决策树
思想:程序设计中分支结构if-then结构
信息熵
信息的单位:比特
信息和消除不确定性相联系
信息熵越大,不确定性越大,获取信息付出的代价越大
信息熵公式
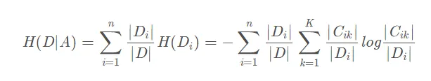
信息增益
决策树的划分依据之一
信息增益:
得知一个特征A的信息而使得集合D的信息不确定性减少的程度
信息熵计算
条件熵计算
Ck 表示属于某类别的样本数
计算举例
1、数据
ID 年龄 房子 类别 1 青年 无 否 2 青年 无 否 3 青年 有 是 4 青年 无 否 5 中年 有 否 6 中年 有 否 7 中年 有 是 8 老年 无 是 9 老年 有 否 10 老年 无 否
2、计算
# 经验熵: H(D) = -(4/10log(4/10) + 6/10log(6/10)) = 0.97 # 年龄条件熵: H(D|年龄) = 1/3H(青年) + 1/3H(中年) + 1/3H(老年) H(青年) = -(1/4log(1/4) + 3/4log(3/4)) = 0.81 H(中年) = -(1/3log(1/3) + 2/3log(2/3)) = 0.92 H(老年) = -(2/3log(2/3) + 1/3log(1/3)) = 0.92 H(D|年龄) = 1/3 * 0.81 + 1/3 * 0.92 + 1/3 * 0.92 = 0.88 # 年龄信息增益: g(D, 年龄) = H(D) - H(D|年龄) = 0.97 - 0.88 = 0.09 # 房子条件熵 H(D|房子) = 1/2H(有) + 1/2H(无) H(有) = -(2/5log(2/5) + 3/5log(3/5)) = 0.97 H(无) = -(1/5log(1/5) + 4/5log(4/5)) = 0.72 H(D|房子) = 1/2 * 0.97 + 1/2 * 0.72 = 0.84 # 房子信息增益 g(D, 房子) = H(D) - H(D|房子) = 0.97 - 0.84 = 0.13 # 信息增益比较 g(D, 房子) > g(D, 年龄)
常见决策树使用的算法
ID3 信息增益最大准则
C4.5 信息增益比最大准则
CART
回归树:平方误差最小
分类树:基尼系数最小的准侧(划分更加仔细) sklean中默认划分原则
graphviz
决策树结构保存查看
1、安装graphviz
brew install graphviz
dot 转换为 png
$ dot -Tpng tree.doc -o tree.png
2、python接口
pip install graphviz
文档:https://graphviz.readthedocs.io/en/stable/index.html
代码示例
泰坦尼克数据集下载
https://www.kaggle.com/c/titanic/data
import pandas as pd from graphviz import render from sklearn.feature_extraction import DictVectorizer from sklearn.model_selection import train_test_split from sklearn.tree import DecisionTreeClassifier, export_graphviz # 读取数据 train = pd.read_csv("source/train.csv") # 选取数据集和目标集 data = train[["Pclass", "Sex", "Age"]] target = train["Survived"] # 关闭警告 pd.set_option('mode.chained_assignment', None) # 缺失值处理 data["Age"].fillna(data["Age"].mean(), inplace=True) # 处理分类数据 数值替换为文本 data["Pclass"].replace(1, "low", inplace=True) data["Pclass"].replace(2, "middle", inplace=True) data["Pclass"].replace(3, "high", inplace=True) # 拆分数据集成训练集和测试集 X_train, X_test, y_train, y_test = train_test_split( data, target, test_size=0.25) # 特征工程,类别-> One-Hot编码 dct = DictVectorizer(sparse=False) X_train = dct.fit_transform(X_train.to_dict(orient="records")) X_test = dct.transform(X_test.to_dict(orient="records")) print(dct.get_feature_names()) # ['Age', 'Pclass=high', 'Pclass=low', 'Pclass=middle', 'Sex=female', 'Sex=male'] # 决策树进行预测 decision = DecisionTreeClassifier(max_depth=5) decision.fit(X_train, y_train) print(decision.score(X_test, y_test)) # 0.80 # 导出决策树 filename = "tree.dot" feature_names = ['年龄', '高层', '中层', '底层', '女性', '男性'] export_graphviz(decision, filename, feature_names=feature_names) # 渲染保存决策树 render("dot", "png", filename)
决策树优缺点
优点:
简单的理解和解释,树木可视化
需要很少的数据准备,其他技术通常需要数据归一化
缺点
决策树学习者可以创建不能很好地推广数据的过于负责的树,被称为过拟合
改进
减枝cart算法,决策树API中已经实现,随机森林参数调优有相关介绍
随机森林
企业重要决策,由于决策树很好的分析能力,在决策过程应用较多





