一、高频小信号谐振放大器理论知识
1、高频小信号谐振放大器的简介(略)
2、高频小信号谐振放大器的分类
按元器件分为:晶体管放大器、场效应管放大器、集成电路放大器;
按频带分为:窄带放大器、宽带放大器
按电路形式分为:单级放大器、多级放大器
按负载性质分为:谐振放大器、非谐振放大器
3、高频小信号谐振放大器的特点
(1)工作频率高,中心频率几百千赫兹至几百兆赫兹
(2)晶体管工作在线性放大区
(3)负载回路是谐振回路,有放大选频的作用
4、小信号调谐放大器的主要质量指标
(1)谐振频率f_0(略)
(2)谐振增益A(V)(略)
(3)通频带BW(略)
二、高频小信号调谐信号放大器的设计内容
1、给定条件
2、主要技术指标
三、高频小信号调谐信号放大器的设计过程
1、选定电路形式
依据技术指标要求,考虑高频放大器应具有的基本特性,可采用共射晶体管单协调回路谐振放大器,设计参考电路图如图2所示。
由于信号小,可认为其工作在线性范围内,可将晶体管看成线性元件,作为有源线性四端网络来分析,需将混合 参数模型转换为 参数四端网络模型求解。
2、设置静态工作点
3、计算谐振回路参数
(1)晶体管的混合 参数
(2)共射晶体管输入导纳
(3)共射晶体管输出导纳
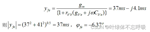
(4)共射晶体管正向传输导纳
(5)总电容
(6)计算回路线圈匝数
(7)确定耦合电容与高频滤波电容
4、确定所需器件(详见报告)
四、高频小信号谐振放大器电路仿真实验
1、电路仿真
按设计内容部分,在Multisim中画出电路图,并进行仿真,电路图如下:
在原有电路的基础之上,加置示波器与波特图示仪,以便检测电路是否达到要求。
2、仿真结果
(1)示波器观测的输入输出波形为:
由图可计算
满足放大倍数的设计指标,并且输入输出的波形并无失真。
(2)波特图如下:
由图可计算,通频带大约为
在1MHz左右。
综上,此电路设计基本达到要求。
五、心得体会
此次大作业,我重温了《高频电子线路》中高频小信号谐振放大器的内容。在完成大作业的过程中,由于对器件不够了解,以及Multisim软件使用方法已经有些遗忘,另外还有一些细节没有注意到,所以进度一直很慢。不过通过查阅网上的一些资料,以及与同学之间的交流,最终我得到了基本达到设计要求的电路。通过此次课程设计,我更加深刻理解了高频小信号调谐放大器的设计方法,掌握了高频单调谐放大器回路等效电路的计算与转换,性能指标及分析设计,掌握中心频率 ,放大倍数 ,回路带宽 的测试方法,受益匪浅。



















