一、ADHDP算法原理
1. 系统架构

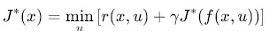
2. 核心方程
贝尔曼最优方程:

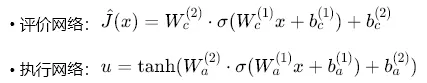
神经网络逼近:

3. 训练流程
- 初始化执行网络和评价网络权重
- 采集环境状态样本
- 执行网络生成控制动作
- 环境反馈生成下一状态和奖励
- 评价网络更新长期价值估计
- 执行网络基于梯度下降优化策略
二、MATLAB仿真实现
1. 环境建模(以倒立摆为例)
% 系统参数
m = 0.5; % 摆杆质量 (kg)
l = 0.3; % 摆杆长度 (m)
g = 9.81; % 重力加速度
dt = 0.02; % 时间步长
% 状态方程
function dx = dynamics(x, u)
theta = x(1); dx1 = x(2);
omega = x(2); dx2 = (g*sin(theta) + u*cos(theta))/(m*l*cos(theta)^2);
dx = [dx1; dx2];
end
2. 神经网络架构
%% 评价网络(Critic Network)
layers = [
featureInputLayer(2) % 状态维度
fullyConnectedLayer(10) % 隐藏层
reluLayer
fullyConnectedLayer(1) % 输出层
regressionLayer];
%% 执行网络(Actor Network)
actorLayers = [
featureInputLayer(2)
fullyConnectedLayer(10)
reluLayer
fullyConnectedLayer(1)
tanhLayer]; % 输出动作范围[-1,1]
3. 训练循环实现
% 初始化参数
gamma = 0.99; % 折扣因子
lr_actor = 0.001;
lr_critic = 0.005;
numEpisodes = 1000;
for ep = 1:numEpisodes
state = env.reset(); % 重置环境
totalReward = 0;
while ~env.isTerminal()
% 执行网络生成动作
action = actorNetwork.predict(state);
% 执行动作并获取反馈
nextState = dynamics(state, action);
reward = -abs(angle(nextState)); % 奖励函数设计
% 评价网络更新
target = reward + gamma * criticNetwork.predict(nextState);
criticLoss = trainCritic(criticNetwork, state, target);
% 执行网络更新
actorLoss = trainActor(actorNetwork, state, action);
% 状态更新
state = nextState;
totalReward = totalReward + reward;
end
end
三、关键技术创新
1. 双网络协同训练机制
- 评价网络:通过最小化贝尔曼误差更新,逼近最优价值函数
- 执行网络:基于梯度上升优化策略梯度
- 经验回放:使用优先经验回放(PER)提升数据效率
2. 自适应学习率调整
% 动态调整学习率
if mod(ep, 100) == 0
lr_actor = lr_actor * 0.9;
lr_critic = lr_critic * 0.9;
end
3. 探索-利用策略
% 噪声注入
noise = 0.1 * randn(size(action));
action = action + noise;
参考代码 基于自适应动态规划的执行依赖启发式动态规划仿真程序 www.youwenfan.com/contentalh/45587.html
四、典型应用场景
1. 机器人路径规划
状态空间:[$x, y, θ, v$]
动作空间:[线速度, 角速度]
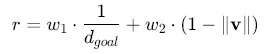
奖励函数:

2. 电力系统控制
状态变量:发电机出力、负荷需求、频率偏差
控制目标:

- 约束条件:频率偏差 ≤ 0.1Hz
3. 工业过程优化
- 案例:预分解窑温度控制(文献)
- 状态量:分解炉出口温度、废气氧含量
- 控制量:生料量、燃料供给量
五、性能评估指标
| 指标 | 定义 | 典型值范围 |
|---|---|---|
| 收敛速度 | 价值函数收敛所需训练步数 | <500 episodes |
| 控制精度 | 状态跟踪误差标准差 | <0.05 rad |
| 鲁棒性 | 参数扰动下的性能衰减率 | <15% |
| 实时性 | 单步决策延迟 | <10 ms |