✅作者简介:热爱科研的Matlab仿真开发者,修心和技术同步精进,matlab项目合作可私信。
🍎个人主页:Matlab科研工作室
🍊个人信条:格物致知。
更多Matlab仿真内容点击👇
⛄ 内容介绍
1.1 蚁群算法
1 蚁群算法(ant colony algorithm,ACA)起源和发展历程 Marco Dorigo等人在研究新型算法的过程中,发现蚁群在寻找食物时,通过分泌一种称为信息素的生物激素交流觅食信息从而能快速的找到目标,于是在1991年在其博士论文中首次系统地提出一种基于蚂蚁种群的新型智能优化算法“蚂蚁系统(Ant system,简称AS)”,后来,提出者及许多研究者对该算法作了各种改进,将其应用于更为广泛的领域,如图着色问题、二次分配问题、工件排序问题、车辆路径问题、车间作业调度问题、网络路由问题、大规模集成电路设计等。近些年来,M.Dorigo等人把蚂蚁算法进一步发展成一种通用的优化技术“蚁群优化(Ant Colony Optimization,简称ACO)”,并将所有符合ACO框架的算法称为“蚁群优化算法(ACO algorithm)”。
具体来说,各个蚂蚁在没有事先告知食物在什么地方的前提下开始寻找食物。当一只找到食物以后,它会向环境释放一种挥发性分泌物pheromone (称为信息素,该物质随着时间的推移会逐渐挥发消失,信息素浓度的大小表征路径的远近)信息素能够让其他蚂蚁感知从而起到一个引导的作用。通常多个路径上均有信息素时,蚂蚁会优先选择信息素浓度高的路径,从而使浓度高的路径信息素浓度更高,形成一个正反馈。有些蚂蚁并没有像其它蚂蚁一样总重复同样的路,他们会另辟蹊径,如果另开辟的道路比原来的其他道路更短,那么,渐渐地,更多的蚂蚁被吸引到这条较短的路上来。最后,经过一段时间运行,可能会出现一条最短的路径被大多数蚂蚁重复着。最终,信息素浓度最高的路径即是最终被蚂蚁选中的最优路径。 与其他算法相比,蚁群算法是一种比较年轻的算法,具有分布式计算、无中心控制、个体之间异步间接通信等特点,并且易于与其他优化算法相结合,经过不少仁人志士的不断探索,到今天已经发展出了各式各样的改进蚁群算法,不过蚁群算法的原理仍是主干。
1.1.1 蚁群算法的求解原理
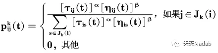
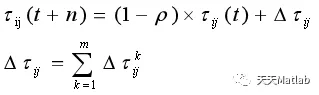
基于上述对蚁群觅食行为的描述,该算法主要对觅食行为进行以下几个方面模拟: (1)模拟的图场景中包含了两种信息素,一种表示家,一种表示食物的地点,并且这两种信息素都在以一定的速率进行挥发。 (2)每个蚂蚁只能感知它周围的小部分地方的信息。蚂蚁在寻找食物的时候,如果在感知范围内,就可以直接过去,如果不在感知范围内,就要朝着信息素多的地方走,蚂蚁可以有一个小概率不往信息素多的地方走,而另辟蹊径,这个小概率事件很重要,代表了一种找路的创新,对于找到更优的解很重要。 (3)蚂蚁回窝的规则与找食物的规则相同。 (4)蚂蚁在移动时候首先会根据信息素的指引,如果没有信息素的指引,会按照自己的移动方向惯性走下去,但也有一定的机率改变方向,蚂蚁还可以记住已经走过的路,避免重复走一个地方。 (5)蚂蚁在找到食物时留下的信息素最多,然后距离食物越远的地方留下的信息素越少。找到窝的信息素留下的量的规则跟食物相同。蚁群算法有以下几个特点:正反馈算法、并发性算法、较强的鲁棒性、概率型全局搜索、不依赖严格的数学性质、搜索时间长,易出现停止现象。 蚂蚁转移概率公式: 公式中:是蚂蚁k从城市i转移到j的概率;α,β分别为信息素和启发式因子的相对重要程度;为边(i,j)上的信息素量;为启发式因子;为蚂蚁k下步允许选择的城市。上述公式即为蚂蚁系统中的信息素更新公式,是边(i,j)上的信息素量;ρ是信息素蒸发系数,0<ρ<1;为第k只蚂蚁在本次迭代中留在边(i,j)上的信息素量;Q为一正常系数;为第k只蚂蚁在本次周游中的路径长度。 在蚂蚁系统中,信息素更新公式为:
1.1.2 蚁群算法的求解步骤
(1)初始化参数在计算之初,需要对相关参数进行初始化,如蚁群规模(蚂蚁数量)m、信息素重要程度因子α、启发函数重要程度因子β、信息素会发银子ρ、信息素释放总量Q、最大迭代次数iter_max、迭代次数初值iter=1。 (2)构建解空间将各个蚂蚁随机地置于不同的出发点,对每个蚂蚁k(k=1,2,3…m),按照(2-1)计算其下一个待访问城市,直到所有蚂蚁访问完所有城市。 (3)更新信息苏计算每个蚂蚁经过路径长度Lk(k=1,2,…,m),记录当前迭代次数中的最优解(最短路径)。同时,根据式(2-2)和(2-3)对各个城市连接路径上信息素浓度进行更新。 (4) 判断是否终止若iter<iter_max,则令iter=iter+1,清空蚂蚁经过路径的记录表,并返回步骤2;否则,终止计算,输出最优解。 (5)判断是否终止若iter<iter_max,则令iter=iter+1,清空蚂蚁经过路径的记录表,并返回步骤2;否则,终止计算,输出最优解。3. 判断是否终止若iter<iter_max,则令iter=iter+1,清空蚂蚁经过路径的记录表,并返回步骤2;否则,终止计算,输出最优解。
1.2 bp神经网络
1.2.1 神经网络的结构
神经网络的网络结构由输入层,隐含层,输出层组成。隐含层的个数+输出层的个数=神经网络的层数,也就是说神经网络的层数不包括输入层。下面是一个三层的神经网络,包含了两层隐含层,一个输出层。其中第一层隐含层的节点数为3,第二层的节点数为2,输出层的节点数为1;输入层为样本的两个特征X1,X2.
图1 三层神经网络
在神经网络中每一个节点的都与上一层的所有节点相连,称为全连接。神经网络的上一层输出的数据是下一层的输入数据。在图中的神经网络中,原始的输入数据,通过第一层隐含层的计算得出的输出数据,会传到第二层隐含层。而第二层的输出,又会作为输出层的输入数据。
神经网络中的每一层(除了输入层)都是由神经元组成,也称为节点。每一个神经元都相当于一个感知器。如下图:
图2 单个神经元
在神经网络中,每个节点都将计算出特征矩阵X与权值矩阵的加权和,得到净输入e,然后通过激励函数f(e)得到该节点的输出y。在图1中,每条连线都可以看做是一个权值。
在神经网络中,可以添加输出层节点的个数来解决多分类问题。有四个类别需要分类则,则输出层的节点个数可以设为4个节点,每一个节点代表一个类别。
1.2.2 BP神经网络的训练过程
神经网络的训练过程分为两个过程:1、向前传播得到预测数据;2、反向传播更新权重。如下图所示:
图3 神经网络的训练过程
第一步、向前传播得到预测数据:向前传播的过程,即数据从输入层输入,经过隐含层,输出层的计算得到预测值,预测值为输出层的输出结果。网络层的输出即,该层中所有节点(神经元)的输出值的集合。我们以图一的神经网络结构为例,分析向前传播过程。
1.得到隐含层的输出y1,y2,y3:
2.获取到第二层的隐含层输出y4,y5,输入的数据也就是第一层隐含层的输出数据y1,y2,y3。
3、通过输出层,得到最后的预测值y。
第二步、反向传播更新权重:根据样本的真实类标,计算模型预测的结果与真实类标的误差。然后将该误差反向传播到各个隐含层。计算出各层的误差,再根据各层的误差,更新权重。
1.计算输出层的误差:其中z为该样本的类标
2计算第二层隐含层的误差
3.计算第一次隐含层的误差:
4、更新权重:新的权值=原权值+学习速率×该节点的误差×激励函数的导函数的值(f(e)的倒数)×与该节点相连的输入值
4.1更新输入层与第一层隐含层之间的权值:
4.2更新第一层隐含层与第二层隐含层之间的权值
4.3更新第二层隐含层与输出层之间的权值
以上就是反向传播的过程。误差从输出层反向的传到输入层,然后再从输入层向前更新权值。
⛄ 部分代码
% 自程序objfun_BP
function error = objfun_BP(x,inputnum,hiddennum,outputnum,net,inputn,outputn)
%该函数用来计算适应度值
%x input 个体
%inputnum input 输入层节点数
%outputnum input 隐含层节点数
%net input 网络
%inputn input 训练输入数据
%outputn input 训练输出数据
%error output 个体适应度值
%提取
w1=x(1:inputnum*hiddennum);
B1=x(inputnum*hiddennum+1:inputnum*hiddennum+hiddennum);
w2=x(inputnum*hiddennum+hiddennum+1:inputnum*hiddennum+hiddennum+hiddennum*outputnum);
B2=x(inputnum*hiddennum+hiddennum+hiddennum*outputnum+1:inputnum*hiddennum+hiddennum+hiddennum*outputnum+outputnum);
%网络权值赋值
net.iw{1,1}=reshape(w1,hiddennum,inputnum);
net.lw{2,1}=reshape(w2,outputnum,hiddennum);
net.b{1}=reshape(B1,hiddennum,1);
net.b{2}=reshape(B2,outputnum,1);
%网络进化参数
net.trainParam.epochs=1e5;
net.trainParam.lr=0.1;
net.trainParam.goal=0.00001;
net.trainParam.show=100;
net.trainParam.showWindow=0;
%网络训练
net=train(net,inputn,outputn);
an=sim(net,inputn);
error=sum(abs(an-outputn));
end
⛄ 运行结果
⛄ 参考文献
[1]刘瑞晨. 基于蚁群算法与BP神经网络的桥式起重机驱动优化研究[D].太原科技大学,2020.





















