【CVPR最佳论文详解】关于Taskonomy,你真的理解对了吗?

简介: 本文是今年CVPR最佳论文《Taskonomy:Disentangling Task Transfer Learning(分解任务层面的迁移学习)》共同二作、斯坦福人工智能实验室沈博魁同学的解读。他在poster session时发现很多人对Taskonomy的理解有偏差,因此专门写了一篇Taskonomy的中文解读,希望能对大家有帮助。

本周有幸请到心有麟熙的学弟、斯坦福人工智能实验室的沈博魁同学,为大家介绍他在今年计算机视觉顶会 CVPR 上荣获的最佳论文《Taskonomy:Disentangling Task Transfer Learning(分解任务层面的迁移学习)》,指导老师是三位来自斯坦福大学和加州大学伯克利分校的重磅级教授 Silvio Savarese、Leonidas Guibas和Jitendra Malik。

人类的视觉具备多种多样的能力,计算机视觉界基于此定义了许多不同的视觉任务。长远来看,计算机视觉着眼于解决大多数甚至所有视觉任务,但现有方法大多尝试将视觉任务逐一击破。这种方法造成了两个问题:

d47e62d2b349aca45e42305ed6714efbe5ed61d9 第一,逐一击破需要为每一项任务收集 大量数据 ,随着任务数量的增多,这将会是不可行的。

d47e62d2b349aca45e42305ed6714efbe5ed61d9第二,逐一击破将带来不同任务之间的冗余计算与重复learning

8a6f3b28e75c950e33d133a2803bd53080ff4c9a

总的来说,逐一击破的策略忽略了视觉任务之间的关联性,比如法线 (Surface Normals) 是由深度 (Depth) 求导得来,语义分割 (Semantic Segmentation) 又似乎和遮挡边缘测试 (Occlusion edge detection) 有着千丝万缕的关联。基于上述两个问题,我们希望能有效测量并利用视觉任务之间的关联来避免重复学习,从而用更少的数据学习我们感兴趣的一组任务。

d949af9b66b30d42734a609412df76be871a8df6

Taskonomy是一项量化不同视觉任务之间关联、并利用这些关联来最优化学习策略的研究。如果两个视觉任务A、B具有关联性,那么在任务A中习得的representations理应可为解决任务B提供有效的统计信息。由此我们通过迁移学习计算了26个不同视觉任务之间的一阶以及高阶关联。

如图一,如果有预测法线的网络和预测遮挡边缘测试的网络,我们可以通过结合两个网络的representations来快速通过少量数据解决Reshading点匹配 (Point matching)。基于这些关联,我们利用BIP (Binary Integer Programming) 求得对于一组我们感兴趣的任务,如何去最优分配训练数据量。比如,如果想最高效地解决10个问题,利用Taskonomy提供的学习策略可以减少2/3的训练数据量

方法

简单概括,方法分为两个大阶段,四个小步。

第一大阶段涉及前三小步,我们要量化不同视觉任务之间的关联,并将任务关联表达成一个affinity matrix(关联矩阵)。

第二大阶段,也就是最后一小步,我们对求得的affinity matrix进行最优化,求得如何最高效地去学习一组任务。这个最高效的策略会由一个指向图 (directed graph) 来表示,我们称此指向图为Taskonomy。词语上Taskonomy是Task (任务) 和 Taxonomy (分类论) 的合并简称

cc717240dd4c5a625536216e01022cd335265eff

问题定义

首先,我们来定义我们想要解决的问题。我们想在有限的监督预算γ下最大化我们在一组目标任务(target tasks) T = {t1,...,tn}上的表现。同时,我们有一组起始任务 (source tasks) S,其定义为我们可从零学习的任务。监督预算γ的定义为多少起始任务我们愿意从零开始学习(从零开始学习需要收集大量数据,监督预算表达了我们所面对的金钱、计算力和时间上的限制)。其中,

d47e62d2b349aca45e42305ed6714efbe5ed61d9T \ S 代表了我们感兴趣但不能从零学习的任务,比如一个只能有少量数据的任务。
d47e62d2b349aca45e42305ed6714efbe5ed61d9S \ T 代表了我们不感兴趣但可以从零学习(来帮助我们更好的学习𝓣)的任务,如jigsaw、colorization等自我监督的视觉任务。
d47e62d2b349aca45e42305ed6714efbe5ed61d9T ∩ S 代表了我们既感兴趣又能从零学习的任务,但因为从零学习会消耗监督预算,我们希望从中选择出符合预算的一组从零学习,余下的通过少量数据的迁移学习来实现。

我们称 V = T ∪ S 为我们的任务词典 (task dictionary)。最后,我们对视觉任务t的定义为一个基于图片的方程 f(t)。

如下图所示,我们收集了一个有四百万张图片的数据题,每张图片均有26个不同视觉任务的标注 (ground truth)。这26个任务涵盖了2D的、3D的和语义的任务,构成了本项research的任务词典。因为这26个任务均有标答,S也为这26个任务。

2d83550961955f727b1255b28e3e2e8b6a304fcb

下面,我们进入第一大阶段,量化视觉任务的关联。

第一步:从零学习

对于每个起始任务,我们为其从零开始学习一个神经网络。为了能更好地控制变量从而比较任务关联,每个任务的神经网络具有相似的encoder-decoder结构。所有的encoder都是相同的类ResNet50结构。因为每个任务的output维度各不相同,decoder的结构对不同的任务各不相同,但都只有几层,远小于encoder的大小。

(注:CVPR poster session期间有人问起,decoder泛指readout functions,比如classification的FC Layers也算为decoder)

第二步:迁移学习

0ea26167ad5adabc7e9ce92bc250f477bd197af5

如上图所示,对于每一对起始任务 s ∈ S 和目标任务 t ∈ T,我们将以s的representation作为输入来学习t。我们将冻结任务s的encoder 参数,并基于encoder的输出 (representations) 学习一个浅层神经网络read out function。

如下图所示,对于t,不同的起始任务的representation会对迁移表现造成不同的影响。更具关联的s会为t提供更有效的统计信息,从而仅用1/60的训练数据(相较于从零学习)就能取得不错的结果;相反不具备关联的s则并不能有此表现。因此,我们认为基于s的representation的迁移学习在t任务中的表现可以很好地代表了s之于t的关联性。

e13f144a608592e272a4c79c5a7d4112a2519d0b

上述迁移代表了任务之间一对一的关联,我们称其为一阶关联。如下图,几个任务之间可能具有互补性,结合几个起始任务的representations会对解决目标任务起到帮助。因此,我们也研究了任务之间多对一的关联,我们称其为高阶关联。在这种情况下,我们concatenate几个起始任务的representation当作目标任务的输入,其余细节跟上段类似。

因为高阶的任务组合数量太大,我们基于一阶表现选择了一部分的组合进行迁移学习。对于小于五阶的高阶,我们根据一阶的表现,将前五的所有组合作为输入。对于n > 5阶,我们选择结合一阶表现前n的起始任务作为输入。

79b8137d196069ceb8f1a7bc9f851f3490ff89a5

第三步:Ordinal Normalization

6a9cc9750e23d2cb58843b95f8a55137a36b8457

这一步的目标为用一个affinity matrix量化任务之间的关联。虽然从上步习得的迁移网络中我们获得了许多的loss值 ,但因这些loss值来自于不同的loss 函数,它们的值域有很大差别。

如果我们把这些loss值直接放入一个矩阵(上图左,纵轴为目标任务、横轴为起始任务),那么这个矩阵内的值及其不均匀,并不能有效反应任务之间的关联。同时,简单的线性规范化也并不能解决问题,因为任务的loss值和表现并不构成线性关系(0.01的l2 loss并不代表其表现两倍好于0.02)。

由此,我们采用Ordinal Normalization(基于序数的规范化)来将loss值转换为关联度。该方法基于运筹学中的AHP (Analytic Hierarchy Process)。具体细节见论文或知乎,概括来讲,affinity matrix中的第 (i, j) 个值为利用第 i 个起始任务迁移后,其网络有多大的几率表现好于用第 j 个网络(我们在下文称其为 i 对于 j 的胜率)。

至此第一大阶段完结,我们通过上述affinity matrix量化了任务之间的关联性。

第四步:BIP最优化

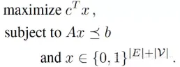
最后一步,我们要基于affinity matrix求得如何最有效地学习一组我们感兴趣的任务。我们可以这个问题想象成一个subgraph selection的问题:选择一些任务从零学习,剩下的任务用少量数据进行迁移学习,具体迁移学习的策略由subgraph中的edge来决定(对一条directed edge,起始点代表我们从零学习的一个任务,终点代表要进行迁移的目标任务)。基于此,我们可以通过解如下最优化问题来得到最优解:

a7518a5384523166fe37e7c950969f90867268e7

这个最优问题有三个限制条件

1. 如果我们选择了一个迁移,那么迁移的起始任务(可能为高阶起始集)和目标任务均要出现在subgraph中

2. 每个目标任务有且仅有一个迁移(我们将从零学习在途中定义为从自己到自己的迁移,即一条自己到自己的edge)

3. 不超过监督预算

这三个限制条件的具体数学表达如下:

f9ec0463bd7efb9844493f41f26c4b2c41231768

至此,我们通过解最优subgraph selection从而获得了最有效迁移学习策略,如下图:

b0e068da1083d7a6140be7cc09c47b7d245fb72c

实验结果

Taskonomy项目训练了3000+个神经网络,总耗时~50000小时的GPU。从零学习消耗120k张图片,迁移学习为16k张图片。

我认为现有公众号对Taskonomy翻译中最不准确的是对Taskonomy实验部分的评论。如文章一开头所说,Taskonomy的目标为用有限的监督预算来最有效地解决一组任务,并不是将state of the art提高百分之几。本文想宣扬的中心思想是计算机视觉界应注重视觉任务间的关联性,并让这些关联性为我们所用。回到本文的具体用途,Taskonomy的用途有两个:

  1. Taskonomy作为解决一组任务的方法。

  2. 用Taskonomy的任务词典解决一个只有少量数据的新任务。

以下试验结果分为两个部分,分别对应以上两点。

一、解决一组任务

如何衡量Taskonomy解决一组任务的有效性?我们设定了两个评判标准。

1. 迁移获利 (Gain) : 如果我们不进行迁移学习,我们只能基于少量的数据从零学习。迁移获利是指迁移学习相较于从零学习的胜率(见Ordinal Normalization部分)。

2. 迁移质量 (Quality) : 用少量数据迁移学习相较于用大量数据从零学习的胜率。

下图是Taskonomy的迁移获利 (左) 和质量 (右) 的图表。两图的纵轴为所有目标任务,横轴为监督预算,胜率在0-1之间。可见,对于一个26个任务的目标集,在只有一半甚至1/3的监督预算时,Taskonomy计算出的监督分配会使整体表现远远打败从零学习(迁移获利),并近似于(胜率超过40%)大量数据完全监督学习(迁移质量)。

1bca2fbc7235346bcb9d61b733c8ba7a53b387c7

二、解决新任务

对于解决新任务,我们可以把我们任务词典里的目标任务当作一个新任务,模拟只有少量数据的情况。实验结果如下,我们可以发现Taskonomy的表现超过了现有的行业pretrained features(包括imagenet fc7)。

ccbd4cff546d13fe9adde768ab82ac0b6366d74a

总结

在Taskonomy项目里,我们的目标是着眼于一组任务,并利用任务之间的关联性减少总体数据使用量。为此,我们量化了视觉任务的关联性,并基于求得的affinity matrix最优化得到如何分配任务监督数据量。实验表明,视觉任务之间确实存在很强的关联性,我们能通过更少的数据很好地解决一组任务。


原文发布时间为:2018-06-27

本文作者:沈博魁

本文来自云栖社区合作伙伴新智元,了解相关信息可以关注“AI_era”。

原文链接:【CVPR最佳论文详解】关于Taskonomy,你真的理解对了吗?

相关文章
|
Linux
Linux下安装中文输入法总结
Linux下安装中文输入法总结
4613 0
|
流计算
Flink 多个stream合并聚合
Flink 多个stream合并聚合
219 0
Flink 多个stream合并聚合
|
缓存 资源调度
解决安装依赖时报错:npm ERR! code ERESOLVE
解决安装依赖时报错:npm ERR! code ERESOLVE
5328 0
解决安装依赖时报错:npm ERR! code ERESOLVE
|
12月前
|
存储 算法
Leetcode第三题(无重复字符的最长子串)
这篇文章介绍了解决LeetCode第三题“无重复字符的最长子串”的算法,使用滑动窗口技术来找出给定字符串中最长的不含重复字符的子串,并提供了详细的代码实现和解释。
552 0
Leetcode第三题(无重复字符的最长子串)
|
8月前
|
机器学习/深度学习 算法 PyTorch
DeepSeek 背后的技术:GRPO,基于群组采样的高效大语言模型强化学习训练方法详解
强化学习(RL)是提升大型语言模型(LLM)推理能力的重要手段,尤其在复杂推理任务中表现突出。DeepSeek团队通过群组相对策略优化(GRPO)方法,在DeepSeek-Math和DeepSeek-R1模型中取得了突破性成果,显著增强了数学推理和问题解决能力。GRPO无需价值网络,采用群组采样和相对优势估计,有效解决了传统RL应用于语言模型时的挑战,提升了训练效率和稳定性。实际应用中,DeepSeek-Math和DeepSeek-R1分别在数学推理和复杂推理任务中展现了卓越性能。未来研究将聚焦于改进优势估计、自适应超参数调整及理论分析,进一步拓展语言模型的能力边界。
1120 8
DeepSeek 背后的技术:GRPO,基于群组采样的高效大语言模型强化学习训练方法详解
|
5月前
|
存储 人工智能 自然语言处理
为什么混合专家模型(MoE)如此高效:从架构原理到技术实现全解析
本文深入探讨了混合专家(MoE)架构在大型语言模型中的应用与技术原理。MoE通过稀疏激活机制,在保持模型高效性的同时实现参数规模的大幅扩展,已成为LLM发展的关键趋势。文章分析了MoE的核心组件,包括专家网络与路由机制,并对比了密集与稀疏MoE的特点。同时,详细介绍了Mixtral、Grok、DBRX和DeepSeek等代表性模型的技术特点及创新。MoE不仅解决了传统模型扩展成本高昂的问题,还展现出专业化与适应性强的优势,未来有望推动AI工具更广泛的应用。
1832 4
为什么混合专家模型(MoE)如此高效:从架构原理到技术实现全解析
|
IDE 开发工具 iOS开发
最好用的Python IDE,pycharm保姆级安装教程
本文向非IT行业的新手介绍了如何安装Python IDE PyCharm。首先,从[PyCharm官网](https://www.jetbrains.com/PyCharm/download/)下载适用于Windows(本文重点)或macOS的相应版本,推荐选择免费的社区版。在Windows安装过程中,选择自定义安装目录(避免C盘),并勾选必要的配置选项,如更新路径、添加到PATH、创建文件关联等。安装完成后,可选择稍后重启。Mac用户需将.dmg安装包中的图标拖至Applications。最后,启动PyCharm并根据提示设置初始界面和基本选项。
|
分布式计算 Hadoop Linux
Linux配置SSH免密码登录(非root账号)
设置多台linux服务器之间以非root账号的身份免密码ssh登录
1057 0
Linux配置SSH免密码登录(非root账号)
|
机器学习/深度学习 算法 前端开发
Scikit-learn进阶:探索集成学习算法
【4月更文挑战第17天】本文介绍了Scikit-learn中的集成学习算法,包括Bagging(如RandomForest)、Boosting(AdaBoost、GradientBoosting)和Stacking。通过结合多个学习器,集成学习能提高模型性能,减少偏差和方差。文中展示了如何使用Scikit-learn实现这些算法,并提供示例代码,帮助读者理解和应用集成学习提升模型预测准确性。
|
存储 SQL Java
Java 系类之 Java StringBuffer类详解
这篇文章详细介绍了Java中的StringBuffer类的使用,包括其构造方法、追加字符串、替换字符、反转字符串和删除字符串的方法,并提供了相应的示例代码。