《数论概论(原书第4版)》一第2章 勾 股 数 组

简介:

本节书摘来自华章出版社《数论概论(原书第4版)》一书中的第2章,作者 布朗大学,更多章节内容可以访问云栖社区“华章计算机”公众号查看

第2章 勾 股 数 组

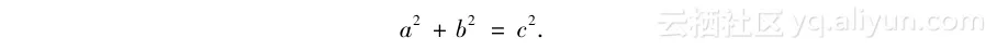
毕达哥拉斯定理(即勾股定理)是中学生“喜爱”的公式,它表明任一个直角三角形(如图21所示)的两条直角边长的平方和等于斜边长的平方.用公式表示就是

image

因为对数论(即自然数理论)感兴趣,所以我们会问是否存在毕达哥拉斯三角形,它的所有边长都是自然数.有许多这样的三角形,最著名的例子是边长为3,4,5的三角形(即中国古代数学家发现的“勾广三,股修四、径隅五”).下面是前几个例子:
image

对这些毕达哥拉斯三元组(下称勾股数组)的研究在毕达哥拉斯时代以前很久就开始了.包含这种三元组的巴比伦表格中甚至有很大的三元组,这表明巴比伦人可能拥有得到这种三元组的系统方法.更令人惊讶的是,

13巴比伦人似乎使用他们的勾股数组表作为原始的三角形表.古埃及人也使用勾股数组.例如,产生直角的粗略方法是取一根绳子,将其分成12等份,系成一个圈再绷成一个3-4-5三角的形状,如图22所示.这为标记地界或建造金字塔等提供了一种廉价的直角工具.

image

巴比伦人与古埃及人拥有研究勾股数组的实际理由.这种实际理由仍存在吗?对于这种特殊问题,答案是“未必”.然而研究勾股数组至少有一种好的理由,与值得研究伦布兰特艺术和贝多芬音乐的理由相同.数之间相互影响方式的美正如油画或交响乐创作的美.为欣赏这种美,人们不得不花费大量精力.但是这种努力是值得的.本书的目的是理解并欣赏真正优美的数学,学会如何发现与证明这种数学,甚至做出我们自己原创性的贡献.

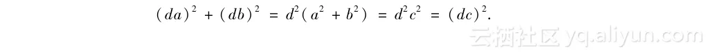
你无疑会认为这有点胡说,让我们看些实例.第一个纯朴的问题是,是否存在无穷多个勾股数组,即满足方程a2+b2=c2的自然数三元组(a,b,c).答案是“肯定的”.如果取勾股数组(a,b,c),用整数d乘它,则得到新的勾股数组(da,db,dc).这是成立的,因为
image

显然,这些新的勾股数组并不令人感兴趣.所以我们转而关注没有(大于1)公因数的三元组.我们甚至给它们起个名字:14

本原勾股数组(简写为PPT)是一个三元组(a,b,c),其中a,b,c没有公因数
数d是a,b,c的公因数指的是a,b,c都是d的倍数.例如,3是30,42,105的公因数,因为30=3•10,42=3•14,105=3•35,事实上3是它们的最大公因数.另一方面,数10,12,15没有(除1外的)公因数.因为本章的目的是不拘泥于严谨体系来研究有趣而美妙的数论,所以,我们非正式地使用公因数与整除性并相信自己的直觉.在第5章我们将回到这些问题,更仔细地发展整除性理论.

,且满足
image

回顾一下第1章提到的研究步骤.第一步是积累数据.使用计算机代入具体的a,b值并检查a2+b2是否为平方数.下面是得到的一些本原勾股数组:

image

由这个短表容易得到一些结论.例如,似乎a与b奇偶性不同且c总是奇数.

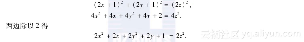
不难证明这些猜想是正确的.首先,如果a与b都是偶数,则c也是偶数.这意味着a,b,c有公因数2,所以三元组不是本原的.其次,假设a,b都是奇数,那么c必是偶数.于是存在整数x,y,z使得
image

将其代入方程a2+b2=c2得

image

最后一个等式说的是一个奇数等于一个偶数,这是不可能的,所以a与b不能都是奇数.因为我们已证明它们不可能都是偶数,也不可能都是奇数,15故它们的奇偶性不同.

再由方程a2+b2=c2可得c是奇数.

考虑到a,b的对称性,我们的问题化为求解方程
a2+b2=c2,a是奇数, b是偶数, a,b,c没有公因数
的所有自然数解.我们使用的工具是因数分解和整除性.

我们的第一个观察如下:如果(a,b,c)是本原勾股数组,则可进行因数分解
a2=c2-b2=(c-b)(c+b).
下面是来自前面列表的例子,注意我们总是取a是奇数且b是偶数:

image
image

似乎c-b与c+b本身总是平方数.我们用另外两个例子验证这个观察:

image

怎样证明c-b与c+b都是平方数呢?由前面的列表,另一个观察是c-b与c+b似乎没有公因数.我们可如下证明这个断言:假设正整数d是c-b与c+b的公因数,即d整除c-b与c+b.则d也整除
image

因此d整除2b与2c.但是b与c没有公因数,这是因为我们假设了(a,b,c)是本原勾股数组.从而d必等于1或2.但d也整除(c-b)(c+b)=a2且a是奇数,故d必等于1.换句话说,16整除c-b与c+b的数只能是1,所以c-b与c+b没有公因数.

现在我们知道c-b与c+b没有公因数而且由于(c-b)(c+b)=a2,所以c-b与c+b的积是平方数.这种情况只有在c-b与c+b自身都是平方数时才出现如果考虑将c-b与c+b分解成素数乘积,就会发现从直观上看这是显而易见的,因为c-b分解式中的素数与c+b分解式中的素数不同.然而,素数分解的存在性与唯一性并不显然.在第7章我们将进一步讨论.
.记
image

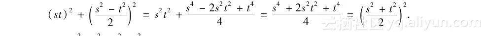
为什么说是“接近”完成了证明呢?我们已经证明如果(a,b,c)是一个PPT,a为奇数,那么存在没有公因数的奇数s>t≥1使得a,b,c可用上述公式表示.我们还需要验证这些公式给出的总是一个PPT.先通过代数运算来说明公式给出的是勾股数组:
image

还需说明st,s2-t22和s2+t22没有公因数.利用素数的重要性质是最容易证明这个结论的,因此我们把证明推迟到第7章,17由读者来完成(习题73).

例如,如果取t=1,则得三元组s,s2-12,s2+12,它的b与c值仅相差1.这就解释了上面列出的许多例子.下表列出了s≤9时所有可能的三元组.

image

关于记号的插曲

数学家创造了标准记号作为各种量的速记符号.我们应尽量少用这种记号,但有些通用符号是非常有用的,值得花时间在此介绍一下.它们是

image

另外,数学家常常使用R表示实数集合,C表示复数集合,但是我们不需要这些.为什么选取这些字母呢?选取N,R,C无需解释.表示整数集合的字母Z源自德文单词“Zahlen”,其意思是数.类似地,Q源自德文单词“Quotient”(与英文单词相同,意为商).我们也使用标准的数学符号∈来表示“属于某个集合”.例如,a∈N表示a为自然数,x∈Q表示x为有理数.

习题

21(a)我们证明了在任何本原勾股数组(a,b,c)中,a或b是偶数.用相同的论证方法证明a或b必是3的倍数.18

(b)通过考察前面的本原勾股数组表,给出当a,b或c是5的倍数时的猜测.试证明你的猜测是正确的.

22非零整数d整除m是指对某个整数k满足m=dk.证明:若d整除m与n,则d也整除m-n与m+n.

23对下述每个问题,从搜集数据开始,进而分析数据,形成猜想;最后设法证明你的猜测是正确的.(别担心你不能解决问题的每一部分,有些部分相当难.)

(a)哪些奇数a可出现在本原勾股数组(a,b,c)中?

(b)哪些偶数b可出现在本原勾股数组(a,b,c)中?

(c)哪些整数c可出现在本原勾股数组(a,b,c)中?

24下面是两个本原勾股数组的例子:
332+562=652与162+632=652.
再至少找出一个新例子,使得两个本原勾股数组有相同的c值.你能找出有相同c值的三个本原勾股数组吗?你能找出多于三个且有相同c值的本原勾股数组吗?

25在第1章中我们看到第n个三角数Tn由公式
Tn=1+2+3+…+n=n(n+1)2.
给出.前四个三角数是1,3,6,10.在我们的勾股数组(a,b,c)列表中有些b值是三角数的4倍,例如,(3,4,5),(5,12,13),(7,24,25),(9,40,41).

(a)求出b=4T5,4T6,4T7的本原勾股数组(a,b,c).

(b)你认为对每个三角数Tn都存在b=4Tn的本原勾股数组(a,b,c)吗?如果你确信这成立,则证明它,否则,找出使其不成立的三角数.

26如果观察本章的本原勾股数组表,你会发现多个三元组(a,b,c)满足c比a大2.例如,三元组(3,4,5),(15,8,17),(35,12,37),(63,16,65)都具有这种性质.

(a)再求两个本原勾股数组(a,b,c)使得c=a+2.

(b)求本原勾股数组(a,b,c)使得c=a+2且c>1000.

(c)试求满足c=a+2的本原勾股数组(a,b,c)的通用公式.

27对本章列表中的每个本原勾股数组(a,b,c),计算2c-2a.这些值呈现某种特殊形式吗?试证明你的观察对所有本原勾股数组成立.

28设m,n为相差2的正整数,将1m+1n写成最简分数.例如,12+14=34,13+15=815.
19

(a)计算接下去的三个例子.

(b)考察 (a) 中分数的分子和分母,与上一页上的勾股数组表对照,提出关于这些分数的一个猜想.

(c)证明你的猜想是正确的.

29(a)阅读关于巴比伦数系的材料并写出简短说明,要包括1~10以及20,30,40,50的记号.

(b)了解被称为Plimpton 322号的巴比伦泥石板并写出简要说明,要涉及它的形成年代.

(c)Plimpton 322号的第二和第三列给出了一些整数对(a,c),它们满足c2-a2是完全平方数.将其中的一些数对从巴比伦数转化为十进制数,并计算b的值使得(a,b,c)为勾股数组.20

相关文章
|
JSON 小程序 Java
微信公众平台测试号——模板消息发送Demo
微信公众平台测试号——模板消息发送Demo
1451 0
|
3月前
|
存储 人工智能 数据可视化
2025年技术团队必看:10款提升研发效率的知识管理工具深度评测
在数字化时代,知识管理已成为提升个人与企业竞争力的关键。2025年,随着AI、大数据和云计算的发展,知识管理工具正向智能化、协作化方向演进。本文精选10款必备工具,涵盖Notion、Obsidian、语雀、飞书文档等,助你构建高效知识体系,把握未来趋势。
316 0
|
1月前
|
人工智能 供应链 数据可视化
低代码开发平台与零代码平台的区别?国内主流平台介绍与深度对比
本文深入解析低代码与零代码开发平台的技术特性与适用场景,盘点Zoho Creator、织信、OutSystems、简道云、钉钉宜搭等国内主流平台,对比其功能优势与典型案例,为企业数字化转型选型提供参考。
145 1
|
12月前
【AD速成】半小时入门AltiumDesigner之创建工程(一)
【AD速成】半小时入门AltiumDesigner之创建工程(一)
1052 2
|
12月前
|
存储 开发框架 JavaScript
Node.js实现短链接(ShortLink):shortid、epxress让URL更简单
Node.js实现短链接(ShortLink):shortid、epxress让URL更简单
386 0
Node.js实现短链接(ShortLink):shortid、epxress让URL更简单
|
10月前
|
负载均衡 Java Nacos
常见的Ribbon/Spring LoadBalancer的负载均衡策略
自SpringCloud 2020版起,Ribbon被弃用,转而使用Spring Cloud LoadBalancer。Ribbon支持轮询、随机、加权响应时间和重试等负载均衡策略;而Spring Cloud LoadBalancer则提供轮询、随机及Nacos负载均衡策略,基于Reactor实现,更高效灵活。
632 0
|
12月前
|
监控 算法 数据挖掘
HyperLogLog算法有哪些应用场景呢
【10月更文挑战第19天】HyperLogLog算法有哪些应用场景呢
165 0
|
Android开发 UED Kotlin
kotlin webview 加载网页失败后如何再次重试
在Kotlin中,当使用WebView加载网页失败时,可通过设置WebViewClient并覆盖`onReceivedError`方法来捕获失败事件。在该回调中,可以显示错误信息或尝试使用`reload()`重试加载。以下是一个简要示例展示如何处理加载失败
|
存储 缓存 JSON
详解HTTP四种请求:POST、GET、DELETE、PUT
【4月更文挑战第3天】
66792 5
详解HTTP四种请求:POST、GET、DELETE、PUT
|
SQL 机器学习/深度学习 前端开发
10个宝藏级编程资源,让你省下8K学费不香吗_类似javaguide的前端网站
10个宝藏级编程资源,让你省下8K学费不香吗_类似javaguide的前端网站
10个宝藏级编程资源,让你省下8K学费不香吗_类似javaguide的前端网站