基于NLMS 算法的自适应信道均衡附matlab代码

简介: 基于NLMS 算法的自适应信道均衡附matlab代码

✅作者简介:热爱科研的Matlab仿真开发者,修心和技术同步精进,matlab项目合作可私信。

🍎个人主页:Matlab科研工作室

🍊个人信条:格物致知。

更多Matlab仿真内容点击👇

智能优化算法  神经网络预测雷达通信 无线传感器

信号处理图像处理路径规划元胞自动机无人机 电力系统

⛄ 内容介绍

基于NLMS算法的自适应滤波器的构建方法,该方法具体步骤如下:步骤一:确定参数;步骤二:初始化;步骤三:确定数据.本发明利用自适应滤波器中步长的变化,增强其滤波性能,尤其在低信噪比环境下,提高了滤波系统的抗噪能力.它在自适应滤波技术领域里具有较好的实用价值及广阔地应用前景.

⛄ 部分代码

function y = slicer256(u);  


% This function maps its complex input u  

% into the closest entry in a 256QAM constellation.  

if abs(real(u)) <= 2

  a = 1;  

elseif abs(real(u)) <= 4

  a = 3;

elseif abs(real(u)) <= 6

  a = 5;

elseif abs(real(u)) <= 8

  a = 7;

elseif abs(real(u)) <= 10

  a = 9;  

elseif abs(real(u)) <= 12

  a = 11;  

elseif abs(real(u)) <= 14

  a = 13;    

else  

  a = 15;  

end  

 

if abs(imag(u)) <= 2  

  b = 1;  

elseif abs(imag(u)) <= 4

  b = 3;

elseif abs(imag(u)) <= 6

  b = 5;

elseif abs(imag(u)) <= 8

  b = 7;

elseif abs(imag(u)) <= 10

  b = 9;

elseif abs(imag(u)) <= 12

  b = 11;

elseif abs(imag(u)) <= 14

  b = 13;

else  

  b = 15;

end  

 

 

if real(u) >= 0   % Avoid using the sign function of  

  sign_a = 1;    % matlab since it returns 0 when its input

else              % is zero.

  sign_a = -1;  

end  

 

if imag(u) >= 0  

  sign_b = 1;  

else  

  sign_b = -1;  

end  

 

 

y = a*sign_a + j*b*sign_b;


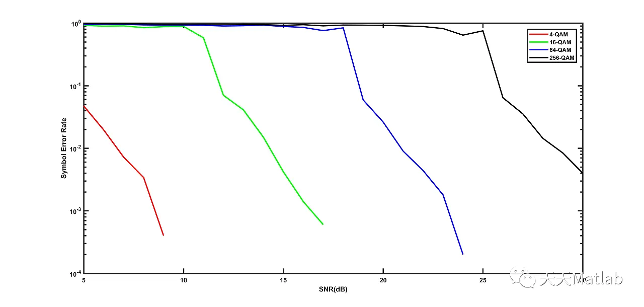
⛄ 运行结果

⛄ 参考文献

[1]肖鹏韬, 姚金杰, 高磊. NLMS判决反馈均衡器在水声通信中的应用[J]. 伺服控制, 2011(2):49-50.

⛄ 完整代码

❤️部分理论引用网络文献,若有侵权联系博主删除
❤️ 关注我领取海量matlab电子书和数学建模资料


相关文章
|
7天前
|
存储 算法 调度
【复现】【遗传算法】考虑储能和可再生能源消纳责任制的售电公司购售电策略(Python代码实现)
【复现】【遗传算法】考虑储能和可再生能源消纳责任制的售电公司购售电策略(Python代码实现)
105 26
|
7天前
|
存储 编解码 算法
【多光谱滤波器阵列设计的最优球体填充】使用MSFA设计方法进行各种重建算法时,图像质量可以提高至多2 dB,并在光谱相似性方面实现了显著提升(Matlab代码实现)
【多光谱滤波器阵列设计的最优球体填充】使用MSFA设计方法进行各种重建算法时,图像质量可以提高至多2 dB,并在光谱相似性方面实现了显著提升(Matlab代码实现)
|
4天前
|
机器学习/深度学习 人工智能 搜索推荐
从零构建短视频推荐系统:双塔算法架构解析与代码实现
短视频推荐看似“读心”,实则依赖双塔推荐系统:用户塔与物品塔分别将行为与内容编码为向量,通过相似度匹配实现精准推送。本文解析其架构原理、技术实现与工程挑战,揭秘抖音等平台如何用AI抓住你的注意力。
110 6
从零构建短视频推荐系统:双塔算法架构解析与代码实现
|
7天前
|
机器学习/深度学习 传感器 算法
【高创新】基于优化的自适应差分导纳算法的改进最大功率点跟踪研究(Matlab代码实现)
【高创新】基于优化的自适应差分导纳算法的改进最大功率点跟踪研究(Matlab代码实现)
87 14
|
9天前
|
算法 计算机视觉
【MPDR & SMI】失配广义夹角随输入信噪比变化趋势、输出信干噪比随输入信噪比变化趋势研究(Matlab代码实现)
【MPDR & SMI】失配广义夹角随输入信噪比变化趋势、输出信干噪比随输入信噪比变化趋势研究(Matlab代码实现)
|
9天前
|
编解码 人工智能 算法
【采用BPSK或GMSK的Turbo码】MSK、GMSK调制二比特差分解调、turbo+BPSK、turbo+GMSK研究(Matlab代码实现)
【采用BPSK或GMSK的Turbo码】MSK、GMSK调制二比特差分解调、turbo+BPSK、turbo+GMSK研究(Matlab代码实现)
|
9天前
|
机器学习/深度学习 编解码 并行计算
【改进引导滤波器】各向异性引导滤波器,利用加权平均来实现最大扩散,同时保持图像中的强边缘,实现强各向异性滤波,同时保持原始引导滤波器的低低计算成本(Matlab代码实现)
【改进引导滤波器】各向异性引导滤波器,利用加权平均来实现最大扩散,同时保持图像中的强边缘,实现强各向异性滤波,同时保持原始引导滤波器的低低计算成本(Matlab代码实现)
|
9天前
|
机器学习/深度学习 传感器 边缘计算
【故障诊断】基于时滞反馈随机共振的增强型旋转电机故障诊断(Matlab代码实现)
【故障诊断】基于时滞反馈随机共振的增强型旋转电机故障诊断(Matlab代码实现)
|
9天前
|
传感器 机器学习/深度学习 算法
【UASNs、AUV】无人机自主水下传感网络中遗传算法的路径规划问题研究(Matlab代码实现)
【UASNs、AUV】无人机自主水下传感网络中遗传算法的路径规划问题研究(Matlab代码实现)
|
9天前
|
运维 算法
【故障诊断】基于最小熵反卷积、最大相关峰度反卷积和最大二阶环平稳盲反卷积等盲反卷积方法在机械故障诊断中的应用研究(Matlab代码实现)
【故障诊断】基于最小熵反卷积、最大相关峰度反卷积和最大二阶环平稳盲反卷积等盲反卷积方法在机械故障诊断中的应用研究(Matlab代码实现)

热门文章

最新文章