Theatre Square in the capital city of Berland has a rectangular shape with the size n × m meters. On the occasion of the city's anniversary, a decision was taken to pave the Square with square granite flagstones. Each flagstone is of the size a × a.
What is the least number of flagstones needed to pave the Square? It's allowed to cover the surface larger than the Theatre Square, but the Square has to be covered. It's not allowed to break the flagstones. The sides of flagstones should be parallel to the sides of the Square.
The input contains three positive integer numbers in the first line: n, m and a (1 ≤ n, m, a ≤ 109).
Write the needed number of flagstones.
6 6 4
4
1 #include <bits/stdc++.h> 2 using namespace std; 3 int main() 4 { 5 __int64 n,m,a; 6 while(scanf("%I64d%I64d%I64d",&n,&m,&a)!=EOF) 7 { 8 __int64 t=n/a; 9 __int64 s=m/a; 10 if(n%a!=0) 11 t+=1; 12 if(m%a!=0) 13 s+=1; 14 __int64 k=t*s; 15 printf("%I64d\n",k); 16 } 17 return 0; 18 }
In the popular spreadsheets systems (for example, in Excel) the following numeration of columns is used. The first column has number A, the second — number B, etc. till column 26 that is marked by Z. Then there are two-letter numbers: column 27 has number AA, 28 — AB, column 52 is marked by AZ. After ZZ there follow three-letter numbers, etc.
The rows are marked by integer numbers starting with 1. The cell name is the concatenation of the column and the row numbers. For example, BC23 is the name for the cell that is in column 55, row 23.
Sometimes another numeration system is used: RXCY, where X and Y are integer numbers, showing the column and the row numbers respectfully. For instance, R23C55 is the cell from the previous example.
Your task is to write a program that reads the given sequence of cell coordinates and produce each item written according to the rules of another numeration system.
The first line of the input contains integer number n (1 ≤ n ≤ 105), the number of coordinates in the test. Then there follow n lines, each of them contains coordinates. All the coordinates are correct, there are no cells with the column and/or the row numbers larger than 106 .
Write n lines, each line should contain a cell coordinates in the other numeration system.
2
R23C55
BC23
BC23
R23C55
例如第23行第55列
①R23C55
②BC23
第一种表示方法很直观。
第二种表示方法中BC表示列。23表示行。
1-26列:A, B, C...Z
27-?列:AA, AB, AC...AZ, BA, BB, BC...ZZ
?-?:AAA...ZZZ...
跟进制的转换很类似!
输入任意一种表示,你的任务是输出另一种表示,模拟即可!
下面给出AC代码:
1 #include <bits/stdc++.h> 2 using namespace std; 3 const int maxn=1000005; 4 typedef long long ll; 5 char str[maxn]; 6 int flag; 7 void change(int n)//26进制转换 8 { 9 if(n>26) 10 change((n-1)/26); 11 printf("%c",(n-1)%26+'A'); 12 } 13 void solve1() 14 { 15 int row=0; 16 int col=0; 17 for(int i=1;i<flag;i++) 18 if(isdigit(str[i])) 19 row=row*10+str[i]-'0';//计算行 20 for(int i=flag+1;str[i];i++) 21 col=col*10+str[i]-'0';//计算列 22 change(col); 23 printf("%d\n",row); 24 } 25 void solve2() 26 { 27 int row=0; 28 int col=0; 29 for(int i=0;str[i];i++) 30 { 31 if(isupper(str[i])) 32 col=col*26+str[i]-'A'+1;//计算列 33 else row=row*10+str[i]-'0';//计算行 34 } 35 printf("R%dC%d\n",row,col); 36 } 37 int main() 38 { 39 int T; 40 while(scanf("%d",&T)!=EOF) 41 { 42 while(T--) 43 { 44 scanf("%s",str); 45 flag=0; 46 if(str[0]=='R'&&isdigit(str[1])) 47 { 48 for(int i=2;str[i];i++) 49 { 50 if(str[i]=='C') 51 { 52 flag=i; 53 break; 54 } 55 } 56 } 57 if(flag) 58 solve1();//判断‘R23C55’这一种情况 59 else 60 solve2();//判断‘BC23’这一种情况 61 } 62 } 63 return 0; 64 }
Nowadays all circuses in Berland have a round arena with diameter 13 meters, but in the past things were different.
In Ancient Berland arenas in circuses were shaped as a regular (equiangular) polygon, the size and the number of angles could vary from one circus to another. In each corner of the arena there was a special pillar, and the rope strung between the pillars marked the arena edges.
Recently the scientists from Berland have discovered the remains of the ancient circus arena. They found only three pillars, the others were destroyed by the time.
You are given the coordinates of these three pillars. Find out what is the smallest area that the arena could have.
The input file consists of three lines, each of them contains a pair of numbers –– coordinates of the pillar. Any coordinate doesn't exceed 1000 by absolute value, and is given with at most six digits after decimal point.
Output the smallest possible area of the ancient arena. This number should be accurate to at least 6 digits after the decimal point. It's guaranteed that the number of angles in the optimal polygon is not larger than 100.
0.000000 0.000000
1.000000 1.000000
0.000000 1.000000
1.00000000
输入正n边形的其中3个点
问正n边形可能存在的最小面积,已知n<=100
该题关键技巧就是要画外接圆,然后玩玩圆周角,圆心角这些概念,当个平面几何问题,先尽量多推出一些结论。
具体解法如下:
首先,随便画个正多少边形,画个外接圆。根据正弦定理,可以直接知道外接圆半径。把这三个点连成一个三角形,三个角都会是正x边形的一个边对应这个外接圆的圆周角的整数倍。由于x很小,枚举+判断就可以了。
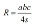
三角形外接圆半径公式:

每条边所对应的圆心角 = 2*PI/n
所以圆周角 = 圆心角/2 = PI/n
正n边形面积:

1 #include <bits/stdc++.h> 2 using namespace std; 3 const double PI=3.1415926535; 4 const double ERR=0.01; 5 bool feq(double a,double b) 6 { 7 return fabs(a-b)<ERR; 8 } 9 double fgcd(double a,double b) 10 { 11 if (feq(a,0)) 12 return b; 13 if (feq(b,0)) 14 return a; 15 return fgcd(b,fmod(a,b)); 16 } 17 double dist(double x0,double x1,double y0,double y1) 18 { 19 return sqrt((x1-x0)*(x1-x0)+(y1-y0)*(y1-y0)); 20 } 21 int main() 22 { 23 double x[3]; 24 double y[3]; 25 for (int i=0;i<3;i++) 26 scanf("%lf%lf",&x[i],&y[i]); 27 double l[3]; 28 for (int i=0;i<3;i++) l[i]=dist(x[i],x[(i+1)%3],y[i],y[(i+1)%3]); 29 double p=(l[0]+l[1]+l[2])/2; 30 double s=sqrt(p*(p-l[0])*(p-l[1])*(p-l[2])); 31 double r=l[0]*l[1]*l[2]/(s*4); 32 double ang[3]; 33 for (int i=0;i<3;i++) ang[i] = acos(1-l[i]*l[i]/(2*r*r)); 34 ang[2] =2*PI-ang[0]-ang[1]; 35 double unita =0; 36 for (int i=0;i<3;i++) 37 unita=fgcd(unita,ang[i]); 38 printf("%.6lf\n",r*r*sin(unita)*PI/unita); 39 return 0; 40 }