这里介绍一下IoU loss与focal loss函数,之前的文章也有提及到,这里就不再过多的细说了。简单来说:
- IoU loss:用来计算pred box与ground true之间的差异,用来边界框损失函数的计算;
- focal loss:用来平衡正负样本不均衡的问题,由RetinaNet提出使用与One-Step目标检测算法上的一个技巧
关于这两部分的详细介绍可以见之前的博文:YOLOv4中的tricks概念总结——Bag of freebies
然后,后续有不少大佬对focal loss进行了变体,这里也简要记录一下。
1. IoU loss实现代码
关于边界框的回归损失,之前在yolov4中有总结了其归纳的“免费包”的概念,具体见:YOLOv4中的tricks概念总结——Bag of freebies,大概是进阶过程是:Smooth L1 loss、iou loss、giou loss、diou loss、ciou loss。这里不再对原理进行过多的介绍,直接贴上代码。
YOLOv3-SPP代码:
# iou loss、giou loss、diou loss、ciou loss的计算函数 def bbox_iou(box1, box2, x1y1x2y2=True, GIoU=False, DIoU=False, CIoU=False): # Returns the IoU of box1 to box2. box1 is 4, box2 is nx4 """ Args: box1: 预测框 box2: 真实框 x1y1x2y2: False Returns: box1和box2的IoU/GIoU/DIoU/CIoU """ box2 = box2.t() # Get the coordinates of bounding boxes if x1y1x2y2: # x1, y1, x2, y2 = box1 b1_x1, b1_y1, b1_x2, b1_y2 = box1[0], box1[1], box1[2], box1[3] b2_x1, b2_y1, b2_x2, b2_y2 = box2[0], box2[1], box2[2], box2[3] else: # transform from xywh to xyxy b1_x1, b1_x2 = box1[0] - box1[2] / 2, box1[0] + box1[2] / 2 b1_y1, b1_y2 = box1[1] - box1[3] / 2, box1[1] + box1[3] / 2 b2_x1, b2_x2 = box2[0] - box2[2] / 2, box2[0] + box2[2] / 2 b2_y1, b2_y2 = box2[1] - box2[3] / 2, box2[1] + box2[3] / 2 # Intersection area inter = (torch.min(b1_x2, b2_x2) - torch.max(b1_x1, b2_x1)).clamp(0) * \ (torch.min(b1_y2, b2_y2) - torch.max(b1_y1, b2_y1)).clamp(0) # Union Area w1, h1 = b1_x2 - b1_x1, b1_y2 - b1_y1 w2, h2 = b2_x2 - b2_x1, b2_y2 - b2_y1 union = (w1 * h1 + 1e-16) + w2 * h2 - inter iou = inter / union # iou if GIoU or DIoU or CIoU: cw = torch.max(b1_x2, b2_x2) - torch.min(b1_x1, b2_x1) # 外接矩形的宽 ch = torch.max(b1_y2, b2_y2) - torch.min(b1_y1, b2_y1) # 外接矩形的高 if GIoU: # Generalized IoU https://arxiv.org/pdf/1902.09630.pdf c_area = cw * ch + 1e-16 # 外围矩形的面积 return iou - (c_area - union) / c_area # GIoU if DIoU or CIoU: # Distance or Complete IoU https://arxiv.org/abs/1911.08287v1 # convex diagonal squared c2 = cw ** 2 + ch ** 2 + 1e-16 # 外接矩形的对角线距离(外接矩形的宽平方 + 外接矩形的高平方) # centerpoint distance squared # 两个框之间的中心点距离: [(b2x2+b2x1)/2 - (b1x2+b2x1)/2]^2 + [(b2y2+b2y1)/2 - (b1y2+b2y1)/2]^2 rho2 = ((b2_x1 + b2_x2) - (b1_x1 + b1_x2)) ** 2 / 4 + ((b2_y1 + b2_y2) - (b1_y1 + b1_y2)) ** 2 / 4 if DIoU: return iou - rho2 / c2 # DIoU elif CIoU: # https://github.com/Zzh-tju/DIoU-SSD-pytorch/blob/master/utils/box/box_utils.py#L47 # CIoU同时考虑了重叠面积, 中心点之间的距离和长宽比. CIoU可以在BBox回归问题上获得更好的收敛速度和精度 v = (4 / math.pi ** 2) * torch.pow(torch.atan(w2 / h2) - torch.atan(w1 / h1), 2) with torch.no_grad(): alpha = v / (1 - iou + v) return iou - (rho2 / c2 + v * alpha) # CIoU return iou # 损失计算函数 def compute_loss(p, targets, model): # predictions, targets, model ... # prediction subset corresponding to targets ps = pi[b, a, gj, gi] # get prediction: xywh pxy = ps[:, :2].sigmoid() pwh = ps[:, 2:4].exp().clamp(max=1E3) * anchors[i] # predicted box pbox = torch.cat((pxy, pwh), 1) # giou(prediction, target) giou = bbox_iou(pbox.t(), tbox[i], x1y1x2y2=False, GIoU=True) lbox += (1.0 - giou).mean() # giou loss ...
需要注意:
- 理论上: CIoU Loss > DIoU Loss > GIoU Loss > IoU Loss > BCE Loss > L2 Loss。但是具体的做项目的时候,还是需要自己一个个的试试,可能不同的数据集得到的结果并不一样。
1.1 IoUloss变体——Alpha-IoU
paper:Alpha-IoU: A Family of Power Intersection over Union Losses for Bounding Box Regression
paperlink:https://arxiv.org/pdf/2110.13675.pdf
- 前言:
目标检测通过Bounding box回归来预测来定位图像中的目标,早期的目标检测工作使用IoU作为定位损失。然而,当预测框与Ground truth不重叠时,IoU损失会出现梯度消失问题,导致收敛速度减慢,导致检测器不准确。这激发了几种改进的基于IoU的损失设计,包括GIoU、DIoU、CIoU。GIoU在IoU损失中引入惩罚项以缓解梯度消失问题,而DIoU和CIoU在惩罚项中考虑了预测框与Ground truth 之间的中心点距离和宽高比。
- idea:
通过在现有的IoU Loss中引入power 变换,提出了一个新的IoU损失函数,称为α-IoU,用于精确的bbox回归和目标检测。α-IoU是基于IoU的现有损失的统一幂化。
- α-IoU家族表达式:
其实α-IoU其实非常简单,在IOU及惩罚项表达式中进行了幂的运算
2. focal loss实现代码
由于之前介绍过RetinaNet的论文:《论文阅读笔记 | 目标检测算法——RetinaNet(focal loss、含与SSD,RCNN,YOLO的对比)》,这里直接贴上公式。
公式:
YOLOv3-SPP代码:
class FocalLoss(nn.Module): # Wraps focal loss around existing loss_fcn(), i.e. criteria = FocalLoss(nn.BCEWithLogitsLoss(), gamma=1.5) def __init__(self, loss_fcn, gamma=2, alpha=0.25): super(FocalLoss, self).__init__() self.loss_fcn = loss_fcn # must be nn.BCEWithLogitsLoss() self.gamma = gamma # 参数gamma self.alpha = alpha # 参数alpha # reduction: 控制损失输出模式 sum/mean/none 这里定义的交叉熵损失BCE都是mean self.reduction = loss_fcn.reduction self.loss_fcn.reduction = 'none' # 不知道这句有什么用? required to apply FL to each element def forward(self, pred, true): loss = self.loss_fcn(pred, true) # 普通BCE Loss # p_t = torch.exp(-loss) # loss *= self.alpha * (1.000001 - p_t) ** self.gamma # non-zero power for gradient stability # TF implementation https://github.com/tensorflow/addons/blob/v0.7.1/tensorflow_addons/losses/focal_loss.py pred_prob = torch.sigmoid(pred) # prob from logits 如果模型最后没有 nn.Sigmoid(),那么这里就需要对预测结果计算一次 Sigmoid 操作 # ture=0,p_t=1-p; true=1, p_t=p p_t = true * pred_prob + (1 - true) * (1 - pred_prob) # ture=0, alpha_factor=1-alpha; true=1,alpha_factor=alpha alpha_factor = true * self.alpha + (1 - true) * (1 - self.alpha) modulating_factor = (1.0 - p_t) ** self.gamma # loss = focal loss(代入公式即可) loss *= alpha_factor * modulating_factor if self.reduction == 'mean': # 一般是mean return loss.mean() elif self.reduction == 'sum': return loss.sum() else: # 'none' return loss
补充:这里代码中对公式进行了一定的改动,使得计算更加稳定
2.1 focal loss变体——Equalized Focal Loss
paper:Equalized Focal Loss for Dense Long-Tailed Object Detection
- idea:
通过将一个类别相关的调制因子引入Focal Loss。具有两个解耦的动态因子(即聚焦因子和加权因子)的调制因子独立处理不同类别的正负不平衡。focusing factor根据硬正样本对应类别的不平衡程度,决定了对硬正样本的学习集中度。加权因子增加了稀有类别的影响,确保了稀有样本的损失贡献不会被频繁的样本所淹没。这两个因素的协同作用使EFL在长尾场景中应用一阶段检测器时,能够均匀地克服前景-背景不平衡和前景类别不平衡。这是是一种广义的Focal Loss形式,扩展了原始的Focal Loss,可以同时解决前景-背景不平衡和前景类别不平衡的问题。
- 亮点:
主要解决目标检测的长尾分布问题,提出了基于单阶段的长尾目标检测的第一个解决方案。它简单而有效地超越了所有现有的方法。
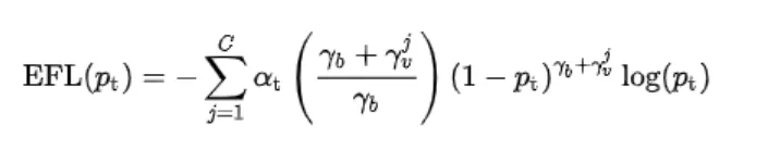
- 公式:
- 简要分析:
参数Yj是第j类的Focusing Factor,它在Focal Loss中起着与Y起类似的作用。一个大Y将大大减少大多数阴性样本的损失贡献,从而提高阳性样 本的影响,这里Yj=Yb+Yvj。其中Yvj=s(1-gj),gj值较大表示第j类 (例如频繁) 是训练平衡,这样Y总值就会较小,不需要过度平衡;但较小值表示类别(例如罕见)是训练不平衡,因为Y总值就会较大,表示需要平衡一下;超参数s是决定EFL中Yvj上限的缩放因子。但即使使用了Focusing Factor Yj仍然有 2 个障碍损失的性能,于是作者提出了Weighting Factor,通过重新平衡不同类别的损失贡献来缓解上述问题。与Focusing Factor相似为罕见类别分配了一个较大的权重因子值,以提高其损失贡献,同时保持频繁类别的权重因子接近于1;而对于类别常见的就分配一个较小的权重因子值,以减少他的损失贡献,其实思想上本质还是一样的。
2.2 focal loss变体——cyclical focal loss
paper:CYCLICAL FOCAL LOSS
- idea:
提出一种新颖的cyclical focal loss,并证明它是比交叉熵 softmax 损失或focal loss更通用的损失函数,为平衡、不平衡或长尾数据集提供了卓越的性能。
- 公式:
参考资料:





