主要介绍在三种插值方法:拉格朗日插值、分段线性插值、三次样条插值,以及这三种方法在matlab中如何实现。
拉格朗日插值:
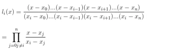
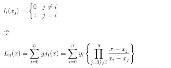
基本原理:先构造一组基函数:
是次多项式,满足
上式称为次Lagrange插值多项式。
用Matlab作Lagrange插值:
matlab没有现成的lagrange函数,需要手动写,如下:
x0,y0为原始坐标点,维度必须相同。
x为待插值的点。
y是返回值,是最终插值结果。
function Lagrange(X,Y,x0) Len_y=length(Y); Len_x=length(X); if Len_y~=Len_x errorlog('维数不等'); else syms x; p=0; for i=1:Len_y q=1; for j=1:Len_x if j~=i q=q*(x-X(j))/(X(i)-X(j)); end end p=p+q*Y(i); end simplify(p); if nargin==3 sprintf('给定点处的函数值得近似值为: %f',subs(p,'x',x0)) else sprintf('所求的拉格朗日的插值函数为: ') p=collect(p); p=vpa(p,6), end end end
分段线性插值:
基本原理:
将每两个相邻的节点用直线连起来,如此形成的一条折线就是分段线性插值函数。计算点的插值时,只用到左右的两个节点,计算量与节点个数n(初始值x0,y0的长度,n=length(x0))无关,而拉格朗日插值与n值有关。分段线性插值中n越大,分段越多,插值误差越小。
Matlab实现分段线性插值:
用matlab实现分段线性插值不需要自己手动编写函数,matlab有现成的一维插值函数interp1y=interp1(x0,y0,x,'method')
method指定插值方法,其值可为:
linear:线性插值(默认)
nearest:最近项插值
spline:逐次3次样条插值
cubic:保凹凸性 3 次插值
所有插值方法都要求x0单调。
三次样条插值:
使用三次样条插值有两种方法:其中一种就是第二种插值方式(分段线性插值),只需要将method修改为spline即可实现。
还有一种实现方式如下:
pp=csape(x0,y0);
y=ppval(pp,x);
其中x0,y0,x与前面含义相同,返回值y即插值结果。
例题):
表1给出的 x, y 数据位于机翼断面的下轮廓线上,假设需要得到 x 坐标每改变0.1 时的 y 坐标。试完成加工所需数据,画出曲线。要求用 Lagrange、分段线性和三次样条三种插值方法计算。
表1
x 0 3 5 7 9 11 12 13 14 15
y 0 1.2 1.7 2.0 2.1 2.0 1.8 1.2 1.0 1.6
解:编写代码如下:
clear,clc x0=[0,3,5,7,9,11,12,13,14,15]; y0=[0,1.2,1.7,2.0,2.1,2.0,1.8,1.2,1.0,1.6]; x1=[0:0.1:15]; %拉格朗日插值 y1=lagrange(x0,y0,x1); figure plot(x0,y0,x1,y1,'.') title('拉格朗日插值') %分段线性插值 y2=interp1(x0,y0,x1); figure plot(x0,y0,x1,y2,'.') title('分段线性插值') %三次样条插值 y3=interp1(x0,y0,x1,'spline'); figure plot(x0,y0,x1,y3,'.') title('三次样条插值')
lighting 调用语法:
lighting options %设置照明模式
该指令只有在light指令执行执行后在起作用,此外options有以下四种取值:
flat:入射光均匀洒落在图形上的每个面上,主要与facted配用,他是默认模式。
gouraud:先对顶点颜色插补,再对顶点勾划的面色进行插补,用于曲面表现。
phong:对定点出法线插值,在计算各个像素的反光,表现效果最好。
none:使所有光源关闭。
matlab中x.^2与x^2有什么区别?
.^2是矩阵中的每个元素都求平方,^2是求矩阵的平方或两个相同的矩阵相乘,因此要求矩阵为方阵,且看下面的例子
x=1:4
x =
1 2 3 4
x.^2
ans =
1 4 9 16
x^2
Error using ^
Inputs must be a scalar and a square matrix.
To compute elementwise POWER, use POWER (.^) instead.
x=[1 2;3 4]
x =
1 2
3 4
x^2
ans =
7 10
15 22
x.^2
ans =
1 4
9 16

