基本语法
字符串 都要加双引号, 可以加\n换行符
注释 双斜杠// 或/* */
有向图 digraph, 节点关系: 指向->
无向图 graph, 节点关系: 连通 --
属性 node[attribute1=value1, attribute2=value2]
大小: size=”2,2”; 单位为英寸
标签: label=”显示在图上的内容”
边:edge [color=red,style=dotted]; 这句话之后生效
节点:node [color=navy]; 这句话之后生效
边方向:rankdir=参数值;LR(从左到右),RL,BT,TB
节点形状: a[shape=box]; 默认是椭圆
边框大小:a[width=.1,height=2.5]; 单位为英寸
边框颜色:a[color=red];
构造边
详细资料:
官方文档:http://www.graphviz.org/documentation/
属性设置:https://graphviz.gitlab.io/_pages/doc/info/attrs.html
节点形状:https://graphviz.gitlab.io/_pages/doc/info/shapes.html
箭头形状:https://graphviz.gitlab.io/_pages/doc/info/arrows.html
颜色配置:https://graphviz.gitlab.io/_pages/doc/info/colors.html
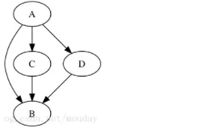
基本图形绘制
digraph G { A -> B; A -> C -> B; A -> D -> B; }
图片
节点形状
digraph G { size = "4, 4"; main [shape=box]; /* 这是注释 */ main -> parse [weight=8]; parse -> execute; main -> init [style=dotted]; main -> cleanup; execute -> { make_string; printf} init -> make_string; edge [color=red]; // 设置生效 main -> printf [style=bold,label="100 times"]; make_string [label="make a\n字符串"]; node [shape=box,style=filled,color=".7 .3 1.0"]; execute -> compare; }
标签
digraph G { a -> b -> c; b -> d; a [shape=polygon,sides=5,peripheries=3,color=lightblue,style=filled]; c [shape=polygon,sides=4,skew=.4,label="hello world"] d [shape=invtriangle]; e [shape=polygon,sides=4,distortion=.7]; }
类似HTML的样式
digraph html { abc [shape=none, margin=0, label=< <TABLE BORDER="0" CELLBORDER="1" CELLSPACING="0" CELLPADDING="4"> <TR> <TD ROWSPAN="3"><FONT COLOR="red">hello</FONT><BR/>world</TD> <TD COLSPAN="3">b</TD> <TD ROWSPAN="3" BGCOLOR="lightgrey">g</TD> <TD ROWSPAN="3">h</TD> </TR> <TR> <TD>c</TD> <TD PORT="here">d</TD> <TD>e</TD> </TR> <TR> <TD COLSPAN="3">f</TD> </TR> </TABLE>>]; }
二分查找树
digraph g { node [shape = record,height=.1]; node0[label = "<f0> |<f1> G|<f2> "]; node1[label = "<f0> |<f1> E|<f2> "]; node2[label = "<f0> |<f1> B|<f2> "]; node3[label = "<f0> |<f1> F|<f2> "]; node4[label = "<f0> |<f1> R|<f2> "]; node5[label = "<f0> |<f1> H|<f2> "]; node6[label = "<f0> |<f1> Y|<f2> "]; node7[label = "<f0> |<f1> A|<f2> "]; node8[label = "<f0> |<f1> C|<f2> "]; "node0":f2 -> "node4":f1; "node0":f0 -> "node1":f1; "node1":f0 -> "node2":f1; "node1":f2 -> "node3":f1; "node2":f2 -> "node8":f1; "node2":f0 -> "node7":f1; "node4":f2 -> "node6":f1; "node4":f0 -> "node5":f1; }
示例
//定义节点属性 digraph g { //==========定义节点关系============ a->b; b->c; c->a; c->d->e->f; d->g; e->h; //==========定义节点属性============ //定义a节点为长方形, 样式为填充, 填充颜色为#ABACBA a[shape=box,label="Server1\nWebServer",fillcolor="#ABACBA",style=filled]; //定义b为5边形, 标签为"bb", 样式为填充, 填充色为red b[shape=polygon,sides=5,label="bb",style=filled,fillcolor=red]; //c, 默认为椭圆 d[shape=circle]; //园 e[shape=triangle]; //三角形 f[shape=polygon, sides=4, skew=0.5]; //平行四边形 g[shape=polygon, distortion=0.5]; //梯形, 上边长 h[shape=polygon, distortion=-.5]; //梯形, 下边长 }
有向图
digraph g { //edge[style=dashed]; //定义边的样式, 虚线 node[peripheries=2, style=filled, color="#eecc80"]; a->b [color=red, style=dashed]; //定义边的颜色, 红色 (b和方括号之间必须有空格) b->c; //箭头, 三角形; 箭尾, 菱形 b->d [arrowhead=box]; //箭头, 长方形 b->e [dir=none]; //没有箭头 d->f [dir=both]; //双向箭头 f->h [label=go]; //定义edge的标签 f->k [arrowhead=diamond]; //更改箭头形状 k->y [headlabel="哈哈", taillabel="洗洗"]; }
// (更多箭头形状请参考官方文档: http://www.graphviz.org/content/arrow-shapes)
无向图
graph g { edge[style=dashed]; //定义边的样式, 虚线 a -- b [color=red]; //定义边的颜色, 红色 (b和方括号之间必须有空格) }









