PostgreSQL 9.5 新特性 高斯(正态)分布和指数分布 数据生成器

本文涉及的产品
RDS AI 助手,专业版
RDS MySQL DuckDB 分析主实例,集群系列 4核8GB
简介:

PostgreSQL 9.5 对pgbench的功能增强。

  • Allow counting of pgbench transactions that take over a specified amount of time (Fabien Coelho)

    This is controlled by new --latency-limit option.

  • Allow pgbench to generate Gaussian/exponential distributions using \setrandom (Kondo Mitsumasa, Fabien Coelho)

  • Allow pgbench's \set command to handle multi-operator expressions (Robert Haas, Fabien Coelho)

1. 允许在\set中使用更复杂的表达式(正负,加 减 乘 除 余,括号)。

\set varname expression
Sets variable varname to an integer value calculated from expression. The expression may contain integer constants such as 5432, references to variables :variablename, and expressions composed of unary (-) or binary operators (+, -, *, /, %) with their usual associativity, and parentheses.

Examples:
\set ntellers 10 * :scale
\set aid (1021 * :ntellers) % (100000 * :scale) + 1


2. 允许设置--latency-limit,执行时间超过限制的SQL将分开统计和显示为late,与--rate同时使用时,超出限制并且未发送到数据库执行的SQL记为skipped。

-L limit
--latency-limit=limit
Transaction which last more than limit milliseconds are counted and reported separately, as late.

When throttling is used (--rate=...), transactions that lag behind schedule by more than limit ms, and thus have no hope of meeting the latency limit, are not sent to the server at all. They are counted and reported separately as skipped.

-R rate
--rate=rate
Execute transactions targeting the specified rate instead of running as fast as possible (the default). The rate is given in transactions per second. If the targeted rate is above the maximum possible rate, the rate limit won't impact the results.

The rate is targeted by starting transactions along a Poisson-distributed schedule time line. The expected start time schedule moves forward based on when the client first started, not when the previous transaction ended. That approach means that when transactions go past their original scheduled end time, it is possible for later ones to catch up again.

When throttling is active, the transaction latency reported at the end of the run is calculated from the scheduled start times, so it includes the time each transaction had to wait for the previous transaction to finish. The wait time is called the schedule lag time, and its average and maximum are also reported separately. The transaction latency with respect to the actual transaction start time, i.e. the time spent executing the transaction in the database, can be computed by subtracting the schedule lag time from the reported latency.

If --latency-limit is used together with --rate, a transaction can lag behind so much that it is already over the latency limit when the previous transaction ends, because the latency is calculated from the scheduled start time. Such transactions are not sent to the server, but are skipped altogether and counted separately.

A high schedule lag time is an indication that the system cannot process transactions at the specified rate, with the chosen number of clients and threads. When the average transaction execution time is longer than the scheduled interval between each transaction, each successive transaction will fall further behind, and the schedule lag time will keep increasing the longer the test run is. When that happens, you will have to reduce the specified transaction rate.


3. 可以生成正态分布或指数分布的测试数据。

(原来只能生成概率一致的随机分布值)

\setrandom varname min max [ uniform | { gaussian | exponential } threshold ]
Sets variable varname to a random integer value between the limits min and max inclusive. Each limit can be either an integer constant or a :variablename reference to a variable having an integer value.

高斯分布(正态分布)的概率峰值出现在min,max的数学期望值即(max + min) / 2.0
67%的值分布在以min,max数学期望为中心的 1.0 / threshold 这个区间。
95%的值分布在min,max数学期望为中心的 2.0 / threshold 这个区间。
所以threshold越大,数据数据越集中在min,max的数学期望附近。

By default, or when uniform is specified, all values in the range are drawn with equal probability. Specifying gaussian or exponential options modifies this behavior; each requires a mandatory threshold which determines the precise shape of the distribution.

For a Gaussian distribution, the interval is mapped onto a standard normal distribution (the classical bell-shaped Gaussian curve) truncated at -threshold on the left and +threshold on the right. 
To be precise, if PHI(x) is the cumulative distribution function of the standard normal distribution, 
with mean mu defined as (max + min) / 2.0, 
then value i between min and max inclusive is drawn with probability: 
min,max区间取i值的概率如下,(其中PHI(x)是正态分布的积分函数):
(PHI(2.0 * threshold * (i - min - mu + 0.5) / (max - min + 1)) - PHI(2.0 * threshold * (i - min - mu - 0.5) / (max - min + 1))) / (2.0 * PHI(threshold) - 1.0). 
Intuitively, the larger the threshold, the more frequently values close to the middle of the interval are drawn, and the less frequently values close to the min and max bounds. 
About 67% of values are drawn from the middle 1.0 / threshold and 95% in the middle 2.0 / threshold; 
67%的值分布在以min,max数学期望为中心的 1.0 / threshold 这个区间。
95%的值分布在min,max数学期望为中心的 2.0 / threshold 这个区间。
for instance, if threshold is 4.0, 67% of values are drawn from the middle quarter and 95% from the middle half of the interval. 
The minimum threshold is 2.0 for performance of the Box-Muller transform. (性能考虑,2.0为最小threshold值)。

指数分布:
For an exponential distribution, the threshold parameter controls the distribution by truncating a quickly-decreasing exponential distribution at threshold, and then projecting onto integers between the bounds. 
To be precise, value i between min and max inclusive is drawn with probability: 
min,max区间取i值的概率如下:
(exp(-threshold*(i-min)/(max+1-min)) - exp(-threshold*(i+1-min)/(max+1-min))) / (1.0 - exp(-threshold)). 

Intuitively, the larger the threshold, the more frequently values close to min are accessed, and the less frequently values close to max are accessed. (threshold越大,随机值接近min的概率越大,反之,threshold越小,随机值接近max的概率越大)
The closer to 0 the threshold, the flatter (more uniform) the access distribution. 
注意上面这句话,threshold 越接近0,则越趋于随机分布,而不是指数分布。看后面的图。
A crude approximation of the distribution is that the most frequent 1% values in the range, close to min, are drawn threshold% of the time. 
The threshold value must be strictly positive.

Example:
\setrandom aid 1 :naccounts gaussian 5.0


例子:

生成高斯分布的一组数据。

约67%的值分布在以min,max数学期望为中心的 1.0 / 100 这个区间。
约95%的值分布在以min,max数学期望为中心的 2.0 / 100 这个区间。

postgres=# create table test(id int);
CREATE TABLE
postgres=# \q

pg95@db-172-16-3-150-> vi test.sql
\setrandom id 1 50000 gaussian 100.0
insert into test values (:id);


--latency-limit=0.2 表示响应时间超过0.2毫秒的请求另外显示。

pg95@db-172-16-3-150-> pgbench -M prepared -n -r -f ./test.sql -P 2 -c 16 -j 16 -T 10 --latency-limit=0.2
progress: 2.0 s, 93423.3 tps, lat 0.164 ms stddev 0.122
progress: 4.0 s, 95957.7 tps, lat 0.164 ms stddev 0.109
progress: 6.0 s, 95074.0 tps, lat 0.166 ms stddev 0.116
progress: 8.0 s, 95760.4 tps, lat 0.165 ms stddev 0.111
progress: 10.0 s, 95711.8 tps, lat 0.165 ms stddev 0.108
transaction type: Custom query
scaling factor: 1
query mode: prepared
number of clients: 16
number of threads: 16
duration: 10 s
number of transactions actually processed: 951872

这里显示了请求响应时间超过0.2毫秒的占比。

number of transactions above the 0.2 ms latency limit: 175929 (18.482 %)
latency average: 0.165 ms
latency stddev: 0.113 ms
tps = 95165.492751 (including connections establishing)
tps = 95694.059134 (excluding connections establishing)
statement latencies in milliseconds:
        -0.002321       \setrandom id 1 50000 gaussian 100.0
        0.160266        insert into test values (:id);


使用R来绘制一下正态分布:

> install.packages("RPostgreSQL")
> library(RPostgreSQL)

载入需要的程辑包:DBI
警告信息:
1: 程辑包‘RPostgreSQL’是用R版本3.1.3 来建造的 
2: 程辑包‘DBI’是用R版本3.1.3 来建造的 

> drv <- dbDriver("PostgreSQL")
> con <- dbConnect(drv, host='172.16.3.150', port='1922', dbname='postgres', user='postgres')
> rs <- dbGetQuery(con, 'with t (cnt) as (select count(*) as cnt from test) select id,count(*)/(t.cnt::numeric) from test, t group by id,t.cnt')
> plot(rs)

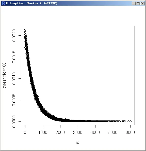
约67%的值分布在以min,max数学期望为中心的 1.0 / 100 这个区间(24750 至 25250)。
约95%的值分布在以min,max数学期望为中心的 2.0 / 100 这个区间(24500 至 25500)。

修改一下threshold, 改为5,将有95%的数据分布在2/5的区间内(15000 至 35000)。

postgres=# truncate test;
TRUNCATE TABLE
pg95@db-172-16-3-150-> vi test.sql
\setrandom id 1 50000 gaussian 5.0
insert into test values (:id);

pg95@db-172-16-3-150-> pgbench -M prepared -n -r -f ./test.sql -P 2 -c 16 -j 16 -T 10 --latency-limit=0.2
progress: 2.0 s, 93514.9 tps, lat 0.163 ms stddev 0.119
progress: 4.0 s, 94764.7 tps, lat 0.167 ms stddev 0.117
progress: 6.0 s, 95041.7 tps, lat 0.166 ms stddev 0.112
progress: 8.0 s, 95312.3 tps, lat 0.166 ms stddev 0.112
progress: 10.0 s, 95035.6 tps, lat 0.166 ms stddev 0.112
transaction type: Custom query
scaling factor: 1
query mode: prepared
number of clients: 16
number of threads: 16
duration: 10 s
number of transactions actually processed: 947354
number of transactions above the 0.2 ms latency limit: 176537 (18.635 %)
latency average: 0.166 ms
latency stddev: 0.114 ms
tps = 94726.249444 (including connections establishing)
tps = 95332.979889 (excluding connections establishing)
statement latencies in milliseconds:
        -0.002318       \setrandom id 1 50000 gaussian 5.0
        0.160983        insert into test values (:id);

重新绘制曲线:

指数分布例子:

threshold越大,越多的值分布在min附近。
threshold越小,当趋近于0时,接近随机分布,而不是曲线反转。
threshold不能小于0。

  
  
postgres=# truncate test;
TRUNCATE TABLE

pg95@db-172-16-3-150-> vi test.sql
\setrandom id 1 50000 exponential 50000
insert into test values (:id);

pg95@db-172-16-3-150-> pgbench -M prepared -n -r -f ./test.sql -P 2 -c 16 -j 16 -T 10
progress: 2.0 s, 94095.8 tps, lat 0.162 ms stddev 0.112
progress: 4.0 s, 95611.9 tps, lat 0.165 ms stddev 0.108
progress: 6.0 s, 94929.7 tps, lat 0.166 ms stddev 0.121
progress: 8.0 s, 96159.4 tps, lat 0.164 ms stddev 0.102
progress: 10.0 s, 95586.2 tps, lat 0.165 ms stddev 0.109
transaction type: Custom query
scaling factor: 1
query mode: prepared
number of clients: 16
number of threads: 16
duration: 10 s
number of transactions actually processed: 952791
latency average: 0.164 ms
latency stddev: 0.111 ms
tps = 95271.583072 (including connections establishing)
tps = 95879.681335 (excluding connections establishing)
statement latencies in milliseconds:
        -0.002375       \setrandom id 1 50000 exponential 1.0
        0.160051        insert into test values (:id);

postgres=# analyze test;
ANALYZE
从most_common_vals和most_common_freqs可以观察到,threshold越大,越多的值分布在min附近 。
postgres=# select * from pg_stats where attname='id' and tablename='test';
-[ RECORD 1 ]----------+-----------------------------------------------
schemaname             | public
tablename              | test
attname                | id
inherited              | f
null_frac              | 0
avg_width              | 4
n_distinct             | 11
most_common_vals       | {1,2,3,4,5}
most_common_freqs      | {0.632533,0.231967,0.0867,0.0306333,0.0112333}
histogram_bounds       | {6,6,6,6,7,12}
correlation            | 0.458732
most_common_elems      | 
most_common_elem_freqs | 
elem_count_histogram   | 

如图:
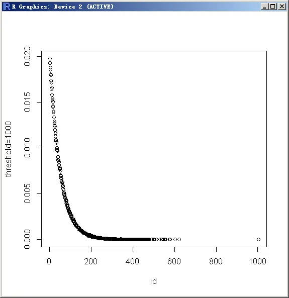
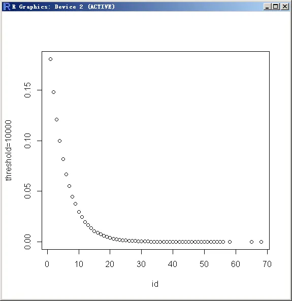
再提供几张图,threshold分别是1,10,100,1000,10000:
注意纵坐标的概率值。




threshold=0.000001:已经接近随机分布了。
可以看出,当threshold越来越小时,开始接近随机分布。

[参考]
2. src/bin/pgbench/pgbench.c

产生一个随机值
/* random number generator: uniform distribution from min to max inclusive */
static int64
getrand(TState *thread, int64 min, int64 max)
{
        /*
         * Odd coding is so that min and max have approximately the same chance of
         * being selected as do numbers between them.
         *
         * pg_erand48() is thread-safe and concurrent, which is why we use it
         * rather than random(), which in glibc is non-reentrant, and therefore
         * protected by a mutex, and therefore a bottleneck on machines with many
         * CPUs.
         */
        return min + (int64) ((max - min + 1) * pg_erand48(thread->random_state));
}
产生一个指数分布的随机值
/*
 * random number generator: exponential distribution from min to max inclusive.
 * the threshold is so that the density of probability for the last cut-off max
 * value is exp(-threshold).
 */
static int64
getExponentialRand(TState *thread, int64 min, int64 max, double threshold)
{
        double          cut,
                                uniform,
                                rand;

        Assert(threshold > 0.0);
        cut = exp(-threshold);
        /* erand in [0, 1), uniform in (0, 1] */
        uniform = 1.0 - pg_erand48(thread->random_state);

        /*
         * inner expresion in (cut, 1] (if threshold > 0), rand in [0, 1)
         */
        Assert((1.0 - cut) != 0.0);
        rand = -log(cut + (1.0 - cut) * uniform) / threshold;
        /* return int64 random number within between min and max */
        return min + (int64) ((max - min + 1) * rand);
}
产生一个高斯分布(正态分布)的随机值
/* random number generator: gaussian distribution from min to max inclusive */
static int64
getGaussianRand(TState *thread, int64 min, int64 max, double threshold)
{
        double          stdev;
        double          rand;

        /*
         * Get user specified random number from this loop, with -threshold <
         * stdev <= threshold
         *
         * This loop is executed until the number is in the expected range.
         *
         * As the minimum threshold is 2.0, the probability of looping is low:
         * sqrt(-2 ln(r)) <= 2 => r >= e^{-2} ~ 0.135, then when taking the
         * average sinus multiplier as 2/pi, we have a 8.6% looping probability in
         * the worst case. For a 5.0 threshold value, the looping probability is
         * about e^{-5} * 2 / pi ~ 0.43%.
         */
        do
        {
                /*
                 * pg_erand48 generates [0,1), but for the basic version of the
                 * Box-Muller transform the two uniformly distributed random numbers
                 * are expected in (0, 1] (see
                 * http://en.wikipedia.org/wiki/Box_muller)
                 */
                double          rand1 = 1.0 - pg_erand48(thread->random_state);
                double          rand2 = 1.0 - pg_erand48(thread->random_state);

                /* Box-Muller basic form transform */
                double          var_sqrt = sqrt(-2.0 * log(rand1));

                stdev = var_sqrt * sin(2.0 * M_PI * rand2);

                /*
                 * we may try with cos, but there may be a bias induced if the
                 * previous value fails the test. To be on the safe side, let us try
                 * over.
                 */
        }
        while (stdev < -threshold || stdev >= threshold);

        /* stdev is in [-threshold, threshold), normalization to [0,1) */
        rand = (stdev + threshold) / (threshold * 2.0);

        /* return int64 random number within between min and max */
        return min + (int64) ((max - min + 1) * rand);
}
产生泊松分布随机值
/*
 * random number generator: generate a value, such that the series of values
 * will approximate a Poisson distribution centered on the given value.
 */
static int64
getPoissonRand(TState *thread, int64 center)
{
        /*
         * Use inverse transform sampling to generate a value > 0, such that the
         * expected (i.e. average) value is the given argument.
         */
        double          uniform;

        /* erand in [0, 1), uniform in (0, 1] */
        uniform = 1.0 - pg_erand48(thread->random_state);

        return (int64) (-log(uniform) * ((double) center) + 0.5);
}
相关实践学习
使用PolarDB和ECS搭建门户网站
本场景主要介绍如何基于PolarDB和ECS实现搭建门户网站。
阿里云数据库产品家族及特性
阿里云智能数据库产品团队一直致力于不断健全产品体系,提升产品性能,打磨产品功能,从而帮助客户实现更加极致的弹性能力、具备更强的扩展能力、并利用云设施进一步降低企业成本。以云原生+分布式为核心技术抓手,打造以自研的在线事务型(OLTP)数据库Polar DB和在线分析型(OLAP)数据库Analytic DB为代表的新一代企业级云原生数据库产品体系, 结合NoSQL数据库、数据库生态工具、云原生智能化数据库管控平台,为阿里巴巴经济体以及各个行业的企业客户和开发者提供从公共云到混合云再到私有云的完整解决方案,提供基于云基础设施进行数据从处理、到存储、再到计算与分析的一体化解决方案。本节课带你了解阿里云数据库产品家族及特性。
目录
相关文章
|
SQL Oracle 关系型数据库
实时计算 Flink版操作报错之往GREENPLUM 6 写数据,用postgresql-42.2.9.jar 报 ON CONFLICT (uuid) DO UPDATE SET 语法有问题。怎么解决
在使用实时计算Flink版过程中,可能会遇到各种错误,了解这些错误的原因及解决方法对于高效排错至关重要。针对具体问题,查看Flink的日志是关键,它们通常会提供更详细的错误信息和堆栈跟踪,有助于定位问题。此外,Flink社区文档和官方论坛也是寻求帮助的好去处。以下是一些常见的操作报错及其可能的原因与解决策略。
|
关系型数据库 PostgreSQL
PostgreSQL排序字段不唯一导致分页查询结果出现重复数据
PostgreSQL排序字段不唯一导致分页查询结果出现重复数据
506 0
|
关系型数据库 MySQL Linux
TiDB实时同步数据到PostgreSQL(三) ---- 使用pgloader迁移数据
使用PostgreSQL数据迁移神器pgloader从TiDB迁移数据到PostgreSQL,同时说明如何在最新的Rocky Linux 9(CentOS 9 stream也适用)上通过源码编译安装pgloader。
|
11月前
|
SQL 关系型数据库 PostgreSQL
【YashanDB 知识库】从 PostgreSQL 迁移到 YashanDB 如何进行数据行数比对
【YashanDB 知识库】从 PostgreSQL 迁移到 YashanDB 如何进行数据行数比对
|
11月前
|
SQL Oracle 关系型数据库
【YashanDB知识库】从PostgreSQL迁移到YashanDB如何进行数据行数比对
本文介绍了通过Oracle视图`v$sql`和`v$sql_plan`分析SQL性能的方法。首先,可通过`plan_hash_value`从`v$sql_plan`获取SQL执行计划,结合示例展示了具体查询方式。文章还创建了一个UDF函数`REPEAT`用于格式化输出,便于阅读复杂执行计划。最后,通过实例展示了如何根据`plan_hash_value`获取SQL文本及其内存中的执行计划,帮助优化性能问题。
|
消息中间件 Java 关系型数据库
实时计算 Flink版操作报错合集之从 PostgreSQL 读取数据并写入 Kafka 时,遇到 "initial slot snapshot too large" 的错误,该怎么办
在使用实时计算Flink版过程中,可能会遇到各种错误,了解这些错误的原因及解决方法对于高效排错至关重要。针对具体问题,查看Flink的日志是关键,它们通常会提供更详细的错误信息和堆栈跟踪,有助于定位问题。此外,Flink社区文档和官方论坛也是寻求帮助的好去处。以下是一些常见的操作报错及其可能的原因与解决策略。
1226 0
|
DataWorks 安全 关系型数据库
DataWorks产品使用合集之使用Flink CDC读取PostgreSQL数据时如何指定编码格式
DataWorks作为一站式的数据开发与治理平台,提供了从数据采集、清洗、开发、调度、服务化、质量监控到安全管理的全套解决方案,帮助企业构建高效、规范、安全的大数据处理体系。以下是对DataWorks产品使用合集的概述,涵盖数据处理的各个环节。
280 0
|
存储 关系型数据库 数据库
【赵渝强老师】PostgreSQL的数据文件
PostgreSQL的物理存储结构主要包括数据文件、日志文件等。数据文件按oid命名,超过1G时自动拆分。通过查询数据库和表的oid,可定位到具体的数据文件。例如,查询数据库oid后,再查询特定表的oid及relfilenode,即可找到该表对应的数据文件位置。
335 1
|
关系型数据库 数据管理 Go
《PostgreSQL数据分区:原理与实战》
《PostgreSQL数据分区:原理与实战》
379 0
|
SQL 关系型数据库 MySQL
SQL Server、MySQL、PostgreSQL:主流数据库SQL语法异同比较——深入探讨数据类型、分页查询、表创建与数据插入、函数和索引等关键语法差异,为跨数据库开发提供实用指导
【8月更文挑战第31天】SQL Server、MySQL和PostgreSQL是当今最流行的关系型数据库管理系统,均使用SQL作为查询语言,但在语法和功能实现上存在差异。本文将比较它们在数据类型、分页查询、创建和插入数据以及函数和索引等方面的异同,帮助开发者更好地理解和使用这些数据库。尽管它们共用SQL语言,但每个系统都有独特的语法规则,了解这些差异有助于提升开发效率和项目成功率。
1784 0

相关产品

  • 云原生数据库 PolarDB
  • 云数据库 RDS PostgreSQL 版
  • 推荐镜像

    更多