✅作者简介:热爱科研的Matlab仿真开发者,修心和技术同步精进,matlab项目合作可私信。
🍎个人主页:Matlab科研工作室
🍊个人信条:格物致知。
更多Matlab仿真内容点击👇
⛄ 内容介绍
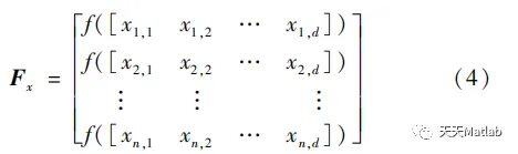
麻雀搜索算法是一种新型的群智能优化算法, 在2020 年由Xue 等[15] 提出,主要是受麻雀的觅食 和反哺食行为启发,具有寻优能力强、收敛速度快的特点。麻雀搜索算法将整个麻雀种群分为三类,即寻找食物的生产者,抢夺食物的加入者和发现危险的警戒者。生产者和加入者可以相互转化,但各自在 种群中的占比不会发生变化。在模拟实验中,需要使用虚拟麻雀进行食物的 寻找,与其他寻优算法相同,麻雀搜索算法首先需要对麻雀种群与适应度值进行初始化,麻雀种群可 初始化为如下形式,表达式为式(3)
中:n为麻雀的数量;d为要优化的变量的维度即独立参数的数目;xnd为第n只麻雀第d维度的值。由此,总体麻雀适应度值表征形式为
式(4)中:f(x)为个体适应度值。适应度值较好的麻雀(即生产者)在搜索中会优先获得食物并指引群体的觅食方向与范围,与此同时,生产者会具有更大的觅食搜索范围。生产者在觅食过程中,位置不断发生移动,而在遇到捕食者时,移动规则又会发生改变,即
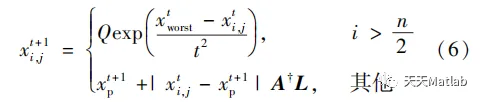
式(5)中:t为当前迭代次数;j∈{1,2,…,d};xit,j为迭代第t次时,第i个麻雀的第j个维度的值;α∈(0,1],为随机数;iter_max为迭代次数最多的常数;R2∈[0,1],为报警值;ST∈[0,1],为安全阈值;Q为服从正态分布的随机数;L为1×d阶矩阵(元素全为1)。R2<ST时,代表该区域安全,无捕食者出没,生产者会出现大范围觅食行为;R2≥ST时,表示一些麻雀发现了捕食者并发出警告,所有麻雀迅速飞入安全区域。而对加入者而言,在觅食过程中,一旦生产者找到了好的食物源,加入者必会知晓,并飞向它的附近抢食,同时,也有加入者会时刻监视生产者,随时准备争抢食物。由此加入者的位置更新规则为
式(6)中:xp为生产者占据的最佳位置;xworst为全局最差位置;A为1×d阶矩阵,每个元素随机为1或-1;A†=AT(AAT)-1。当i>时,表示适应性较差的第i个加入者抢夺食物失败,为了更好地获得食物避免挨饿只能飞往其他地区进行觅食。总体而言,假设意识到危险的麻雀(即警戒者)占10%~20%。初始位置则随机产生,规则为
式(7)中:λ为步长控制函数,是一个均值为0,方差为1的正态分布随机数;fi为当前麻雀适应值;fg为全局最好适应值;fw为全局最差适应值;k为麻雀移动方向;xbest为全局最优位置;ε为最小常数,避免除数为零。当fi>fg时,警戒者位于种群边缘,意识到危险后向中央安全区靠近;当fi=fg时,则是处于种群中央的麻雀意识到了危险,为躲避危险,则向其他麻雀身边靠拢。
⛄ 部分代码
%_________________________________________________________________________________
% Salp Swarm Algorithm (SSA) source codes version 1.0
%
% Main paper:
% S. Mirjalili, A.H. Gandomi, S.Z. Mirjalili, S. Saremi, H. Faris, S.M. Mirjalili,
% Salp Swarm Algorithm: A bio-inspired optimizer for engineering design problems
% Advances in Engineering Software
% DOI: http://dx.doi.org/10.1016/j.advengsoft.2017.07.002
%____________________________________________________________________________________
function [FoodFitness,FoodPosition,Convergence_curve]=SSA(N,Max_iter,lb,ub,dim,fobj)
if size(ub,1)==1
ub=ones(dim,1)*ub;
lb=ones(dim,1)*lb;
end
Convergence_curve = zeros(1,Max_iter);
%Initialize the positions of salps
SalpPositions=initialization(N,dim,ub,lb);
FoodPosition=zeros(1,dim);
FoodFitness=inf;
%calculate the fitness of initial salps
for i=1:size(SalpPositions,1)
SalpFitness(1,i)=fobj(SalpPositions(i,:));
end
[sorted_salps_fitness,sorted_indexes]=sort(SalpFitness);
for newindex=1:N
Sorted_salps(newindex,:)=SalpPositions(sorted_indexes(newindex),:);
end
FoodPosition=Sorted_salps(1,:);
FoodFitness=sorted_salps_fitness(1);
%Main loop
l=2; % start from the second iteration since the first iteration was dedicated to calculating the fitness of salps
while l<Max_iter+1
c1 = 2*exp(-(4*l/Max_iter)^2); % Eq. (3.2) in the paper
for i=1:size(SalpPositions,1)
SalpPositions= SalpPositions';
if i<=N/2
for j=1:1:dim
c2=rand();
c3=rand();
%%%%%%%%%%%%% % Eq. (3.1) in the paper %%%%%%%%%%%%%%
if c3<0.5
SalpPositions(j,i)=FoodPosition(j)+c1*((ub(j)-lb(j))*c2+lb(j));
else
SalpPositions(j,i)=FoodPosition(j)-c1*((ub(j)-lb(j))*c2+lb(j));
end
%%%%%%%%%%%%%%%%%%%%%%%%%%%%%%%%%%%%%%%%%%%%%%%%%%%%%%
end
elseif i>N/2 && i<N+1
point1=SalpPositions(:,i-1);
point2=SalpPositions(:,i);
SalpPositions(:,i)=(point2+point1)/2; % % Eq. (3.4) in the paper
end
SalpPositions= SalpPositions';
end
for i=1:size(SalpPositions,1)
Tp=SalpPositions(i,:)>ub';Tm=SalpPositions(i,:)<lb';SalpPositions(i,:)=(SalpPositions(i,:).*(~(Tp+Tm)))+ub'.*Tp+lb'.*Tm;
SalpFitness(1,i)=fobj(SalpPositions(i,:));
if SalpFitness(1,i)<FoodFitness
FoodPosition=SalpPositions(i,:);
FoodFitness=SalpFitness(1,i);
end
end
Convergence_curve(l)=FoodFitness;
l = l + 1;
end
⛄ 运行结果
⛄ 参考文献
[1]黄敬宇. 融合t分布和Tent混沌映射的麻雀搜索算法研究[D]. 兰州大学.







