假设检验(hypothesis testing),又称统计假设检验,先做出某种假设,然后通过抽样收集数据进行统计推理,对此假设应该被拒绝还是接受做出推断。
e.g. 某药品X 可以起到降血糖的作用,为检验其药效,随机抽取9 位实验者。记录服药前的血糖值,然后让每位实验者服用该药物,连续服药一周后,再次记录其血糖值度。服药前后血糖差值如下:
1.5 , 0.6 , − 0.3 , 1.1 , − 0.8 , 0 , 2.2 , − 1.0 , 1.4
1. 建立两个完全对立的假设
原假设(零假设)H 0 ,备择假设 (对立假设)H 1。
原假设与备择假设是不对称的,决定谁是原假设,依赖于立场、惯例、方便性。
(1)保护原假设:如果错误地拒绝假设A比错误地拒绝假设B带来更严重的后果——A选作原假设。
假设A:新药有某种毒副作用
假设B:新药无某种毒副作用
“有毒副作用”错误地当成“无毒副作用”比“无毒副作用”错误地当成“有毒副作用”带来的后果更严重,因此A选作原假设H 0
(2)原假设为维持现状:为解释某些现象或效果的存在性,原假设常取为“无效果”、“无改进”、“无差异”,等,拒绝原假设表示有较强的理由支持备择假设。
原假设H 0 :药物无效
备择假设H 1: 药物有效
(3)原假设取简单假设:只有一个参数(或分布)的假设称为简单假设.如果只有一个假设是简单假设,将其取为原假设。
参数假设的形式
设θ 是反映总体指标某方面特征的量, 是我们感兴趣的参数,一般参数θ
的假设有三种情形:
H 0 : θ = θ 0, H 1 : θ < θ 0(左边检验)
H 0 : θ = θ 0, H 1 : θ > θ 0(右边检验)
H 0 : θ =θ 0,H 1: θ ≠ θ 0 (右边检验)
其中,H 0: θ ≥ θ 0,H 1 : θ < θ 0(左边检验)与H 0 : θ = θ 0 , H 1 : θ < θ 0 (左边检验)的检验法则与检验效果一致。
同理,H 0 : θ ≤θ 0 , H 1 : θ > θ 0(右边检验)与 H 0 : θ = θ 0, H 1: θ > θ 0(右边检验)的检验法则与检验效果一致。
2. 给出检验统计量,并确定拒绝域的形式
如果统计量T = T ( X 1 , . . . , X n ) 的取值大小和原假设H 0是否成立有密切联系,可将其称为对应假设问题的检验统计量,而对应于拒绝原假设H 0 时,样本值的范围称为拒绝域,记为W ,其补集W ˉ 称为接受域。
该例中,设服药前后血糖差值X ∼ N ( μ , σ 2 ) 并假设σ = 0.36
假设检验:H 0 : μ = 0 , H 1 : μ > 0
由于X 是μ的无偏估计,X 的取值大小反映了μ 的取值大小,当原假设成立时(药物无效),X 取值应偏小。
因此
当时,拒绝原假设H 0
当时,接受原假设H 0
本例中检验统计量X ,拒绝域
关键问题:如何选择C
两类错误
由于样本的随机性,任一检验规则在应用时,都有可能发生错误的判断——两类错误。
第I 类错误:拒绝真实的原假设(弃真)
第I I类错误:接受错误的原假设(取伪)
令
α = P {第I类 错 误 } = P { 拒 绝 H 0 ∣ H 0 为 真 }
β = P {第II类 错 误 } = P { 接 受H 0 ∣ H 0 为 假 }
e.g. 总体X ∼ N ( μ , 1 ) ,则
犯两类错误的概率相互制约。
Neyman-Pearson原则
首先控制犯第I 类错误的概率不超过某个常数α ∈ ( 0 , 1 ) ,再寻找检验,使得犯第I I类错误的概率尽可能小。α称为显著水平。常取α = 0.01 , 0.05 , 0.1等。
3. 临界值法:根据显著水平和统计量的分布确定临界值
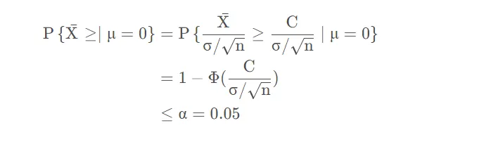
本例中,取显著水平α = 0.05
当H 0 : μ = 0 成立时,
犯第I 类错误的概率
Φ(−z 0.05 )=0.05,
根据Neyman-Pearson原则,为使犯第I I 类错误的概率尽可能小,应取C = 0.329 ,因此拒绝域为W = { X ˉ ≥ 0.329 }
4. 根据样本得出结论
根据样本在拒绝域内。
当原假设H 0 成立时,样本落在拒绝域的概率不超过0.05,是小概率事件。根据实际推断原理,有充分的理由拒绝原假设(药物无效),认为药物有效。
同理可验证,若取显著性水平α = 0.01,拒绝域W = { X ˉ ≥ 0.465 } ,依然在拒绝域内,因此拒绝原假设。
5. P值法
P_值:当原假设H 0 成立时,检验统计量取比观察到的结果更为极端的数值的概率,即最小显著性水平。
通过比较P 值 与显著性水平,得出结论:概率这么小的事件发生了,因此拒绝原假设。
P _值与显著水平α 的关系:
若P _ ≤ α ,等价于样本落在拒绝域内,因此拒绝原假设,称检验结果在水平α下是统计显著的。
若P _ > α ,等价于样本不落在拒绝域内,因此接受原假设,称检验结果在水平α 下是统计不显著的。
小结
(1)临界值法处理假设检验问题的基本步骤
根据实际问题提出原假设和备择假设
提出检验统计量和拒绝域的形式
在给定的显著水平α 下,根据Neyman-Pearson原则求出拒绝域的临界值
根据实际样本观测值做出判断
(2)P _ 值法处理假设检验问题的基本步骤
根据实际问题提出原假设和备择假设
提出检验统计量和拒绝域的形式
计算检验统计量的观测值与P _ 值
根据给定的显著水平α 做出判断










