带你读《移动传感器与情境感知计算》之三:传感器和执行器

简介: 本书介绍了如何将硬件、软件、传感器和操作系统融合起来,以创建新型情境感知移动应用,并结合移动计算展示了创新的移动和传感器解决方案。

点击查看第一章
点击查看第二章
第3章
Mobile Sensors and Context-Aware Computing

传感器和执行器

本章内容

  • 术语概述
  • 传感器生态系统
  • 加速度计
  • 陀螺仪
  • 磁场传感器
  • 光传感器
  • 接近传感器
  • 温度传感器、压力传感器、生物传感器

3.1 术语概述

传感器、变换器和执行器件是构成传感器生态系统的基础。本节介绍它们的基本定义。
传感器是一种将物理活动或变化转换为电信号的设备。它是物理或现实世界与电子系统和计算设备组件之间的接口。一种最简单的形式为:传感器响应某种物理变化或刺激并输出某种形式的电信号或数据。传感器需要产生计算系统可以处理的数据。例如,打开洗衣机会停止洗涤循环,打开房门会导致房屋警报激活。如果没有对这些物理活动的感知,洗涤周期或房屋警报的触发将没有变化。
变换器是将一种形式的输入(能量或信号)转换成另一种形式的设备,如图3-1所示。变换器可以是我们先前定义的传感器的一部分。很多时候,传感器和变换器会互换使用,但是,我们可以通过使用传感器测量物理环境的变化以及使用变换器产生电信号来区分它们,其中变换器在物理环境中测量变化并将其转换为不同形式的能量(如电信号),如图3-2所示。

image.png

组合变换器执行一种能量形式的检测并能产生能量输出。例如,天线可以接收(检测)无线电信号,也可以发送(创建)无线电信号。
变换器的性能可以根据其精度、灵敏度、分辨率和范围来衡量。
执行器件是一种变换器,以一种形式的能量作为输入,产生某种形式的运动、活动或动作。因此,它将某种形式的能量转化为动能。例如,电梯中的电动机将电能转换成从建筑物的一个楼层到另一个楼层的垂直运动。以下是执行器件的主要类别:

  • 气动:这些执行器件将压缩空气中的能量(高压)转换为线性或旋转运动,如液体或气体管道的阀门控制。
  • 电动:这些执行器件将电能转换为机械能,如电动水泵从井中抽水。
  • 机械:这些执行器件将机械能转化为某种形式的运动,如用一个简单的滑轮拉动重物。

image.png

图3-2 传感器与变换器示例

执行器件的性能可以用力、速度和耐久性来衡量。

3.2 传感器生态系统概述

传感器生态系统由许多重要的组件、参与者、支持技术(如传感器类型和无线协议)、制造商、开发人员、市场和消费者组成。让我们看看支持技术中包含的某些类别的传感器,如位置传感器、接近传感器、触摸传感器和生物传感器。

3.2.1 位置传感器

位置传感器可以为表3-1中提到的用例提供帮助。

表3-1 位置传感器用例

image.png
加速度计和陀螺仪是位置传感器,接下来将会对其进行介绍。
加速度计
加速度计是测量固有加速度(g力)的装置。固有加速度与坐标加速度(速度变化率)不同,它是设备或物体相对于自由落体所经历的加速度。例如,一个静止在地球表面的加速度计将测量出一个垂直向上的加速度g=9.81m/s2,因为地球表面上的任何一点相对于局部惯性系(在引力作用下的自由下落的参照系)均加速向上。相比之下,对于地球引力引起的自由下落轨道和加速,加速度计将测量为零,因为要获得相对于地球运动的加速度,必须减去“重力偏移量”并对地球自转相对惯性系引起的效应进行校正。
加速度计的单轴和多轴模型可用于探测固有加速度(或力)的幅度和方向,得到一个矢量,这也可用于检测方向(因重量方向改变)、坐标加速度(只要它产生力或力的变化)、振动、冲击,以及阻抗介质中的下降(从零开始增加的固有加速度变化的情况)。
(1)g力、轴、坐标系
力(来自重力)是一种以重量来度量加速度的力,可以描述为单位质量的重量。它是一个物体所经历的加速度,由作用于物体自由移动的所有非引力和非电磁力的矢量和决定。例如,放置在地球表面的物体上的的力是由地面施加的向上机械力引起的,从而阻止物体自由下落。来自地面的向上接触力保证了静止在地球表面的物体相对于自由落体状态加速。自由落体是物体自由下落到地球中心时所遵循的路径,在自由落体时物体不会真正加速。
(2)计量单位
力加速度的单位是。这有助于区分一个简单的加速度(速度变化率)和力加速度(相对于自由落体)。是地球表面因重力引起的加速度,为标准重力(符号:),定义为或。
(3)重力贡献,静止在表面上的设备行为和自由落体
现在让我们描述轴对加速度计功能的影响。三个轴如图3-3所示。

image.png

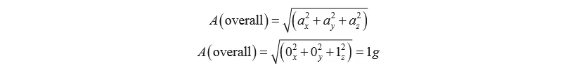
案例1:平坦路面上静止的汽车 在这种情况下,有来自地球表面向上的阻力,该阻力与重力相等且相反。阻止汽车自由下落的加速度为向上方向。如果将单轴加速度计安装在汽车上,使其测量轴水平,则其读数将为,即使汽车在平坦的道路上匀速行驶,其读数仍为。如果汽车停止,那么这个单轴/双轴加速度计将显示一个正加速度或负加速度。如果单轴加速度计安装在汽车上,使其测量轴垂直,那么它的读数将是,因为它可以测量它所停留的表面的反作用力(它不能测量重力)。如果使用三轴加速度计,那么这个加速度计将显示。对于三轴加速度计,加速度定义为:
image.png
所以加速度的方向向上(如图3-4所示)。
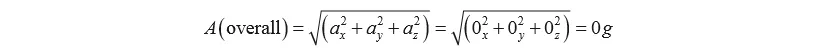
案例2:自由落体的物体 在这种情况下,地球表面没有向上的阻力。物体将具有坐标加速度(速度变化)且无重量(失重)。因此向上的加速度为。这种情况下的加速度计将在所有方向上显示(如图3-5所示)。对于三轴加速度计,加速度定义为:
image.png
image.png

图3-4 加速度计的水平和垂直测量基准与相应力

image.png

图3-5 自由落体的物体

由于在自由落体的情况下和方向上的加速度为零,如果将双轴加速度计水平放置在自由落体对象上,则加速度计无法正确捕获自由落体,因为它无法区分地球上静止的物体和自由落体的物体(即使如前所述静止于地球,它也会显示)。
案例3:物体向下移动 方向向上的正向力会在物体上产生向下的重量。负向力是方向向下的加速度,在向上方向产生重量。假设一个人在电梯里加速下降,由于重力这个人向下加速,被施加的力(向下方向)。因此,在向上方向上,电梯地板对人施加了相等且相反的力。
考虑以下参数:
image.png
(4)倾斜灵敏度和加速度计方向
现在让我们描述不同的参数和倾斜计算。考虑图3-6,其中加速度计为水平测量基准,测量读数为1g。
image.png

图3-6 无倾斜时的方位

image.png
image.png

图3-7 15°倾斜时的净

由于15°的倾斜,读数分别为:
情形1:0g方向加速度计读数变化为:
0G->0.25G(与旧值相比有很大的百分比变化)。
情形2:1g方向的加速度计读数变化为:
1G->0.97G(与旧值相比变化了3%)。
以上可见,情形1的百分比变化远大于情形2,因此0g方向加速度计的倾斜灵敏度大于1g方向加速度计的倾斜灵敏度(如图3-8所示)。
(5)倾斜对加速度计测量的影响[1]
首先让我们复习一下用于倾斜计算的不同参数的定义。考虑一款具有如图3-9所示轴线的智能手机。
、和是智能手机的三个方向轴,其中X向前、Y向侧面(右侧)、Z向下。与上述轴相对应的加速度计的三个轴是、和。加速度计感测轴与智能手机轴在默认位置相匹配。和的符号与和的符号相反。
倾斜计算中的两个重要角度是俯仰角(pitch)和翻滚角(roll)。这些角是相对于垂直于地球重力方向的水平面而言的。
俯仰角(α)是前轴和水平面之间的夹角。当轴在绕轴旋转的同时从平面上升或下降时,俯仰角会发生改变。如果智能手机从平面向上移动到垂直位置,那么俯仰角将从0°变化至+90°。如果智能手机的Xs轴从平面向下移动,俯仰角将从0°变化至-180°。图3-10显示了各种俯仰角度:0°、+30°、+90°、-90°、+179°、-180°等。
image.png

图3-8 垂直安装的加速度计的倾斜灵敏度

image.png

图3-9 加速度计倾斜计算轴

image.png

图3-10 俯仰角

翻滚角()是轴和水平面之间的夹角。当轴在绕轴旋转的同时从平面上升或下降时,翻滚角会发生改变。如果智能手机围绕轴旋转并从平面向上移动到垂直位置,则翻滚角会从0°变化至-90°。如果继续移动直至再次变平,那么翻滚角度将变为-180°。假设角度分辨率为1°,如果智能手机的轴从平面向下移动,则翻滚角将从0°变化至+179°。图3-11显示了各种翻滚角度:0°、+30°、+90°、-90°、+179°、-180°等。
image.png

图3-11 翻滚角

表3-2总结了一些有助于理解智能手机固定位置的加速度计读数。

表3-2 加速度计的三轴读数

image.png
现在让我们看看如何计算倾斜度。这个概念在之前的“倾斜灵敏度和加速度计方向”一节中进行了简要说明。
考虑图3-12,轴和轴相互垂直,轴是沿着水平面的。
image.png

图3-12 倾斜感测的工作原理

image.png
单轴倾斜感测 让我们考虑一个加速度计,它沿水平面有一个感测轴,与重力垂直(如图3-13所示)。
如果该加速度计倾斜(如图3-14所示),则对应的感测加速度计读数如表3-3所示。
image.png

表3-3 单轴加速度计的倾斜度和灵敏度值

image.png
由图3-15可以看出,当倾斜越靠近水平轴时,加速度计测量的灵敏度(的变化)值越大,而越接近重力方向时,灵敏度值越小,在90°或270°时变为。
image.png

图3-15 单轴加速度计灵敏度

双轴倾斜感测 让我们考虑两种不同的双轴加速度计感测的情形。
情形1:传感器位置(垂直) 考虑加速度计围绕轴逆时针旋转(如图3-16所示,角度),那么Z轴和Y轴的灵敏度及对应倾斜角将如图3-17、图3-18和图3-19所示。图3-17、图3-18和3-19中的结论见表3-4。
image.png

图3-16 双轴倾斜感测情形1

image.png

图3-17 轴灵敏度

image.png

图3-18 轴灵敏度

image.png

图3-19 双轴加速度计相对于倾斜角的灵敏度

表3-4 倾斜角与灵敏度的关系

image.png
情形2:传感器位置(水平) 在这类情形下(如图3-20所示),Y轴垂直于,因此加速度计测得的加速度A=g×sin(倾斜角)。但由于,所以这个测量的加速度对于某两个不同的倾斜角来说是相同的,因此很难区分倾斜角度是(如30°)还是(如)。这是这种特殊配置的严重缺陷,因为它不利于倾斜计算。
image.png

图3-20 双轴加速度计无效(需要三轴加速度计)

三轴倾斜感应 将轴与轴及轴组合起来可以帮助提高加速度计的倾斜灵敏度和
精度。
image.png
image.png

图3-21 三轴加速度计和倾斜角度

image.png
image.png
陀螺仪
陀螺仪[2-3]用于确定装置的旋转运动和方向。陀螺仪有MEMS陀螺仪、光纤陀螺仪和振动陀螺仪等不同类型。
(1)机械陀螺仪
机械陀螺仪采用角动量守恒原理(系统的旋转保持恒定,直至受到外部扭矩的影响)。陀螺仪的旋转轴上有一个可以自由旋转的轮子或圆盘,称为转子。旋转轴可以自由呈现任意方向并定义转子的旋转。当安装在平衡环上时,根据角动量守恒定律,旋转轴的方向不受安装平台的运动的影响。平衡环可最大限度地减小外部扭矩。
(2)陀螺仪的组成部分和旋转自由度
陀螺仪由四个主要部件组成(如图3-24所示):陀螺仪框架、平衡环、转子和旋转轴。

image.png

陀螺仪框架是一个外环,它以一个旋转自由度围绕支撑平面内的轴线转动。陀螺仪框架的轴不旋转(旋转自由度为零)。
平衡环是绕某个轴旋转的内环,这个轴与陀螺仪框架的轴垂直。平衡环有两个旋转自由度。
转子的轴定义了与平衡环轴垂直的旋转轴。转子以三个旋转自由度围绕其轴旋转,旋转轴具有两个旋转自由度。转子或陀螺仪的旋转轴方向的改变称为陀螺仪进动(gyroscope precession)[4]。
(3)陀螺仪进动
扭矩是试图使物体绕其旋转轴旋转的力。扭矩的大小取决于施加的力以及轴与施加力点之间的距离,表示为:

image.png

考虑重力作用下的陀螺仪(如图3-25所示)。当轮子/转子不旋转时,来自重力的扭矩会使转子以一个角速度向下旋转[5]。

image.png

使用右手定则(右手手指从杠杆臂的方向弯曲到重力的方向),扭矩指向页面,产生的角速度也指向页面。陀螺仪重力的扭矩为:

image.png

如图3-26所示,如果转子旋转时的初始角动量向量垂直于重力引起的向量,则扭矩会引起角动量向量方向的变化,从而引起转子旋转轴的变化。这种旋转轴或进动的变化将具有角速度。
image.png

图3-26 带旋转转子的陀螺仪

image.png
image.png

图3-27 带旋转转子的陀螺仪(与水平面所成的角度)

image.png
image.png
如果陀螺仪的旋转速度减慢(例如受摩擦影响),则其角动量减少,进动率增加。如果装置旋转速度不够快,不足以支撑其自身重量,则会停止进动并下落,如图3-25所示。

3.2.2 接近传感器

接近传感器是一种能够检测和感知附近物体接近或存在的一种装置,它不需要物理接触。以下是一些不同类型的接近传感器[8]:

  • 电感式:这种类型的传感器用于检测附近的金属物体。传感器会在其自身周围或传感表面产生电磁场。
  • 电容式:这种类型的传感器用于检测金属物体和非金属物体。
  • 光电式:这种类型的传感器用于检测物体,主要组件为光源和接收器。
  • 磁性式:这种类型的传感器使用一个电子开关,该开关基于感应区域的永磁体来操作。

电感式接近传感器的工作原理
电感式接近传感器[9-10]主要由线圈、电子振荡器、检测电路、输出电路和电源组成。这种接近传感器以电感和产生涡流为工作原理。电感的定义是流过导体的电流的变化,它在该导体和附近任何导体中都会引起电压的变化。涡流是由导体中磁场变化所产生的电流。涡流产生的磁场与产生它的磁场相反(如图3-29所示)。
image.png

图3-29 电感式接近传感器的组件

振荡器通过直流电源供电,它产生一个不断变化的交流电(AC)。当AC通过感应线圈时,会产生一个变化的电磁场,该电磁场会在传感器前面创建一个被称为有源表面的金属感应区。图3-30显示了传感器侧边的AC和电磁场的产生,金属物体会因涡流而产生阻抗变化。
image.png

图3-30 接近传感器的工作原理

当金属物体进入电感式接近传感器的检测区域时,该物体内部会形成涡流电路。这种涡流对磁场源产生反应,从而减小电感式传感器自身的振荡场的作用。当振荡幅度减小到低于某个阈值时,传感器的检测电路就会从输出电路[11]触发一个输出。
电容式接近传感器的工作原理
电容式接近传感器[12-13]类似于电感式接近传感器,不同之处在于,电容式接近传感器中产生的是静电场,而不是电磁场。因此,在感应区可以感知金属和非金属物体(如液体、纸张、布和玻璃)。
如图3-31所示,该传感器由用于给电容器充电的交流电路组成。
image.png
图3-31 电容式接近传感器的组件
如果电容式传感器的有源传感表面由电容器的两个金属电极组成,那么输入目标将导致振荡器电路的电容变化。传感电路将检测到这种变化,并在达到阈值时触发输出变化。
如果电容式传感器的有源传感表面仅由电容器的一个金属电极组成,那么输入目标将表现为另一个板。另一个板的存在使传感器电容板能接收或移除AC,从而引起感应电路接收到的电流值发生变化。AC达到变化阈值时,输出电路将显示输出变化。
传感器电容板的调整可用于调节工作距离。这有助于满容器和空容器的检测。传感器的工作距离可以根据目标材料的介电常数进行调整。
介电常数较大的目标材料的有效感测距离大于介电常数较小的目标材料的有效感测距离。例如,对于介电常数为的酒精,电容式传感器具有10mm的有效感测距离,而对于介电常数为的玻璃,相同的电容式传感器只有2mm的感测距离。
光电式接近传感器的工作原理
光电式接近传感器[14]用于检测目标物体的距离(或目标物体是否存在)。它使用一个光发射器(主要为红外线)和一个光电接收器。光电传感器有四种模式:

  • 直接反射型(漫反射):关于这种类型(如图3-32所示),光发射器和接收器都在传感器中,它利用从目标对象直接偏转的光来检测。因此,发送的光/辐射被物体反射并到达接收器是至关重要的。发射器发出的一束光(通常是脉冲红外线、可见光的红波段或激光)在所有方向上扩散,填充探测区域;然后,目标进入该区域,并将部分光束反射回接收器。当足够的光线反射回接收器时触发检测并打开或关闭输出。这种传感器受物体的颜色和表面类型的影响。如果物体是不透明的,那么浅色物体的感测距离会较大,深色物体的感测距离较小。如果物体有光泽,那么工作距离会受表面类型的影响(超过物体颜色)。

漫射模式的改进之一是漫射会聚光束模式(如图3-33所示),其中发射器和接收器都聚焦在传感器前的同一点上,这个点被称为传感器焦点。
传感器可以探测到传感器焦点处或焦点附近检测窗口内的任何物体,而该检测窗口外的任何物体则都将被忽略。这种漫射会聚式传感器相对于简单漫射式传感器能更好地探测低反射目标。
image.png

图3-32 漫射模式的光电式接近传感器

image.png

图3-33 漫射会聚光束模式的光电式接近传感器

图3-34为有两个接收器的带有机械背景抑制的漫射式传感器。第一个接收器从目标捕捉反射光,第二个接收器捕捉来自背景的反射光。如果目标反射的光比来自背景的反射光强,则检测到目标,否则检测不到。
图3-35为带有电子背景抑制的漫射式传感器,其中位置敏感电子设备充当接收器。该接收器将从目标和背景接收到的反射光与预定值进行比较,当目标的反射光强度超过预定强度值时检测到目标。
image.png

图3-34 带有机械背景抑制的漫射模式的光电式接近传感器

image.png

图3-35 带有电子背景抑制的漫射模式的光电式接近传感器

  • 逆向反射型(带反射器)[15]:在这种类型的光电传感器中,发射器和接收器一起被放置在传感器内部,并且需要一个单独的反射器(如图3-36所示)。如果一个物体进入传感器的反射器和接收器之间,那么它们之间的光束就会被中断,则传感器可以检测到中断对象。与大多数目标的反射率相比,由于反射器效率的提高,这些传感器通常具有更长的感测距离。目标颜色和光洁度不会影响该模式下的感测范围。
    image.png

图3-36 逆向反射型光电式接近传感器

  • 偏振反射型(带反射器):这种类型的传感器类似于前面描述的逆向反射型传感器,但它使用的是偏振滤波器,只允许特定相位的光反射回接收器(如图3-37所示)。这有助于传感器将发光物体作为目标,而不是错误地看作反射器,因为反射器反射的光会改变光的相位,而发光目标反射的光则不会。偏振逆向反射型光电传感器必须与角立方反射器一起使用,角立方反射器是一种可以准确地将平行轴上的光能返回给接收器的反射器。偏振逆向反射型传感器适用于具有反射目标的情况。
  • 对射型:这种类型的传感器也称为对置式传感器,它为发射器和接收器提供一个单独的外壳(如图3-38所示)。发射器发出的光束指向接收器。当物体进入发射器和接收器之间时,它会中断二者之间的光束,从而导致传感器的输出发生变化。该模式是最精确和可靠的,且在所有类型的光电传感器中有最长的感测范围。

磁性接近传感器的工作原理
磁性接近传感器由一个簧片开关组成,它是一种由外加磁场操作的电气开关,包含一对可磁化的柔性金属簧片,当开关打开时,金属簧片的末端部分分离(如图3-39所示)。簧片被密封在一个管状的玻璃外壳的两端。当磁场停止时,簧片的刚度使它们分离并断开电路。磁场(来自电磁体或永久磁体)会使簧片闭合在一起,形成一个完整电路;当簧片开关打开时,传感器开启。
image.png

图3-37 偏振型光电传感器

image.png
图3-38 对射型光电传感器

image.png

图3-39 磁性接近传感器

3.2.3 压力传感器

压力传感器是一种可以测量单位面积(主要是液体和气体)上受力大小的装置,它根据施加在其上的压力产生信号。以下是不同类型的压力传感器:

  • 绝压传感器:测量相对于理想真空的压力。
  • 表压传感器:测量相对于大气压的压力。
  • 真空压力传感器:测量低于大气压的压力或测量相对于理想真空的低压。
  • 差压传感器:测量两种压力之间的差异。
  • 密封压力传感器:测量相对于某些固定压力的压力

压力传感器可以分为机械式(如Bourdon tube)或电子式(如硅膜片或不锈钢膜片)。以下是一些集力式电子压力传感器:压阻应变片式压力传感器、电容式压力传感器、电磁式压力传感器、压电式压力传感器和光学式压力传感器。
压力传感器的工作原理[16]
首先让我们讨论压电电阻的工作原理,或者如何在压力传感器中使用某些金属的压电特性。
在某些材料(导体和半导体)中,由于施加压力或应变而引起的原子间距的变化会影响价带与导带底部之间的能量差。这种变化要么有助于电子跃迁到传导带(取决于材料和施加的压力),要么使其难以跃迁。因此,施加的压力会导致材料电阻率的变化。
image.png
对于硅膜片压力传感器,在硅芯片/膜片上会形成应变敏感电阻层(如图3-40所示的半导体应变计),当对硅膜片施加压力时,应变敏感电阻的电阻值会发生改变。压力的变化因此被转化成电信号。
image.png

图3-40 压阻的物理原理

image.png
image.png

其中
μ=平行板间材料的介电常数;
A=平行板的面积;
d=平行板间的距离。
电容式压力传感器通过电容的变化来确定压力的变化:

  • 电介质的变化,即裸露/多孔电介质的变化。
  • 平行板之间距离的变化。

电容式压力传感器使用一个薄膜片作为一个电容器板。当压力作用于膜片上时,膜片发生偏转,导致板间距变化,从而引起电容变化。
如3.2.2节所述,这种电容变化可用于控制振荡器的频率或通过网络改变AC信号(如图3-42所示)。

image.png

3.2.4 触摸传感器[18]

触觉是人体的五种感官之一,也被称为触觉感知。触觉可以通过多种方式感知,如压力、皮肤拉伸、振动和温度[19]。触摸包括三个主要的感觉系统:

  • 触摸/物理刺激:又称体感系统或触觉感知,由感觉受体和从外围(皮肤、肌肉、器官)及中枢神经系统中的神经元传入的感觉组成。
  • 本体感觉:这指的是“运动感”,是不同身体部位相对于彼此的位置感,以及运动中所涉及的力量。
  • 触觉感知[20]:指通过使用或探索身体部位/传感器而获得的感觉/感知。可以通过运动、压力、外壳或映射对象轮廓来完成。

因此,对刺激的感知可以分为皮肤/触觉感知、本体感觉/动觉感知和触觉感知。
触觉感知系统由多个部分[21]组成,图3-43显示了基于不同参数和特性的触摸传感器的分类。
image.png

图3-43 触摸传感器分类

触摸传感器的工作原理
触摸传感器可以根据它们的转导方法进行分类。表3-5总结了一些主要的转导方法。

表3-5 各类型触摸传感器及其工作原理

image.png
超声波/表面声波触摸传感器[23]
当敲击一个铃铛时,它靠振动产生声波。当由振动产生的能量消散时,声音便会慢慢减弱。如果铃铛在振动时被触碰,因为振动被抑制,声音会减弱得更迅速。通过测量振动的变化,计算衰减率(随着触碰而增加),可以推断铃铛是否被触碰。
表面声波触摸传感器有以下组件:

  • 具有高质量品质因子的衬底。因子描述了振荡器或谐振器是否欠阻尼、过阻尼或临界阻尼。因子越高表示振荡衰减越慢(相对于谐振器储能的损耗率越低)。
  • 超声波发射器/传感器,发射小型超声波脉冲。
  • 外露的接触面。

高Q衬底(也称为谐振器)的表面形成共振腔,这些腔体可以捕获超声能量,且可以在接收超声波脉冲时产生微型振动孤岛,该声波脉冲由伴随的超声波发射器产生。在从发射器接收脉冲(兆赫范围)时,谐振器中产生振动波,这种波通过谐振器在高Q因子衬底的横截面上传播。当脉冲波到达衬底另一端外露的接触面时,它会被反射回发射器。在这种情况下,发射器充当接收器,捕捉并测量接收脉冲的强度。
在正常情况下,当接触面没有被触摸时,接收脉冲的强度在低阻尼波的范围内,这意味着它几乎与发射脉冲的强度相同,因为在高Q衬底中,波能衰减更慢。
但是,如果触碰到谐振器的外露触面,那么接触点会存在能量损失(例如手指会吸收能量),这将导致在高Q衬底中的能量损失比预期更快。发射器和接收器处于连续的信号传输、监听和评估过程中,当信号衰减速度快于预期到达阈值的正常时间时,接收端会感知到这种异常能量损失,并以电力输出的形式报告。
图3-44显示了传输时间的变化[21]。
有两种计算是否存在触碰的方法:
1.通过计算超声波通过高Q材料时减少的距离。
2.通过计算超声波的阻尼。
image.png

图3-44 超声波触摸传感器

image.png

图3-45 按压超声波触摸传感器

方法1(如图3-45所示):
image.png
方法2:
image.png
如果存在触碰,那么衰减率将比上述方程所提供的更大,并且触碰会被电子电路感知。
电容式触摸传感器
电容式触摸传感器用于测量电容的变化(如图3-46所示)。这种基于触摸的电容变化与系统的寄生电容(也称为稳态电容或基线电容)有关,通过降低寄生电容可以增加灵敏度,即电容的相对变化。
image.png

图3-46 电容式触摸传感器

图3-47[24]显示了德州仪器设计指南中描述的单键电容式触摸按键的等效电路。
image.png
image.png

图3-47 电容式触摸传感器的等效电路

对于由面积为、间距为(如图3-48所示)的两个平行板组成的平行板电容器,其电容方程为:
image.png
当施加力为F时,两个板之间的面积或距离都会变化,这将导致电容发生变化,这种变化会被测量并转换成电信号输出。
法向力引起距离d的变化,切向力引起面积的变化。因此,这些传感器能够通过施加的法向力或切向力来感知触摸。
电容式触摸传感器有两种类型:
1.自电容/绝对电容型:触摸对象增加接地电容。它包含一个电极,作为电容器板之一(如图3-49所示),另一个电容器板由接触对象(如手指)形成。当接触对象接近电容器板时,会导致电容增加(如图3-50所示)。
image.png
image.png

图3-50 与对象触碰的绝对电容触摸传感器

2.互电容型:触摸对象改变了两个电极之间的耦合(如图3-51和图3-52所示)。
image.png

图3-51 互电容触摸传感器

image.png

图3-52 与对象触碰的互电容触摸传感器

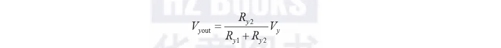
在如图3-53所示的情况下,互电容器排成阵列[18],电压作用于阵列的行和列上,当触摸对象(如手指)靠近阵列时,阵列的电容会发生变化。通过测量阵列中每个独立点的电容变化可以确定接触位置,可以同时检测多个触摸点。
image.png

图3-53 阵列结构中的互电容触摸传感器

首先使用行和列解码器测量,施加电压于传感器的行电极以对电容器进行充电。当接地时,电容器电荷转移到,输出电压的变化为:
image.png
电阻式触摸传感器
电阻式触摸传感器利用传感材料的电阻变化来检测和测量触摸或接触(如图3-54所示)。根据电阻式传感器的类型,可以用不同方式来测量电阻的变化:

image.png

1.电位计式传感器:电阻的变化取决于触碰的位置。
2.压阻式传感器:电阻的变化取决于触碰压力。
图3-55简要描述了电位计式传感器的概念。

image.png

如果传感器由两个涂有电阻材料的柔性薄片制成,一个置于另一个上面并用空气或绝缘材料隔开,那么当两个薄片通过接触相互挤压时,第二个薄片充当电位计上的滑块,如图3-56所示。第二个薄片可测量出电压,作为触点沿第一个薄片的距离,从而提供坐标(如图3-57所示)。类似地,第一个薄片可测量针对第二个薄片上电压的距离,从而提供坐标(如图3-58所示)。
image.png

图3-55 电位计式传感器

image.png

图3-56 电阻式触摸传感器中的坐标和坐标

因此,通过测量上述电压,可以计算出触点的精确坐标(如图3-57和图3-58所示)。如果测量第三个轴(坐标),则还可计算触摸压力大小[24]。
image.png

图3-57 坐标电压计算

image.png

图3-58 坐标电压计算

image.png

3.2.5 生物传感器

生物传感器包括:

  • 生物识别元件,即生物受体、生物换能器和电子系统(包括信号放大器、处理器和显示器)。生物受体利用生物体或仿生受体的生物分子与被测目标相互作用。
  • 生物换能器,测量上述相互作用并输出与样本中被测目标的存在成比例的可测量信号。
  • 生物阅读器,以用户友好的格式输出生物传感器的信号。

可以基于以下相互作用对生物受体进行分类:抗体/抗原、酶、核酸/DNA、细胞结构/细胞,或者仿生材料。
可以基于以下类别的生物换能器对生物传感器进行分类:电化学、光学、电子、压电、重力和热电。
生物传感器可以快速、方便地检测出所采集样品的来源。
基于生物传感不同的发生方式,生物传感器可以分为以下主要类型:

  • 亲和型传感器:在这种传感器中,生物分子元件与被测目标结合。
  • 代谢型传感器:在这种传感器中,生物分子和被测目标相互作用并产生化学变化,传感器测量其基质的浓度。
  • 催化型传感器:在这种传感器中,生物分子与被测目标结合,但不产生化学变化。相反,生物分子被转化为辅助基质。

心电图工作原理
心电图(ECG)是由心电图仪产生的用户心率的记录数据。从ECG中可以提取心率,ECG波形的连续变化可用于诊断多种心脏疾病。
心率估计算法示例[25]
心率的测量可以通过检测QRS波的R波峰来完成,两个连续的R波之间的间隔可以被认为是心跳周期。检测R波峰的算法有很多,其中一个算法是在原始信号(raw)及其二阶导数高于某个阈值时检测ECG信号一阶导数的零点(如图3-59所示)。
利用数字信号处理方法可以估计一阶导数和二阶导数。一阶导数测量信号的变化率(斜率),二阶导数测量信号的曲率。阈值取决于原始ECG信号的能量,并不断自我调整。
image.png

图3-59 心率提取算法

3.3 参考文献

image.png
image.png

相关文章
|
前端开发 JavaScript 安全
从前端性能优化角度谈JavaScript代码压缩与混淆
本文从前端性能优化的角度出发,探讨了JavaScript代码压缩与混淆的重要性及实现方式,通过分析不同压缩混淆工具的特点和效果,为开发者提供了实用的指导和建议。
|
人工智能
虚拟键盘AI
本文提供了一个虚拟键盘AI项目的详细代码实现,包括链接摄像头、手势识别、绘制键盘、确定选中字母以及使用`pynput`库模拟真实键盘输入的步骤,并附有环境配置指南。
虚拟键盘AI
|
传感器
手把手在STM32F103C8T6上构建可扩展可移植的DHT11驱动
【8月更文挑战第29天】本文详细介绍在STM32F103C8T6上构建可扩展且可移植的DHT11温湿度传感器驱动的步骤,包括硬件与软件准备、硬件连接、驱动代码编写及测试。通过这些步骤,可根据实际项目需求优化和扩展代码。
609 0
|
12月前
|
Java Nacos 微服务
微服务中间件之Nacos
Nacos是阿里巴巴开源的动态服务发现、配置管理和服务管理平台,支持服务注册与发现、配置管理及服务健康监测。采用Spring Cloud、Spring Boot、Raft算法等技术,适用于微服务架构和云原生应用,提供简单易用的安装部署方式和丰富的应用场景。
2194 5
|
11月前
|
安全 数据可视化 搜索推荐
点晴免费OA:赋能企业高效管理,驱动数字化转型
在当今信息化、数字化快速发展的时代,企业对于高效、智能、安全的办公管理系统需求日益迫切。点晴免费OA系统,是真正完全免费OA办公系统,凭借其卓越的性能,丰富的功能,成为越来越多企业数字化转型的青睐。
257 0
|
消息中间件 分布式计算 网络协议
从管道路由到共享内存:进程间通信的演变(内附通信方式经典面试题及详解)
进程间通信(Inter-Process Communication, IPC)是计算机科学中的一个重要概念,指的是运行在同一系统或不同系统上的多个进程之间互相发送和接收信息的能力。IPC机制允许进程间共享数据、协调执行流程,是实现分布式系统、多任务操作系统和并发编程的基础。
181 0
从管道路由到共享内存:进程间通信的演变(内附通信方式经典面试题及详解)
R语言EG(Engle-Granger)两步法协整检验、RESET、格兰杰因果检验、VAR模型分析CPI和PPI时间序列关系
R语言EG(Engle-Granger)两步法协整检验、RESET、格兰杰因果检验、VAR模型分析CPI和PPI时间序列关系
|
缓存 Ubuntu 测试技术
ceph性能测试
ceph性能测试
ceph性能测试
|
虚拟化
VMware克隆虚拟机后修改MAC地址、UUID、IP和主机名
VMware克隆虚拟机后修改MAC地址、UUID、IP和主机名
616 0
VMware克隆虚拟机后修改MAC地址、UUID、IP和主机名