NO.12 企业业务部署基本概念与业务快速编排上线,备份容灾使用教程

简介:

本篇主要整理针对初步了解阿里云产品的朋友,通过基本概念栏目了解阿里云产品基本概念和一些常用的功能,并通过学习后面的快速编排实现业务的快速部署和应用,并学会如何进行业务的备份容灾以及业务迁移,使得您在看完本篇后,对功能使用有所了解。

企业业务基础概念与便捷操作教程

云原生存储和云存储有什么区别?
https://yq.aliyun.com/articles/726103?spm=a2c4e.11153940.bloghomeflow.193.2b9f291a0J7HrX

阿里云ECS经典网络和专有网络有什么区别?
https://yq.aliyun.com/articles/721202?spm=a2c4e.11153940.bloghomeflow.375.2b9f291a0J7HrX

怎么设置阿里云ECS服务器自定义脚本?
https://yq.aliyun.com/articles/739567?spm=a2c4e.11153940.bloghomeflow.7.2b9f291a0J7HrX

快照策略为数据备份
https://yq.aliyun.com/articles/738519?spm=a2c4e.11153940.bloghomeflow.37.2b9f291a0J7HrX

利用NAT让业务变得更简单
https://yq.aliyun.com/articles/731506?spm=a2c4e.11153940.bloghomeflow.93.2b9f291a0J7HrX

通过阿里云实现NAS共享文件存储
https://yq.aliyun.com/articles/730346?spm=a2c4e.11153940.bloghomeflow.99.2b9f291a0J7HrX

云存储网关——文件网关
https://yq.aliyun.com/articles/728289?spm=a2c4e.11153940.bloghomeflow.107.2b9f291a0J7HrX

web防火墙配置防护CC 攻击
https://yq.aliyun.com/articles/727774?spm=a2c4e.11153940.bloghomeflow.125.2b9f291a0J7HrX

阿里云的企业安全最佳实践
https://yq.aliyun.com/articles/726093?spm=a2c4e.11153940.bloghomeflow.195.2b9f291a0J7HrX

对ECS云服务器的系统盘进行磁盘扩容
https://yq.aliyun.com/articles/727059?spm=a2c4e.11153940.bloghomeflow.167.2b9f291a0J7HrX

企业业务快速上线部署

快速部署容器化应用
https://yq.aliyun.com/articles/723535?spm=a2c4e.11153940.bloghomeflow.267.2b9f291a0J7HrX

批量在多台ECS内执行命令的最佳实践
https://yq.aliyun.com/articles/720817?spm=a2c4e.11153940.bloghomeflow.395.2b9f291a0J7HrX

使用ROS创建一组ECS
https://yq.aliyun.com/articles/721063?spm=a2c4e.11153940.bloghomeflow.379.2b9f291a0J7HrX

一键批量更换系统盘
https://yq.aliyun.com/articles/721173?spm=a2c4e.11153940.bloghomeflow.377.2b9f291a0J7HrX

使用ROS创建ECS,安装MySQL并生成用户
https://yq.aliyun.com/articles/721044?spm=a2c4e.11153940.bloghomeflow.381.2b9f291a0J7HrX

Terraform 一分钟部署阿里云ECS集群(含视频)
https://yq.aliyun.com/articles/720970?spm=a2c4e.11153940.bloghomeflow.385.2b9f291a0J7HrX

企业业务迁移
阿里云VMware无代理整机迁移服务初体验
https://yq.aliyun.com/articles/726807?spm=a2c4e.11153940.bloghomeflow.173.2b9f291a0J7HrX

相关实践学习
通义万相文本绘图与人像美化
本解决方案展示了如何利用自研的通义万相AIGC技术在Web服务中实现先进的图像生成。
7天玩转云服务器
云服务器ECS(Elastic Compute Service)是一种弹性可伸缩的计算服务,可降低 IT 成本,提升运维效率。本课程手把手带你了解ECS、掌握基本操作、动手实操快照管理、镜像管理等。了解产品详情: https://www.aliyun.com/product/ecs
相关文章
|
索引 容器
UE5 学习笔记-01
UE5 学习笔记
|
存储 物联网 网络性能优化
|
SQL 关系型数据库 MySQL
在 MySQL 中使用子查询
【8月更文挑战第12天】
568 0
在 MySQL 中使用子查询
|
11月前
|
存储 JavaScript 前端开发
块级作用域和函数作用域的区别在哪些方面会对性能产生影响?
【10月更文挑战第29天】块级作用域和函数作用域在变量查找效率、内存管理、闭包、代码执行顺序以及作用域链维护等方面的区别,都会在不同程度上对性能产生影响。在实际开发中,需要根据具体的代码逻辑、应用场景和性能需求,合理地选择和运用这两种作用域,以达到最佳的性能和代码质量平衡。
|
JavaScript 开发者 前端开发
浅谈Vue.js与原生开发
Vue.js 是一款流行的前端框架,以其独特的模板语法简化了动态视图创建,通过指令和表达式便捷处理数据。与原生开发相比,Vue.js 提供了Vue Router进行高效路由管理,Vuex进行状态集中管理,以及丰富的生态系统和工具链如Vue CLI。Vue组件化开发、响应式数据绑定和单文件组件提高了代码复用和可维护性,但原生开发在性能和直接操作DOM方面可能更具优势。
237 0
|
搜索推荐 算法 API
向量数据库-Milvus
Milvus 是一个开源的、高性能的向量数据库,专为海量向量数据的快速检索而设计。在人工智能、计算机视觉、推荐系统和其他需要处理大规模向量数据的领域有着广泛应用【7月更文挑战第3天】
1894 7
|
存储 监控 数据可视化
Zabbix分布式监控配置和使用
Zabbix分布式监控配置和使用
349 0
|
JSON 数据可视化 JavaScript
颜值爆表!推荐两款JSON可视化工具,配合Swagger使用真香
经常使用Swagger的小伙伴应该有所体会,Swagger对于JSON的支持真的很不友好!最近发现了两款颜值很不错的JSON可视化工具,可以优雅地展示JSON数据从而提高开发效率,推荐给大家! 聊聊Swagger 我们先来聊聊Swagger对JSON支持有哪些不友好的地方,我们为什么需要JSON可视化工具! 当我们使用Swagger提交POST请求,输入JSON请求参数时,它既不支持JSON格式校验,也不支持格式化,用起来很不方便;
|
自然语言处理 索引
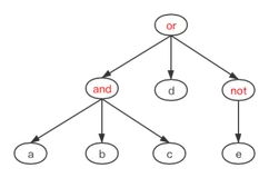
一种快速的复杂逻辑表达式求取方法
背景最简单的逻辑表达式求取方法是求取所有每个子表达式的值,然后再带入复杂逻辑表达式依次计算得到最终结果,时间复杂度较高。简单的“或运算”和“与运算”,以短路方式实现,不需要计算所有的子表达式的值,计算效率较高。但是,以“或运算”、“与运算”、“否运算”和“嵌套运算”等子表达式组成的复杂逻辑表达式,不能简单的套用短路运算。本专利,通过“构建逻辑表达式树”及“逐级向上触发树节点”的方式,实现了一种快速
一种快速的复杂逻辑表达式求取方法
|
存储 SQL 算法
PolarDB-X 优化器核心技术 ~ 计算下推
PolarDB-X 是一个存储计算分离架构的分布式 HTAP 数据库,包含计算节点(CN)和数据节点(DN)。存储计算分离架构中,CN 节点获得了接近无限的 scale out 能力,代价是引入了 CN 与 DN 通信的网络开销。通过将查询直接下发到 DN 上执行,CN 仅做结果转发,可以减少 CN 和 DN 间多次网络交互带来的延迟。我们把这种“将查询下发到 DN 上执行”的能力,称为计算下推。本文介绍 PolarDB-X 在计算下推方面的探索
1001 0