【数据分析】基于谱Petrov-Galerkin方法对双侧分数阶反应-扩散方程的误差估计附matlab代码

简介: ​✅作者简介:热爱科研的Matlab仿真开发者,擅长毕业设计辅导、数学建模、数据处理、建模仿真、程序设计、完整代码获取、论文复现及科研仿真。🍎 往期回顾关注个人主页:Matlab科研工作室👇 关注我领取海量matlab电子书和数学建模资料🍊个人信条:格物致知,完整Matlab代码获取及仿真咨询内容私信。🔥 内容介绍一、双侧分数阶反应 - 扩散方程背景分数阶微积分的兴起双侧分数阶反应 - 扩散方程的意义二、谱 Petrov - Galerkin 方法原理谱方法基础谱 Petrov - Galerkin 方法在双侧分数阶反应 - 扩散方程中的应用

✅作者简介:热爱科研的Matlab仿真开发者,擅长毕业设计辅导、数学建模、数据处理、建模仿真、程序设计、完整代码获取、论文复现及科研仿真。

🍎 往期回顾关注个人主页:Matlab科研工作室

👇 关注我领取海量matlab电子书和数学建模资料

🍊个人信条:格物致知,完整Matlab代码获取及仿真咨询内容私信。

🔥 内容介绍

一、双侧分数阶反应 - 扩散方程背景

  1. 分数阶微积分的兴起 :分数阶微积分作为传统整数阶微积分的推广,近年来在众多领域得到了广泛应用。与整数阶微积分相比,分数阶微积分能够更准确地描述具有记忆和遗传特性的复杂系统。例如,在材料科学中,分数阶导数可以用于刻画材料的黏弹性行为;在生物医学领域,可用于描述生物组织的扩散和反应过程。
  2. 双侧分数阶反应 - 扩散方程的意义 :双侧分数阶反应 - 扩散方程结合了分数阶导数的特性以及反应 - 扩散过程,能够更精确地模拟一些在空间和时间上具有非局部性的现象。例如,在某些异常扩散过程中,粒子的扩散行为不仅依赖于当前位置和时间,还与过去的位置和时间有关,这种非局部性可以通过双侧分数阶导数来体现。该方程在物理、化学、生物等多个学科中都有重要应用,对于深入理解和研究这些复杂现象具有关键作用。

二、谱 Petrov - Galerkin 方法原理

  1. 谱方法基础 :谱方法是一种求解偏微分方程的高精度数值方法。它的基本思想是将方程的解表示为一组已知基函数(如三角函数、勒让德多项式、切比雪夫多项式等)的线性组合。通过将解代入原方程,并利用基函数的正交性等特性,将偏微分方程转化为代数方程组进行求解。谱方法的优点在于其收敛速度快,能够以较少的自由度获得高精度的解,尤其适用于求解光滑解的问题。

image.gif 编辑

  1. 谱 Petrov - Galerkin 方法在双侧分数阶反应 - 扩散方程中的应用 :对于双侧分数阶反应 - 扩散方程,利用谱方法将方程的解展开为特定基函数的线性组合,然后基于 Petrov - Galerkin 方法的思想,选择合适的试探函数空间和检验函数空间,将方程投影到这些空间上,得到一组代数方程。通过求解这些代数方程,得到双侧分数阶反应 - 扩散方程的近似解。这种方法结合了谱方法的高精度和 Petrov - Galerkin 方法的灵活性,能够有效地求解双侧分数阶反应 - 扩散方程。

三、误差估计的重要性与原理

  1. 误差估计的重要性 :在数值求解双侧分数阶反应 - 扩散方程时,误差估计是评估数值解质量的关键环节。通过误差估计,我们可以了解数值解与精确解之间的偏差程度,判断数值方法的可靠性和有效性。同时,误差估计还可以为数值计算提供指导,例如确定合适的网格尺寸或基函数数量,以在保证计算精度的前提下,尽量减少计算量。
  2. 基于谱 Petrov - Galerkin 方法的误差估计原理 :误差估计通常基于数值解与精确解之间的差值(即误差函数)。对于谱 Petrov - Galerkin 方法,利用试探函数空间和检验函数空间的性质,以及分数阶导数的相关理论,可以推导出误差函数满足的方程。通过对这个方程进行分析,结合一些不等式(如能量不等式、Sobolev 空间中的嵌入定理等),可以得到误差的上界估计。例如,通过分析误差函数在特定范数(如 L2 范数、H1 范数等)下的大小,来衡量数值解的误差。这些误差估计结果不仅可以评估当前数值解的精度,还可以为改进数值方法、提高计算精度提供理论依据。

基于谱 Petrov - Galerkin 方法对双侧分数阶反应 - 扩散方程进行求解,并对其进行误差估计,能够为相关领域中复杂现象的数值模拟提供高精度、可靠的方法,有助于深入研究和理解这些现象的本质。

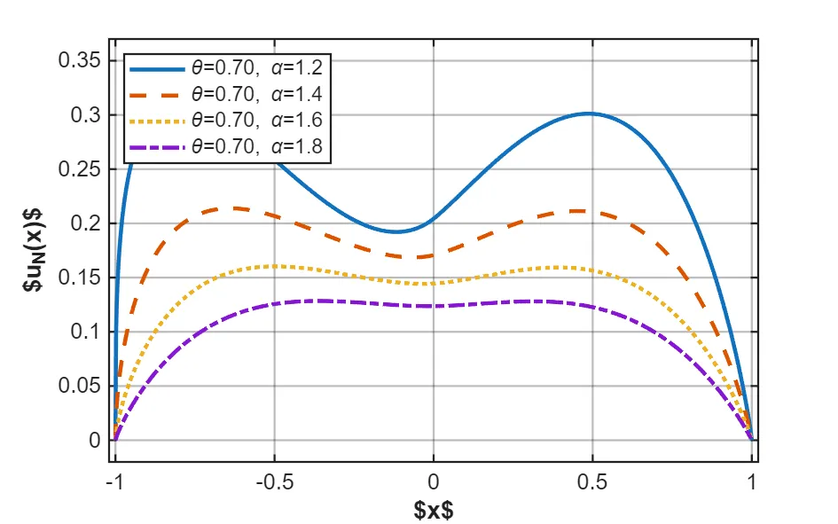
⛳️ 运行结果

image.gif 编辑

image.gif 编辑

image.gif 编辑

📣 部分代码

%y=japoly(n,alp,bet,x) computes the Jacobi polynomial of degree n with parameter (alp,bet) at a

%   vector-valued x

% [dy,y]=japoly(n,alp,bet, x) also returns the values of the 1st-order

%   derivative stored in dy

% See Page 74 of the book: J. Shen, T. Tang and L. Wang, Spectral Methods:

%  Algorithms, Analysis and Applications, Springer Series in Compuational

function [varargout]=japoly(n,alp,bet,x)

 apb=alp+bet;    

if nargout==1,

    if n==0, varargout{1}=ones(size(x));  return; end;

    if n==1, varargout{1}=0.5*(alp-bet+(apb+2)*x); return; end;

    polylst=ones(size(x));

    poly=0.5*(alp-bet+(apb+2)*x);

  for k=2:n,

a1=2.0*k*(k+apb)*(2.0*k+apb-2.);

a2=(2.0*k+apb-1.)*(alp^2-bet^2);

b3=(2.0*k+apb-2.); a3=b3*(b3+1.)*(b3+2.);

a4=2.0*(k+alp-1.)*(k+bet-1.)*(2.0*k+apb);

polyn=((a2+a3*x).*poly-a4*polylst)/a1;  % See (3.110) and (3.111)

     polylst=poly; poly=polyn;

  end;

     varargout{1}=polyn; return;

end;

if n==0, varargout{2}=ones(size(x)); varargout{1}=zeros(size(x)); return; end;

if n==1, varargout{2}=0.5*(alp-bet+(apb+2)*x); varargout{1}=0.5*(apb+2)*ones(size(x)); return; end;

  polylst=ones(size(x));         pderlst=zeros(size(x));

  poly=0.5*(alp-bet+(apb+2.)*x); pder=0.5*(apb+2.)*ones(size(x));

  for k=2:n,

a1=2.0*k*(k+apb)*(2.0*k+apb-2.);

a2=(2.0*k+apb-1.)*(alp^2-bet^2);

b3=(2.0*k+apb-2.); a3=b3*(b3+1.)*(b3+2.);

a4=2.0*(k+alp-1.)*(k+bet-1.)*(2.0*k+apb);

polyn=((a2+a3*x).*poly-a4*polylst)/a1;  % See (3.110) and (3.111)

pdern=((a2+a3*x).*pder-a4*pderlst+a3*poly)/a1;    

polylst=poly; poly=polyn;

pderlst=pder; pder=pdern;

  end;

     varargout{2}=polyn;

     varargout{1}=pdern;

  return;

相关文章
|
1天前
|
人工智能 JSON 机器人
让龙虾成为你的“公众号分身” | 阿里云服务器玩Openclaw
本文带你零成本玩转OpenClaw:学生认证白嫖6个月阿里云服务器,手把手配置飞书机器人、接入免费/高性价比AI模型(NVIDIA/通义),并打造微信公众号“全自动分身”——实时抓热榜、AI选题拆解、一键发布草稿,5分钟完成热点→文章全流程!
10096 24
让龙虾成为你的“公众号分身” | 阿里云服务器玩Openclaw
|
13天前
|
人工智能 安全 Linux
【OpenClaw保姆级图文教程】阿里云/本地部署集成模型Ollama/Qwen3.5/百炼 API 步骤流程及避坑指南
2026年,AI代理工具的部署逻辑已从“单一云端依赖”转向“云端+本地双轨模式”。OpenClaw(曾用名Clawdbot)作为开源AI代理框架,既支持对接阿里云百炼等云端免费API,也能通过Ollama部署本地大模型,完美解决两类核心需求:一是担心云端API泄露核心数据的隐私安全诉求;二是频繁调用导致token消耗过高的成本控制需求。
5828 14
|
21天前
|
人工智能 JavaScript Ubuntu
5分钟上手龙虾AI!OpenClaw部署(阿里云+本地)+ 免费多模型配置保姆级教程(MiniMax、Claude、阿里云百炼)
OpenClaw(昵称“龙虾AI”)作为2026年热门的开源个人AI助手,由PSPDFKit创始人Peter Steinberger开发,核心优势在于“真正执行任务”——不仅能聊天互动,还能自动处理邮件、管理日程、订机票、写代码等,且所有数据本地处理,隐私完全可控。它支持接入MiniMax、Claude、GPT等多类大模型,兼容微信、Telegram、飞书等主流聊天工具,搭配100+可扩展技能,成为兼顾实用性与隐私性的AI工具首选。
22753 119

热门文章

最新文章