(String[] args) { Solution s = new Solution(); int height[] = {1,8,6,2,5,4,8,3,7}; System.out.println(s.maxArea(height)); int height2[] = {1,1}; System.out.println(s.maxArea(height2)); int height3[] = {4,3,2,1,4}; System.out.println(s.maxArea(height3)); int height4[] = {1,2,1}; System.out.println(s.maxArea(height4)); } }
输出:
49
1
16
2
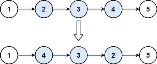
3. 反转链表 II
给你单链表的头指针 head 和两个整数 left 和 right ,其中 left <= right 。请你反转从位置 left 到位置 right 的链表节点,返回 反转后的链表 。
示例 1:
输入:head = [1,2,3,4,5], left = 2, right = 4
输出:[1,4,3,2,5]
示例 2:
输入:head = [5], left = 1, right = 1
输出:[5]
提示:
链表中节点数目为 n
1 <= n <= 500
-500 <= Node.val <= 500
1 <= left <= right <= n
代码:
import java.util.Arrays; public class reverseBetween { public static class ListNode { int val; ListNode next; ListNode(int x) { val = x; } } public static ListNode createLinkedList(int[] nums) { if (nums == null || nums.length == 0) { return null; } ListNode head = new ListNode(nums[0]); ListNode cur = head; for (int i = 1; i < nums.length; i++) { cur.next = new ListNode(nums[i]); cur = cur.next; } return head; } public static void printLinkedList(ListNode head) { ListNode cur = head; while (cur != null) { System.out.print(cur.val + "->"); cur = cur.next; } System.out.println("null"); } public static class Solution { public ListNode reverseBetween(ListNode head, int m, int n) { ListNode dummy = new ListNode(0); dummy.next = head; ListNode pre = dummy; for (int i = 1; i < m; i++) { pre = pre.next; } head = pre.next; for (int i = m; i < n; i++) { ListNode nex = head.next; head.next = nex.next; nex.next = pre.next; pre.next = nex; } return dummy.next; } } public static void main(String[] args) { Solution s = new Solution(); int[] nums = {1,2,3,4,5}; ListNode head = createLinkedList(nums); printLinkedList(head); head = s.reverseBetween(head, 2, 4); printLinkedList(head); int[] nums2 = {5}; head = createLinkedList(nums2); printLinkedList(head); head = s.reverseBetween(head, 1, 1); printLinkedList(head); } }
输出:
1->2->3->4->5->null
1->4->3->2->5->null
5->null
5->null
递归法:
class Solution { public ListNode reverseBetween(ListNode head, int left, int right) { if (left == 1) { return reverseN(head, right); } head.next = reverseBetween(head.next, left - 1, right - 1); return head; } ListNode successor = null; // 后驱节点 // 反转以 head 为起点的 n 个节点,返回新的头结点 ListNode reverseN(ListNode head, int n) { if (n == 1) { successor = head.next; return head; } ListNode last = reverseN(head.next, n - 1); head.next.next = head; head.next = successor; return last; } }
完整代码如下:
public class reverseBetween { public static class ListNode { int val; ListNode next; ListNode(int x) { val = x; } } public static ListNode createLinkedList(int[] nums) { if (nums == null || nums.length == 0) { return null; } ListNode head = new ListNode(nums[0]); ListNode cur = head; for (int i = 1; i < nums.length; i++) { cur.next = new ListNode(nums[i]); cur = cur.next; } return head; } public static void printLinkedList(ListNode head) { ListNode cur = head; while (cur != null) { System.out.print(cur.val + "->"); cur = cur.next; } System.out.println("null"); } public static class Solution { public ListNode reverseBetween(ListNode head, int left, int right) { if (left == 1) { return reverseN(head, right); } head.next = reverseBetween(head.next, left - 1, right - 1); return head; } ListNode successor = null; // 后驱节点 // 反转以 head 为起点的 n 个节点,返回新的头结点 ListNode reverseN(ListNode head, int n) { if (n == 1) { successor = head.next; return head; } ListNode last = reverseN(head.next, n - 1); head.next.next = head; head.next = successor; return last; } } public static void main(String[] args) { Solution s = new Solution(); int[] nums = {1,2,3,4,5}; ListNode head = createLinkedList(nums); printLinkedList(head); head = s.reverseBetween(head, 2, 4); printLinkedList(head); int[] nums2 = {5}; head = createLinkedList(nums2); printLinkedList(head); head = s.reverseBetween(head, 1, 1); printLinkedList(head); } }

