19. 删除链表的倒数第 N 个结点 Remove-nth-node-from-end-of-list
给你一个链表,删除链表的倒数第 n 个结点,并且返回链表的头结点。
示例 1:
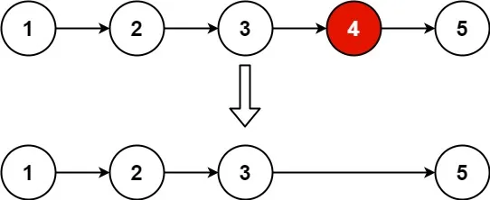
输入:head = [1,2,3,4,5], n = 2
输出:[1,2,3,5]
示例 2:
输入:head = [1], n = 1
输出:[]
示例 3:
输入:head = [1,2], n = 1
输出:[1]
提示:
链表中结点的数目为 sz
1 <= sz <= 30
0 <= Node.val <= 100
1 <= n <= sz
进阶:你能尝试使用一趟扫描实现吗?
代码:
package main import ( "fmt" ) type ListNode struct { data int next *ListNode } func (head *ListNode) build(list []int) { for i := len(list) - 1; i >= 0; i-- { p := &ListNode{data: list[i]} p.next = head.next head.next = p } } func (head *ListNode) travel() { for p := head.next; p != nil; p = p.next { fmt.Print(p.data) if p.next != nil { fmt.Print("->") } } fmt.Println("<nil>") } func removeNthFromEnd(head *ListNode, n int) *ListNode { var fast, slow *ListNode fast = head slow = head for i := 0; i < n; i++ { fast = fast.next } if fast == nil { head = head.next return head } for fast.next != nil { fast = fast.next slow = slow.next } slow.next = slow.next.next return head } func main() { nums := []int{1, 2, 3, 4, 5} head := &ListNode{} head.build(nums) head.travel() head = removeNthFromEnd(head, 2) head.travel() head = &ListNode{} head.build([]int{1}) head.travel() head = removeNthFromEnd(head, 1) head.travel() head = &ListNode{} head.build([]int{1, 2}) head.travel() head = removeNthFromEnd(head, 1) head.travel() }
输出:
1->2->3->4->5<nil>
1->2->3->5<nil>
1<nil>
<nil>
1->2<nil>
1<nil>
其他解法:
package main import ( "fmt" ) type ListNode struct { data int next *ListNode } func (head *ListNode) build(list []int) { for i := len(list) - 1; i >= 0; i-- { p := &ListNode{data: list[i]} p.next = head.next head.next = p } } func (head *ListNode) travel() { for p := head.next; p != nil; p = p.next { fmt.Print(p.data) if p.next != nil { fmt.Print("->") } } fmt.Println("<nil>") } func removeNthFromEnd(head *ListNode, n int) *ListNode { if head == nil { return nil } len := countBackwards(head, n) if n >= len { return head.next } return head } func countBackwards(p *ListNode, n int) int { if p.next == nil { return 1 } res := countBackwards(p.next, n) + 1 if res == n+1 { if n == 1 { p.next = nil } else { p.next = p.next.next } } return res } func main() { nums := []int{1, 2, 3, 4, 5} head := &ListNode{} head.build(nums) head.travel() head = removeNthFromEnd(head, 2) head.travel() head = &ListNode{} head.build([]int{1}) head.travel() head = removeNthFromEnd(head, 1) head.travel() head = &ListNode{} head.build([]int{1, 2}) head.travel() head = removeNthFromEnd(head, 1) head.travel() }
20. 有效的括号 Valid Parentheses
给定一个只包括 '(',')','{','}','[',']' 的字符串 s ,判断字符串是否有效。
有效字符串需满足:
- 左括号必须用相同类型的右括号闭合。
- 左括号必须以正确的顺序闭合。
示例 1:
输入:s = "()"
输出:true
示例 2:
输入:s = "()[]{}"
输出:true
示例 3:
输入:s = "(]"
输出:false
示例 4:
输入:s = "([)]"
输出:false
示例 5:
输入:s = "{[]}"
输出:true
提示:
1 <= s.length <= 10^4
s 仅由括号 '()[]{}' 组成
代码:
package main import ( "fmt" ) func isValid(s string) bool { stack := make([]byte, 0) for _, ch := range s { switch ch { case '(': fallthrough case '[': fallthrough case '{': stack = append(stack, byte(ch)) case ')': if len(stack) > 0 && stack[len(stack)-1] == '(' { stack = stack[:len(stack)-1] } else { return false } case ']': if len(stack) > 0 && stack[len(stack)-1] == '[' { stack = stack[:len(stack)-1] } else { return false } case '}': if len(stack) > 0 && stack[len(stack)-1] == '{' { stack = stack[:len(stack)-1] } else { return false } } } return len(stack) == 0 } func main() { fmt.Println(isValid("()")) fmt.Println(isValid("()[]{}")) fmt.Println(isValid("(]")) fmt.Println(isValid("([)]")) fmt.Println(isValid("{()}")) }
输出:
true
true
false
false
true
21. 合并两个有序链表 Mmerge-two-sorted-lists
将两个升序链表合并为一个新的 升序 链表并返回。新链表是通过拼接给定的两个链表的所有节点组成的。
示例 1:
输入:l1 = [1,2,4], l2 = [1,3,4]
输出:[1,1,2,3,4,4]
示例 2:
输入:l1 = [], l2 = []
输出:[]
示例 3:
输入:l1 = [], l2 = [0]
输出:[0]
提示:
两个链表的节点数目范围是 [0, 50]
-100 <= Node.val <= 100
l1 和 l2 均按 非递减顺序 排列
代码:
package main import ( "fmt" ) type ListNode struct { data int next *ListNode } func (head *ListNode) build(list []int) { for i := len(list) - 1; i >= 0; i-- { p := &ListNode{data: list[i]} p.next = head.next head.next = p } } func (head *ListNode) travel() { for p := head.next; p != nil; p = p.next { fmt.Print(p.data) if p.next != nil { fmt.Print("->") } } fmt.Println("<nil>") } func mergeTwoLists(l1 *ListNode, l2 *ListNode) *ListNode { res := &ListNode{} p := res for l1 != nil && l2 != nil { if l1.data < l2.data { p.next = l1 l1 = l1.next } else { p.next = l2 l2 = l2.next } p = p.next } if l1 != nil { p.next = l1 } else { p.next = l2 } return res.next } func main() { nums1 := []int{1, 2, 4} nums2 := []int{1, 3, 4} l1 := &ListNode{} l2 := &ListNode{} l1.build(nums1) l2.build(nums2) l1.travel() l2.travel() result := mergeTwoLists(l1, l2).next result.travel() }
输出:
1->2->4<nil>
1->3->4<nil>
1->1->2->3->4->4<nil>
递归法:
package main import ( "fmt" ) type ListNode struct { data int next *ListNode } func (head *ListNode) build(list []int) { for i := len(list) - 1; i >= 0; i-- { p := &ListNode{data: list[i]} p.next = head.next head.next = p } } func (head *ListNode) travel() { for p := head.next; p != nil; p = p.next { fmt.Print(p.data) if p.next != nil { fmt.Print("->") } } fmt.Println("<nil>") } func mergeTwoLists(l1 *ListNode, l2 *ListNode) *ListNode { if l1 == nil { return l2 } if l2 == nil { return l1 } if l1.data < l2.data { l1.next = mergeTwoLists(l1.next, l2) return l1 } l2.next = mergeTwoLists(l1, l2.next) return l2 } func main() { n1 := []int{1, 2, 4} n2 := []int{1, 3, 4} l1 := &ListNode{} l2 := &ListNode{} l1.build(n1) l2.build(n2) l1.travel() l2.travel() result := mergeTwoLists(l1, l2).next result.travel() }

