100天搞定机器学习|Day61 手算+可视化,终于彻底理解了 XGBoost

简介: 100天搞定机器学习|Day61 手算+可视化,终于彻底理解了 XGBoost

我们已经学习了XGBoost渊源及优点、模型原理及优化推导、模型参数解析:100天搞定机器学习|Day60 遇事不决,XGBoost,文章有点太枯燥,大家可能对其中的公式推导和参数还不甚理解。


今天我们以西瓜数据集为例,配合手算,拆开揉碎,深入理解公式与代码之间的内在联系,然后用可视化的方式更形象地看透 XGBoost 的原理


#本文用到的库
import numpy as np
import pandas as pd
from sklearn.model_selection import train_test_split
from sklearn import preprocessing
from xgboost.sklearn import XGBClassifier
from xgboost import plot_tree
import matplotlib.pyplot as plt
from xgboost import plot_importance
from sklearn.model_selection import GridSearchCV
from sklearn.metrics import classification_report, precision_recall_curve


西瓜数据集及预处理


def getDataSet():
    dataSet = [
        ['青绿', '蜷缩', '浊响', '清晰', '凹陷', '硬滑', 0.697, 0.460, 1],
        ['乌黑', '蜷缩', '沉闷', '清晰', '凹陷', '硬滑', 0.774, 0.376, 1],
        ['乌黑', '蜷缩', '浊响', '清晰', '凹陷', '硬滑', 0.634, 0.264, 1],
        ['青绿', '蜷缩', '沉闷', '清晰', '凹陷', '硬滑', 0.608, 0.318, 1],
        ['浅白', '蜷缩', '浊响', '清晰', '凹陷', '硬滑', 0.556, 0.215, 1],
        ['青绿', '稍蜷', '浊响', '清晰', '稍凹', '软粘', 0.403, 0.237, 1],
        ['乌黑', '稍蜷', '浊响', '稍糊', '稍凹', '软粘', 0.481, 0.149, 1],
        ['乌黑', '稍蜷', '浊响', '清晰', '稍凹', '硬滑', 0.437, 0.211, 1],
        ['乌黑', '稍蜷', '沉闷', '稍糊', '稍凹', '硬滑', 0.666, 0.091, 0],
        ['青绿', '硬挺', '清脆', '清晰', '平坦', '软粘', 0.243, 0.267, 0],
        ['浅白', '硬挺', '清脆', '模糊', '平坦', '硬滑', 0.245, 0.057, 0],
        ['浅白', '蜷缩', '浊响', '模糊', '平坦', '软粘', 0.343, 0.099, 0],
        ['青绿', '稍蜷', '浊响', '稍糊', '凹陷', '硬滑', 0.639, 0.161, 0],
        ['浅白', '稍蜷', '沉闷', '稍糊', '凹陷', '硬滑', 0.657, 0.198, 0],
        ['乌黑', '稍蜷', '浊响', '清晰', '稍凹', '软粘', 0.360, 0.370, 0],
        ['浅白', '蜷缩', '浊响', '模糊', '平坦', '硬滑', 0.593, 0.042, 0],
        ['青绿', '蜷缩', '沉闷', '稍糊', '稍凹', '硬滑', 0.719, 0.103, 0]
    ]
    features = ['color', 'root', 'knocks', 'texture', 'navel', 'touch', 'density', 'sugar','good']
    dataSet = np.array(dataSet)
    df = pd.DataFrame(dataSet,columns=features)
    for feature in features[0:6]:
        le = preprocessing.LabelEncoder()
        le = le.fit(df[feature])
        df[feature] = le.transform(df[feature])
    df.iloc[:,6:8]=df.iloc[:,6:8].astype(float)
    df['good']=df['good'].astype(int)
    return df


本文中,我们使用sklearn风格的接口,并使用sklearn风格的参数。


xgboost.XGBClassifier实现了scikit-learn 的分类模型API:


xgboost.XGBClassifier(max_depth=3, learning_rate=0.1, n_estimators=100, 
     silent=True, objective='binary:logistic', booster='gbtree', n_jobs=1,
     nthread=None, gamma=0, min_child_weight=1, max_delta_step=0, subsample=1,
     colsample_bytree=1, colsample_bylevel=1, reg_alpha=0, reg_lambda=1,
     scale_pos_weight=1, base_score=0.5, random_state=0, seed=None, 
     missing=None, **kwargs)


image.png


#训练模型
df = getDataSet()
X, y = df[df.columns[:-1]],df['good']
X_train, X_test, y_train, y_test = train_test_split(X,y, random_state=0)
sklearn_model_new = XGBClassifier(n_estimators=2,max_depth=5,learning_rate= 0.1, verbosity=1, objective='binary:logistic',random_state=1)
sklearn_model_new.fit(X_train, y_train)
model.fit(X_train, y_train)


XGBoost可视化


现在看一下XGBoost的内部结构,看看树的形状。XGBoost可视化可使用

xgboost.plot_tree方法:


xgboost.plot_tree(booster, fmap='', num_trees=0, rankdir='UT', ax=None, **kwargs)


参数:


booster:一个Booster对象, 一个 XGBModel 对象


fmap:一个字符串,给出了feature map 文件的文件名


num_trees:一个整数,制定了要绘制的子数的编号。默认为 0


rankdir:一个字符串,它传递给graphviz的graph_attr


ax:一个matplotlib Axes 对象。特征重要性将绘制在它上面。如果为None,则新建一个Axes


kwargs:关键字参数,用于传递给graphviz 的graph_attr


XGBoost很多函数会用的一个参数fmap (也就是feature map),但是文档里面基本没解释这个fmap是怎么产生的,Kaggle上有好心人提供了解决方案:


https://www.kaggle.com/mmueller/xgb-feature-importance-python

def ceate_feature_map(features):
    outfile = open('xgb.fmap', 'w')
    i = 0
    for feat in features:
        outfile.write('{0}\t{1}\tq\n'.format(i, feat))
        i = i + 1
    outfile.close()
ceate_feature_map(df.columns)


这个函数就是根据给定的特征名字(直接使用数据的列名称), 按照特定格式生成一个

xgb.fmap文件, 这个文件就是XGBoost文档里面多次提到的fmap, 注意使用的时候, 直接提供文件名, 比如fmap='xgb.fmap'.


有了fmap, 在调用plot_tree函数的时候, 直接指定fmap文件即可:


plot_tree(fmap='xgb.fmap')


调整清晰度需要使用plt.gcf()方法


plot_tree(sklearn_model_new,fmap='xgb.fmap',num_trees=0)
fig = plt.gcf()
fig.set_size_inches(150, 100)
plt.show()

640.png


第一棵树


plot_tree(sklearn_model_new,fmap='xgb.fmap',num_trees=1)
fig = plt.gcf()
fig.set_size_inches(150, 100)
plt.show()

640.png

第二棵树



重头戏分割线————手算


先看看X_train

640.png

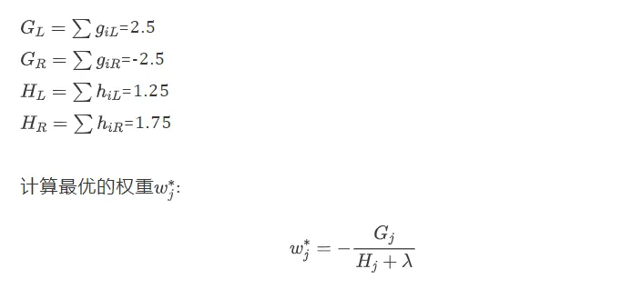
第一棵树仅以含糖率为分割点,对其排序,分割点为两点间的均值

image.png


0.186为何可以成为根节点呢?这个咱们待会儿再算。


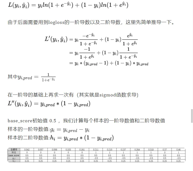
那我们就算一下,不过在此之前还要再复习一下损失函数 logloss:

image.pngimage.png

所以:


=-0.111111111

=0.090909091


tips:上述结果直接计算与图中不符,这里要记得乘以学习率:0.1


第一棵树即为:

image.png


回答开头的问题,第一棵树为何以含糖率的0.1856为根节点?必然是所有特征中此处分割的 gain 最大!看一下这个公式

image.png


计算结果为5.0505,其他特征的gain小于它,原理类似这里就不挨个算了。


640.png


另一个问题,为何分裂到此怎么就停了呢?


XGBClassifier参数min_child_weight默认值 1 ,是叶子节点包含样本的所有二阶偏导数之和,代表子节点的权重阈值。它刻画的是:对于一个叶子节点,当对它采取划分之后,它的所有子节点的权重之和的阈值。如果它的所有子节点的权重之和小于该阈值,则该叶子节点不值得继续分裂。


本例中如再以0.344处或其他特征某处分裂则必有>1,所以就不分裂了。

min_child_weight的值较大时,可以避免模型学习到局部的特殊样本。本例如将其值改为0.2,就会发现还会分裂(如下图):


640.png


感兴趣的同学可以试试,能算出-0.04和0.12吗?


还以min_child_weight默认值为 1,然后,生成第二棵树,此处仅需按第一棵树的预测结果更新base_score的值,注意:预测结果要经过sigmod映射,即当预测为0时,base_score更新为

image.png

因为我们只有两棵树,特征选择仅使用了含糖率,分裂了两次,so,特征重要性为2


plot_importance(sklearn_model_new)


640.png


XGBoost网格搜索调参


参数调整是机器学习中的一门暗艺术,模型的最优参数可以依赖于很多场景。所以要创建一个全面的指导是不可能的。XGBoost使用sklearn风格的接口,并使用网格搜索类GridSeachCV来调参,非常方便。gsCv.best_params_获取最优参数,添加新的参数进来,然后再次GridSearchCV。


也可以一把梭哈,把重要参数一次怼进去。


gsCv = GridSearchCV(sklearn_model_new,
                   {'max_depth': [4,5,6],
                    'n_estimators': [5,10,20],
                   'learning_rate ': [0.05,0.1,0.3,0.5,0.7],
                    'min_child_weight':[0.1,0.2,0.5,1]
                   })
gsCv.fit(X_train,y_train)
print(gsCv.best_params_)


{'learning_rate ': 0.05, 'max_depth': 4, 'min_child_weight': 0.1, 'n_estimators': 5} 以此参数重新训练即可。

相关文章
|
机器学习/深度学习 数据可视化 算法
机器学习-可解释性机器学习:随机森林与fastshap的可视化模型解析
机器学习-可解释性机器学习:随机森林与fastshap的可视化模型解析
1209 1
|
机器学习/深度学习 数据采集 算法
解码癌症预测的密码:可解释性机器学习算法SHAP揭示XGBoost模型的预测机制
解码癌症预测的密码:可解释性机器学习算法SHAP揭示XGBoost模型的预测机制
810 0
|
机器学习/深度学习 数据采集 数据可视化
基于爬虫和机器学习的招聘数据分析与可视化系统,python django框架,前端bootstrap,机器学习有八种带有可视化大屏和后台
本文介绍了一个基于Python Django框架和Bootstrap前端技术,集成了机器学习算法和数据可视化的招聘数据分析与可视化系统,该系统通过爬虫技术获取职位信息,并使用多种机器学习模型进行薪资预测、职位匹配和趋势分析,提供了一个直观的可视化大屏和后台管理系统,以优化招聘策略并提升决策质量。
743 4
|
机器学习/深度学习 数据可视化 搜索推荐
Python在社交媒体分析中扮演关键角色,借助Pandas、NumPy、Matplotlib等工具处理、可视化数据及进行机器学习。
【7月更文挑战第5天】Python在社交媒体分析中扮演关键角色,借助Pandas、NumPy、Matplotlib等工具处理、可视化数据及进行机器学习。流程包括数据获取、预处理、探索、模型选择、评估与优化,以及结果可视化。示例展示了用户行为、话题趋势和用户画像分析。Python的丰富生态使得社交媒体洞察变得高效。通过学习和实践,可以提升社交媒体分析能力。
234 1
|
机器学习/深度学习 数据采集 算法
Python用逻辑回归、决策树、SVM、XGBoost 算法机器学习预测用户信贷行为数据分析报告
Python用逻辑回归、决策树、SVM、XGBoost 算法机器学习预测用户信贷行为数据分析报告
|
10月前
|
算法
PAI下面的gbdt、xgboost、ps-smart 算法如何优化?
设置gbdt 、xgboost等算法的样本和特征的采样率
245 2
|
12月前
|
机器学习/深度学习 数据采集 分布式计算
【Python篇】深入机器学习核心:XGBoost 从入门到实战
【Python篇】深入机器学习核心:XGBoost 从入门到实战
1126 3
|
机器学习/深度学习 数据可视化 JavaScript
探索机器学习模型的可视化技术
【9月更文挑战第23天】在数据科学中,理解和解释机器学习模型的决策过程是至关重要的。本文将介绍几种流行的可视化工具和库,如TensorBoard、D3.js等,帮助读者更好地理解模型内部工作原理及其预测结果。通过实例演示如何使用这些工具进行模型可视化,增强模型的可解释性。
|
机器学习/深度学习 存储 缓存
【机器学习】随机森林、AdaBoost、GBDT、XGBoost从零开始理解
介绍了机器学习中的几种集成学习算法,包括随机森林、AdaBoost、梯度提升决策树(GBDT)和XGBoost,解释了它们的概念、优缺点、算法过程以及系统设计。
1123 5
【机器学习】随机森林、AdaBoost、GBDT、XGBoost从零开始理解
|
机器学习/深度学习 数据采集 数据可视化
基于python 机器学习算法的二手房房价可视化和预测系统
文章介绍了一个基于Python机器学习算法的二手房房价可视化和预测系统,涵盖了爬虫数据采集、数据处理分析、机器学习预测以及Flask Web部署等模块。
400 2
基于python 机器学习算法的二手房房价可视化和预测系统