DFS/BFS专练-搞定图论基础!(从海岛问题过渡至图论基础应用C/C++)

简介: 从海岛问题到图论基础:7 大经典场景 + N 个实战案例,彻底吃透 DFS/BFS 核心逻辑!遇事不决,直接上纸,画图。

  image.gif 编辑

:: 图论基础理论 :: 紧接着,图论基础理论中,咱们讲到,图论的遍历主要由(dfs与bfs决定)

那咱们本篇博客就来聊聊dfs与bfs。

dfs(深度优先搜索)、bfs(广度优先搜索)的区别:

  • dfs(深度优先),就如名字一般,优先不断向下探索。不到黄河不回头,一直到达了绝境之后,才会回溯到原本的位置,然后换个方向,用同样的方式继续遍历。
  • bfs(广度优先),优先遍历与本节点相连的所有节点。遍历完毕之后,到达下一个节点,继续用同样的方式遍历。

为什么要讲两种遍历方式呢,因为在创建 邻接表邻接矩阵 之后,想要运用,最基本的就是遍历。

当然、想要掌握一个知识点,靠的从来不是纯概念。

接下来,咱们用dfs遍历邻接表与邻接矩阵。用来练手。

DFS(深度优先搜索)

DFS(深度优先遍历)模版:

void dfs(参数){
    if(终止条件){
        存放结果;
        return;
    }
    for(选择:本节点相连的其他节点){
        处理节点
        dfs(图,选择的节点);
        回溯,撤销处理的结果
    }
}

image.gif

那咱们根据例题,实战一下吧。

98. 所有可达路径

题目描述

给定一个有 n 个节点的有向无环图,节点编号从 1 到 n。请编写一个函数,找出并返回所有从节点 1 到节点 n 的路径。每条路径应以节点编号的列表形式表示。

输入描述

第一行包含两个整数 N,M,表示图中拥有 N 个节点,M 条边

后续 M 行,每行包含两个整数 s 和 t,表示图中的 s 节点与 t 节点中有一条路径

输出描述

输出所有的可达路径,路径中所有节点之间空格隔开,每条路径独占一行,存在多条路径,路径输出的顺序可任意。如果不存在任何一条路径,则输出 -1。

注意输出的序列中,最后一个节点后面没有空格! 例如正确的答案是 `1 3 5`,而不是 `1 3 5 `, 5后面没有空格!

输入示例

5 5
1 3
3 5
1 2
2 4
4 5
image.gif

输出示例

1 3 5
1 2 4 5
image.gif

提示信息

image.gif 编辑

用例解释:

有五个节点,其中的从 1 到达 5 的路径有两个,分别是 1 -> 3 -> 5 和 1 -> 2 -> 4 -> 5。

因为拥有多条路径,所以输出结果为:

1 3 5

1 2 4 5

1 2 4 5

1 3 5

都算正确。

数据范围:

  • 图中不存在自环
  • 图中不存在平行边
  • 1 <= N <= 100
  • 1 <= M <= 500

利用邻接矩阵进行深搜:

#include <iostream>
#include <vector>
using namespace std;
const int N = 105;
// 定义邻接矩阵,用于存储图的连接关系
// arr[i][j] = 1 表示存在从节点 i 到节点 j 的有向边
int arr[N][N]; 
// 存储当前正在探索的路径
vector<int> cur; 
// 存储所有从节点 1 到节点 n 的路径
vector<vector<int>> res; 
// 深度优先搜索函数
// k 表示当前正在访问的节点
// n 表示图中节点的总数
void dfs(int k, int n) { 
    // 如果当前节点是目标节点 n
    if (k == n) { 
        // 将当前路径添加到结果集合中
        // emplace_back 比 push_back 更高效
        res.emplace_back(cur); 
        return;
    }
    // 遍历所有可能的下一个节点
    for (int i = 1; i <= n; ++i) { 
        // 如果存在从节点 k 到节点 i 的有向边
        if (arr[k][i] == 1) { 
            // 将节点 i 添加到当前路径中
            cur.emplace_back(i); 
            // 递归调用 dfs 函数,继续探索从节点 i 出发的路径
            dfs(i, n); 
            // 回溯操作,移除最后添加的节点,以便尝试其他路径
            cur.pop_back(); 
        }
    }
}
int main() {
    int n, m;
    // 输入节点数量 n 和边的数量 m
    cin >> n >> m; 
    // 有向图,存储边的信息
    for (int i = 0; i < m; ++i) {
        int x, y;
        // 输入边的起点 x 和终点 y
        cin >> x >> y; 
        // 在邻接矩阵中标记存在从节点 x 到节点 y 的有向边
        arr[x][y] = 1; 
    }
    // 首先将起始节点 1 存入当前路径
    cur.emplace_back(1); 
    // 从节点 1 开始进行深度优先搜索
    dfs(1, n); 
    // 如果没有找到从节点 1 到节点 n 的路径
    if (res.size() == 0) { 
        // 输出 -1 表示无解
        cout << -1 << endl; 
    }
    // 如果找到了从节点 1 到节点 n 的路径
    else if (res.size() != 0) { 
        // 遍历所有找到的路径
        for (auto vec : res) { 
            // 输出路径中的每个节点,除了最后一个节点
            for (int i = 0; i < vec.size() - 1; ++i) { 
                cout << vec[i] << " ";
            }
            // 输出路径中的最后一个节点,并换行
            cout << vec[vec.size() - 1] << endl; 
        }
    }
    return 0;
}

image.gif

利用邻接表进行深搜:

#include <iostream>
#include <vector>
#include <list>
using namespace std;
// 定义常量 N,用于表示图中节点数量的上限
const int N = 105;
// 采用邻接表来表示图,graph[i] 存储的是从节点 i 出发能到达的所有节点
// 这里使用 vector<list<int>> 类型,每个元素是一个链表,链表中存储邻接节点
vector<list<int>> graph(N); 
// 用于存储当前正在探索的路径
vector<int> cur;
// 用于存储从起点到终点的所有路径
vector<vector<int>> res;
// 深度优先搜索函数,k 表示当前所在的节点,n 表示目标节点
void dfs(int k, int n){
    // 当当前节点 k 等于目标节点 n 时,说明找到了一条从起点到终点的路径
    if(k==n){
        // 将当前路径 cur 添加到结果集合 res 中
        res.emplace_back(cur);
        return;
    }
    // 遍历当前节点 k 的所有邻接节点
    for(int i : graph[k]) {
        // 将邻接节点 i 添加到当前路径 cur 中
        cur.emplace_back(i);
        // 以邻接节点 i 为当前节点,继续进行深度优先搜索
        dfs(i, n);
        // 回溯操作,将邻接节点 i 从当前路径 cur 中移除
        // 以便尝试其他可能的路径
        cur.pop_back();
    }
}
int main(){
    int n,m;
    // 输入图的节点数量 n 和边的数量 m
    cin>>n>>m;
    // 循环 m 次,每次输入一条边的信息
    for(int i=0; i<m; ++i){
        int x,y;
        // 输入边的起点 x 和终点 y
        cin>>x>>y;
        // 将终点 y 添加到起点 x 的邻接表中
        graph[x].emplace_back(y);
    }
    // 将起点 1 添加到当前路径 cur 中
    cur.emplace_back(1);
    // 从起点 1 开始进行深度优先搜索
    dfs(1,n);
    // 如果结果集合 res 为空,说明没有找到从起点到终点的路径
    if(res.size()==0) cout<<-1<<endl;
    else {
        // 遍历结果集合 res 中的每一条路径
        for(auto vec:res){
            // 输出路径中除最后一个节点外的其他节点,节点之间用空格分隔
            for(int i=0; i<vec.size()-1; ++i) cout<<vec[i]<<" ";
            // 输出路径中的最后一个节点,并换行
            cout<<vec[vec.size()-1]<<endl;
        }
    }
    return 0;
}

image.gif

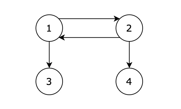
BFS(广度优先搜索)

BFS优先搜索,通常用于解决,最短路径问题。

遍历方式,咱们在上方已经提及(优先遍历与本节点相连的所有节点。遍历完毕之后,到达下一个节点,继续用同样的方式遍历)。

我就直接,引入了Carl的给出的注释图了,如下图所示。

image.gif 编辑

大家对图进行广搜的话,大多数需要一个容器进行媒介。大家习惯性的会用队列进行广度搜索。

但其实不论用队列、还是栈(stack),都行。只不过用栈,是一次正向遍历、一次逆向遍历而已,其实是没有影响的。

这是对图的BFS遍历方式。

// 定义一个二维数组 dir,用于表示四个方向的偏移量
// 分别为:下(1, 0)、上(-1, 0)、右(0, 1)、左(0, -1)
int dir[4][2]={1,0,-1,0,0,1,0,-1};
// 定义广度优先搜索函数 bfs
// 参数 grid 是一个二维向量,表示地图或网格
// 参数 used 是一个二维布尔向量,用于标记某个位置是否已经被访问过
void bfs(vector<vector<int>> grid, vector<vector<bool>> used){
    // 定义一个队列 q,队列中存储的元素是 std::pair<int, int> 类型
    // 表示网格中的一个坐标点 (x, y)
    queue<pair<int,int>> q;
    // 将起始点 (0, 0) 加入队列
    q.push({0,0});
    // 当队列不为空时,继续进行广度优先搜索
    while(!q.empty()){
        // 获取队列的队首元素,即当前要处理的坐标点
        auto cur = q.front();
        // 将队首元素从队列中移除
        q.pop();
        // 标记当前坐标点为已访问
        used[cur.first][cur.second] = true;
        // 遍历四个方向
        for(int i=0; i<4; ++i){
            // 计算当前方向的偏移量后的新坐标 x
            int x = cur.first+dir[i][0];
            // 计算当前方向的偏移量后的新坐标 y
            int y = cur.second+dir[i][1];
            // 检查新坐标是否越界
            // 如果越界(x 小于 0 或者 x 大于等于网格的行数,
            // 或者 y 小于 0 或者 y 大于等于网格的列数),则跳过该方向
            if(x>=grid.size()||x<0||y>=grid[0].size()||y<0) continue;
            // 检查新坐标是否未被访问过
            if(!used[x][y]){
                // 如果未被访问过,将新坐标加入队列
                q.push({x,y});
            }
        }
    }
}

image.gif

工欲善其事,必先利其器

想要讲图学好,就要将dfs与bfs练习熟练。故我们这里通过 “岛屿问题” 磨炼遍历的基本式。

而接下来几道,都将是经典板子题!


大纲:

1、岛屿数量--基本深度优先搜索(dfs),结合去重进行😉

2、岛屿的面积--岛屿数量的进阶版

3、孤岛的总面积--岛屿的面积的变种

4、沉没孤岛--解法与岛屿的总面积刚好相反(但同属一种思想

5、水流问题--逆推法,我觉得解法蛮帅的😎

6、建造最大岛屿--”就是在海上填一块岛屿“,对每一块岛屿打个编号。用map储存。

7、岛屿的周长--只要记录所有1->0的变化,就能找到所有边

8、字符串接龙--遇事不决,直接画图。去重非常重要。(防超时)

9、有向图的完全联通--简单应用used与graph(邻接表)结合。


1、岛屿数量(dfs)

题目描述:

给定一个由 1(陆地)和 0(水)组成的矩阵,你需要计算岛屿的数量。岛屿由水平方向或垂直方向上相邻的陆地连接而成,并且四周都是水域。你可以假设矩阵外均被水包围。

输入描述:

第一行包含两个整数 N, M,表示矩阵的行数和列数。

后续 N 行,每行包含 M 个数字,数字为 1 或者 0。

输出描述:

输出一个整数,表示岛屿的数量。如果不存在岛屿,则输出 0。

输入示例:

4 5
1 1 0 0 0
1 1 0 0 0
0 0 1 0 0
0 0 0 1 1
image.gif

输出示例:

3

提示信息

image.gif 编辑

根据测试案例中所展示,岛屿数量共有 3 个,所以输出 3。

数据范围:

  • 1 <= N, M <= 50
DFS(解法)

image.gif 编辑

#include <iostream>
#include <cstring>
#include <vector> 
using namespace std;
// 定义数组的最大长度
const int N = 55;
// 二维数组 arr 用于存储地图信息,1 表示陆地,0 表示海洋
int arr[N][N];
// 二维布尔数组 used 用于标记每个位置是否已经被访问过
bool used[N][N];
// 二维数组 dir 存储四个方向的偏移量,分别是右、左、下、上
int dir[4][2] = {0, 1, 0, -1, 1, 0, -1, 0}; 
// 深度优先搜索函数,从 (x, y) 位置开始探索相连的陆地
// 可走、可不走 
void dfs(int x, int y) {
    // 遍历四个方向
    for (int i = 0; i < 4; ++i) {
        // 计算下一个位置的横坐标
        int x_cur = x + dir[i][0];
        // 计算下一个位置的纵坐标
        int y_cur = y + dir[i][1];
        // 检查下一个位置是否未被访问过且是陆地
        if (!used[x_cur][y_cur] && arr[x_cur][y_cur] == 1) { 
            // 标记下一个位置为已访问
            used[x_cur][y_cur] = true;
            // 递归调用 dfs 函数,继续从下一个位置探索
            dfs(x_cur, y_cur);
        } 
    }
}
int main() {
    int n, m;
    // 用于记录岛屿的数量
    int cnt = 0; 
    // 输入地图的行数和列数
    cin >> n >> m;
    
    // 进行基本的储存 
    // 输入地图信息,将其存储到 arr 数组中
    for (int i = 1; i <= n; ++i)
        for (int j = 1; j <= m; ++j)
            cin >> arr[i][j];
            
    // 将 used 数组的所有元素初始化为 false,表示所有位置都未被访问过
    memset(used, false, sizeof used);
    
    // 被用过的,通通标记成2 
    // 遍历地图的每个位置
    for (int i = 1; i <= n; ++i)
        for (int j = 1; j <= m; ++j) {
            // 若当前位置未被访问过且是陆地
            if (!used[i][j] && arr[i][j] == 1) {
                // 标记当前位置为已访问
                used[i][j] = true;
                // 岛屿数量加 1
                cnt++;
                // 从当前位置开始进行深度优先搜索,标记该岛屿的所有陆地为已访问
                dfs(i, j);  
            }
        }
    // 输出岛屿的数量
    cout << cnt << endl;
        
    return 0;
}

image.gif

BFS(解法)

其实,在岛屿问题中,我们可以看出。

DFS与BFS的主要差别在于,搜索的方式不同,其他的基本遍历方式都是相同的。

而BFS的核心在于用一个容器(queue),来遍历岛屿。

核心函数

 

// 广度优先遍历函数
// grid 为二维网格,used 为标记数组,记录每个位置是否已经被访问过
// n 和 m 分别为起始点的行和列
void bfs(const vector<vector<int>> &grid, vector<vector<bool>> &used, int n, int m) {
    // 创建一个队列,用于存储待访问的节点坐标
    queue<pair<int, int>> que;
    // 将起始点的坐标加入队列
    que.push({n, m});
    // 标记起始点为已访问
    used[n][m] = true;
    // 当队列不为空时,持续进行遍历
    while (!que.empty()) {
        // 取出队列头部的节点坐标
        pair<int, int> cur = que.front();
        // 将该节点从队列中移除
        que.pop();
        // 遍历四个方向
        for (int i = 0; i < 4; ++i) {
            // 计算下一个节点的行坐标
            int nextY = cur.first + dir[i][0];
            // 计算下一个节点的列坐标
            int nextX = cur.second + dir[i][1];
            // 检查下一个节点的坐标是否越界
            if (nextX < 0 || nextX >= grid[0].size() || nextY < 0 || nextY >= grid.size())
                // 如果越界,则跳过该方向
                continue;
            // 检查下一个节点的值是否为 1 且未被访问过
            if (grid[nextY][nextX] == 1 && !used[nextY][nextX]) {
                // 标记下一个节点为已访问
                used[nextY][nextX] = true;
                // 将下一个节点的坐标加入队列
                que.push({nextY, nextX});
            }
        }
    }
}

image.gif

总体函数:

// bfs 广度遍历
#include "iostream"
#include "vector"
#include "queue"
using namespace std;
int dir[4][2]={{0,1},{0,-1},{1,0},{-1,0}};
int result = 0;
void bfs(const vector<vector<int>> &grid, vector<vector<bool>> &used, int n, int m){ // 广度优先遍历
    queue<pair<int,int>> que; // 用一队列,来排顺序
    que.push({n,m}); // 储存
    while(!que.empty()){
        pair<int,int> cur = que.front();
        que.pop();
        for(int i=0; i<4; ++i){ // 改变四个方向
            int nextY = cur.first + dir[i][0];
            int nextX = cur.second + dir[i][1];
            if(nextX<0 || nextX>=grid[0].size() || nextY<0 || nextY>=grid.size()) continue;
            if(grid[nextY][nextX]==1 && !used[nextY][nextX]){
                used[nextY][nextX]=true;
                que.push({nextY,nextX});
                
            }
        }
    }
}
int main(){
    int n,m; // n-行,m-列
    cin>>n>>m;
    // 准备阶段
    vector<vector<int>> grid(n,vector<int>(m,0));
    vector<vector<bool>> used(n,vector<bool>(m, false));
    for(int i=0; i<n; ++i)
        for(int j=0; j<m; ++j){
            cin>>grid[i][j];
        }
    // 遍历阶段
    for(int i=0; i<n; ++i)
        for(int j=0; j<m; ++j){
            if(grid[i][j]==1 && !used[i][j]){
                result++;
                bfs(grid,used,i,j);
            }
        }
    cout<<result<<endl;
    return 0;
}

image.gif

2、岛屿的面积(dfs)

题目描述

给定一个由 1(陆地)和 0(水)组成的矩阵,计算岛屿的最大面积。岛屿面积的计算方式为组成岛屿的陆地的总数。岛屿由水平方向或垂直方向上相邻的陆地连接而成,并且四周都是水域。你可以假设矩阵外均被水包围。

输入描述

第一行包含两个整数 N, M,表示矩阵的行数和列数。后续 N 行,每行包含 M 个数字,数字为 1 或者 0,表示岛屿的单元格。

输出描述

输出一个整数,表示岛屿的最大面积。如果不存在岛屿,则输出 0。

输入示例

4 5
1 1 0 0 0
1 1 0 0 0
0 0 1 0 0
0 0 0 1 1
image.gif

输出示例

4

提示信息

image.gif 编辑

样例输入中,岛屿的最大面积为 4。

数据范围:

  • 1 <= M, N <= 50

做过,岛屿数量之后,你会发现本题换汤不换药。

就是在dfs遍历岛屿的过程中。

一共设置了两个变量cur_area、max_area;

cur_area表示当前陆地的最大面积、max_area表示每遍历到一块新的陆地,就根据max_area刷新一次。

如下:

#include <iostream>
#include <cstring>
#include <vector> 
using namespace std;
const int N = 55;
int arr[N][N];
bool used[N][N];
int dir[4][2]={0,1,0,-1,1,0,-1,0}; 
int cur_area; // 用于表示面积 
int max_area;
// 可走、可不走,天呐 
void dfs(int x,int y){
  for(int i=0; i<4; ++i){
    int x_cur = x + dir[i][0];
    int y_cur = y + dir[i][1];
    if(!used[x_cur][y_cur]&&arr[x_cur][y_cur]==1){ 
      used[x_cur][y_cur]=true;
      cur_area++;
      dfs(x_cur,y_cur);
    } 
  }
}
int main(){
  int n,m;
  cin>>n>>m;
  // 进行基本的储存 
  for(int i=1; i<=n; ++i)
    for(int j=1; j<=m; ++j)
      cin>>arr[i][j];
      
  memset(used,false,sizeof used);
  
  // 被用过的,通通标记成2 
  for(int i=1; i<=n; ++i)
    for(int j=1; j<=m; ++j){
      if(!used[i][j]&&arr[i][j]==1){
        cur_area=1;
        used[i][j]=true;
        dfs(i,j); 
        max_area=max_area<cur_area?cur_area:max_area; 
      }
    }
  cout<<max_area<<endl;
    
  return 0;
}

image.gif

3、孤岛的总面积(dfs)

题目描述

给定一个由 1(陆地)和 0(水)组成的矩阵,岛屿指的是由水平或垂直方向上相邻的陆地单元格组成的区域,且完全被水域单元格包围。孤岛是那些位于矩阵内部、所有单元格都不接触边缘的岛屿。

现在你需要计算所有孤岛的总面积,岛屿面积的计算方式为组成岛屿的陆地的总数。

输入描述

第一行包含两个整数 N, M,表示矩阵的行数和列数。之后 N 行,每行包含 M 个数字,数字为 1 或者 0。

输出描述

输出一个整数,表示所有孤岛的总面积,如果不存在孤岛,则输出 0。

输入示例

4 5
1 1 0 0 0
1 1 0 0 0
0 0 1 0 0
0 0 0 1 1
image.gif

输出示例:

1

提示信息:

image.gif 编辑

在矩阵中心部分的岛屿,因为没有任何一个单元格接触到矩阵边缘,所以该岛屿属于孤岛,总面积为 1。

数据范围:

1 <= M, N <= 50。

其实本题,思路很清奇,(所有单元格都不接触边缘的岛屿)

因为这句话的存在,只要将靠近上、下、左、右四条边的海岛OK掉就行。

然后,对接下来的部分,解决掉。

#include <iostream>
#include <cstring>
using namespace std;
const int N = 55;
int arr[N][N];
bool used[N][N];
int n,m;
int dir[4][2]={1,0,-1,0,0,1,0,-1};
 
void dfs(int x, int y){
    for(int i=0; i<4; ++i){
        int cur_x = x+dir[i][0];
        int cur_y = y+dir[i][1];
        if(cur_x<0||cur_x>=m||cur_y<0||cur_y>=n) continue;
        if(used[cur_x][cur_y]||arr[cur_x][cur_y]==0) continue;
        used[cur_x][cur_y] = true;
        dfs(cur_x,cur_y);
    }
}
 
int main(){
    cin>>m>>n;
    memset(used, false, sizeof used);
    for(int i=0; i<m; ++i)
        for(int j=0; j<n; ++j) cin>>arr[i][j];
 
    // 清空边界
    // 左边
    for(int i=0; i<m; ++i){
        if(used[i][0]||arr[i][0]==0) continue;
        used[i][0] = true;
        dfs(i,0);
    }
 
    // 右
    for(int i=0; i<m; ++i){
        if(used[i][n-1]||arr[i][n-1]==0) continue;
        used[i][n-1] = true;
        dfs(i,n-1);
    }
 
    // 上
    for(int i=0; i<n; ++i){
        if(used[0][i]||arr[0][i]==0) continue;
        used[0][i] = true;
        dfs(0,i);
    }
 
    // 下
    for(int i=0; i<n; ++i){
        if(used[m-1][i]||arr[m-1][i]==0) continue;
        used[m-1][i] = true;
        dfs(m-1,i);
    }
 
    int cnt = 0;
    for(int i=0; i<m; ++i) {
        for (int j = 0; j < n; ++j) { // 我的荣幸
            if (!used[i][j] && arr[i][j] == 1) cnt++;
        }
    }
     
    cout<<cnt<<endl;
    return 0;
}

image.gif

4、沉没孤岛(dfs)

题目描述:

给定一个由 1(陆地)和 0(水)组成的矩阵,岛屿指的是由水平或垂直方向上相邻的陆地单元格组成的区域,且完全被水域单元格包围。孤岛是那些位于矩阵内部、所有单元格都不接触边缘的岛屿。

现在你需要将所有孤岛“沉没”,即将孤岛中的所有陆地单元格(1)转变为水域单元格(0)。

输入描述:

第一行包含两个整数 N, M,表示矩阵的行数和列数。

之后 N 行,每行包含 M 个数字,数字为 1 或者 0,表示岛屿的单元格。

输出描述

输出将孤岛“沉没”之后的岛屿矩阵。

输入示例:

4 5
1 1 0 0 0
1 1 0 0 0
0 0 1 0 0
0 0 0 1 1
image.gif

输出示例:

1 1 0 0 0
1 1 0 0 0
0 0 0 0 0
0 0 0 1 1
image.gif

提示信息:

image.gif 编辑

将孤岛沉没:

image.gif 编辑

数据范围:

1 <= M, N <= 50

其实沉默孤岛,就是在岛屿总面积的基础上,将原本加在cnt的岛屿变为0。然后没啦

#include "iostream"
#include "vector"
using namespace std;
int dir[4][2] = {{0,1},{0,-1},{1,0},{-1,0}};
void dfs(const vector<vector<int>> &grid, vector<vector<bool>> &used, int x, int y) {
    used[x][y]=true;
    for (int i = 0; i < 4; ++i) {
        int nextX = x + dir[i][0];
        int nextY = y + dir[i][1];
        if (nextX < 0 || nextX >= grid.size() || nextY < 0 || nextY >= grid[0].size()) continue;
        if (grid[nextX][nextY]==1 && !used[nextX][nextY]) {
            used[nextX][nextY] = true;
            dfs(grid, used, nextX, nextY);
        }
    }
}
    int main(){
        int n,m;
        cin >> n >> m;
        // 基础储存
        vector<vector<int>> grid(n,vector<int>(m,0));
        for(int i=0; i<n; i++){
            for(int j=0; j<m; j++){
                cin>>grid[i][j];
            }
        }
        vector<vector<bool>> used(n,vector<bool>(m,false));
        // 跳转
        for(int i=0; i<n; ++i){ // n为行
            if(grid[i][0] && !used[i][0])  dfs(grid,used,i,0);
            if(grid[i][m-1] && !used[i][m-1])  dfs(grid,used,i,m-1);
        }
        for(int i=0; i<m; ++i){// m为列
            if(grid[0][i] && !used[0][i])  dfs(grid,used,0,i);
            if(grid[n-1][i] && !used[n-1][i])  dfs(grid,used,n-1,i);
        }
        for(int i=0; i<n; ++i){
            for(int j=0; j<m; ++j){
                if(grid[i][j] && used[i][j]) cout<<1<<" ";
                else cout<<0<<" ";
            }
            cout<<endl;
        }
        return 0;
    }

image.gif

5、水流问题

题目描述:

现有一个 N × M 的矩阵,每个单元格包含一个数值,这个数值代表该位置的相对高度。矩阵的左边界和上边界被认为是第一组边界,而矩阵的右边界和下边界被视为第二组边界。

矩阵模拟了一个地形,当雨水落在上面时,水会根据地形的倾斜向低处流动,但只能从较高或等高的地点流向较低或等高并且相邻(上下左右方向)的地点。我们的目标是确定那些单元格,从这些单元格出发的水可以达到第一组边界和第二组边界。

输入描述:

第一行包含两个整数 N 和 M,分别表示矩阵的行数和列数。

后续 N 行,每行包含 M 个整数,表示矩阵中的每个单元格的高度。

输出描述:

输出共有多行,每行输出两个整数,用一个空格隔开,表示可达第一组边界和第二组边界的单元格的坐标,输出顺序任意。

输入示例:

5 5
1 3 1 2 4
1 2 1 3 2
2 4 7 2 1
4 5 6 1 1
1 4 1 2 1
image.gif

输出示例:

0 4
1 3
2 2
3 0
3 1
3 2
4 0
4 1
image.gif

提示信息:

image.gif 编辑

图中的蓝色方块上的雨水既能流向第一组边界,也能流向第二组边界。所以最终答案为所有蓝色方块的坐标。

数据范围:

1 <= M, N <= 50

本题中,有一个非常重要的细节,一定要建立记忆话搜索,否则会造成无限递归。

#include <iostream>
#include <cstring>
using namespace std; 
// 在本题中,一定要实现记忆话搜索,否则会导致重复遍历一点,从而导致无限递归。 
const int N = 105;
int n,m;
int arr[N][N];
int arr_one[N][N];
int arr_two[N][N];
int dir[4][2]={1,0,-1,0,0,1,0,-1};
void dfs(int cur_arr[N][N], int flag,int x,int y){ // 要填充的数组、要填充成谁
    for(int i=0; i<4; ++i){
        int cur_x = x+dir[i][0];
        int cur_y = y+dir[i][1];
        if(cur_x<0||cur_x>=n||cur_y<0||cur_y>=m) continue;
        if(cur_arr[cur_x][cur_y]!=0) continue; // 这一步记忆化搜索,非常重要 
        if(arr[x][y]<=arr[cur_x][cur_y]){
            cur_arr[cur_x][cur_y]=flag;  
            dfs(cur_arr,flag,cur_x,cur_y);
        }
    }
}
int main(){
    cin>>n>>m;
    memset(arr_one,0,sizeof arr_one);
    memset(arr_two,0,sizeof arr_two);
    for(int i=0; i<n; ++i)
        for(int j=0; j<m; ++j) cin>>arr[i][j];
    for(int i=0; i<n; ++i){
        // 左
        arr_one[i][0]=1;
        dfs(arr_one,1,i,0);
        // 右
        arr_two[i][m-1]=2;
        dfs(arr_two,2,i,m-1);
    }
    for(int i=0; i<m; ++i){
        // 上
        arr_one[0][i]=1;
        dfs(arr_one,1,0,i);
        // 下
        arr_two[n-1][i]=2;
        dfs(arr_two,2,n-1,i);
    }
    
    for(int i=0; i<n; ++i)
        for(int j=0; j<m; ++j)
            if(arr_one[i][j]==1&&arr_two[i][j]==2) cout<<i<<" "<<j<<endl;
    return 0;
}

image.gif

6、建造最大岛屿

题目描述:

给定一个由 1(陆地)和 0(水)组成的矩阵,你最多可以将矩阵中的一格水变为一块陆地,在执行了此操作之后,矩阵中最大的岛屿面积是多少。

岛屿面积的计算方式为组成岛屿的陆地的总数。岛屿是被水包围,并且通过水平方向或垂直方向上相邻的陆地连接而成的。你可以假设矩阵外均被水包围。

输入描述:

第一行包含两个整数 N, M,表示矩阵的行数和列数。之后 N 行,每行包含 M 个数字,数字为 1 或者 0,表示岛屿的单元格。

输出描述:

输出一个整数,表示最大的岛屿面积。

输入示例:

4 5
1 1 0 0 0
1 1 0 0 0
0 0 1 0 0
0 0 0 1 1
image.gif

输出示例

6

提示信息

image.gif 编辑

对于上面的案例,有两个位置可将 0 变成 1,使得岛屿的面积最大,即 6。

image.gif 编辑

数据范围:

1 <= M, N <= 50。

如果硬写本题的话,时间复杂度n*n*n *n。

岛屿问题,最大的特点就是染色,故,我们可以对每一块岛屿染色,或者是打上特殊标记。

通过unordered_map标记,描绘其对应的值。对应的值。

#include <iostream>
#include <unordered_map>
#include <unordered_set>
using namespace std;
const int N = 55;
int n,m;
int arr[N][N]; // 集合 
int dir[4][2]={1,0,-1,0,0,1,0,-1};
void dfs(int x, int y, int mark, int& cnt){
  if(x<0||x>=n||y<0||y>=m) return;
  if(arr[x][y]!=1) return; 
  cnt++;
  arr[x][y]=mark;
  for(int i=0; i<4; ++i){
    dfs(x+dir[i][0],y+dir[i][1],mark,cnt);
  }
}
 
int main(){ 
  cin>>n>>m;  
  for(int i=0; i<n; ++i)
    for(int j=0; j<m; ++j) cin>>arr[i][j];
  
  int mark = 2; // 用于标记
  unordered_map<int,int> umap;
  for(int i=0; i<n; ++i){
    for(int j=0; j<m; ++j){
      if(arr[i][j]!=1) continue;
      int cnt = 0; // 用于计数
      dfs(i,j,mark,cnt); 
      umap[mark++]=cnt;
    }
  }
  unordered_set<int> uset;
  int max_all=0;
  for(int i=0; i<n; ++i){
    for(int j=0; j<m; ++j){
      if(arr[i][j]!=0) continue;
      uset.clear();
      int all = 1;
       
      for(int k=0; k<4; ++k){
        int x = i+dir[k][0];
        int y = j+dir[k][1];
        if(x<0||x>=n||y<0||y>=m) continue;
        if(uset.find(arr[x][y])!=uset.end()) continue;
        all += umap[arr[x][y]];
        uset.insert(arr[x][y]);
      }
      
      max_all = max(max_all,all); 
    }
  }
  if(max_all==0) cout<<umap[arr[0][0]]<<endl;
  else cout<<max_all<<endl;
  
  return 0;
}

image.gif

7、岛屿的周长

题目描述

给定一个由 1(陆地)和 0(水)组成的矩阵,岛屿是被水包围,并且通过水平方向或垂直方向上相邻的陆地连接而成的。

你可以假设矩阵外均被水包围。在矩阵中拥有一个或者多个岛屿,假设组成岛屿的陆地边长都为 1,请计算岛屿的周长。岛屿内部没有水域。

输入描述

第一行包含两个整数 N, M,表示矩阵的行数和列数。之后 N 行,每行包含 M 个数字,数字为 1 或者 0,表示岛屿的单元格。

输出描述

输出一个整数,表示岛屿的周长。

输入示例

5 5
0 0 0 0 0
0 1 0 1 0
0 1 1 1 0
0 1 1 1 0
0 0 0 0 0
image.gif

输出示例

14

提示信息

image.gif 编辑

岛屿的周长为 14。

数据范围:

1 <= M, N <= 50。

image.gif 编辑

从上方给出的图片,我们可以看出。只有“1”与“0”的交界处,是可以计入周长的边。

if(x<0||x>=n||y<0||y>=m){ // 越界 
    cnt++;
    return;
  }
  if(arr[x][y]==0){
    cnt++;
    return;
  }

image.gif

所以可以根据,返回条件,进行cnt++,然后return;

#include <iostream>
using namespace std;
const int N = 55;
int n,m;
int arr[N][N];
bool used[N][N];
int dir[4][2]={1,0,-1,0,0,1,0,-1}; 
 
int cnt=0;
void dfs(int x, int y){
  if(x<0||x>=n||y<0||y>=m){ // 越界 
    cnt++;
    return;
  }
  if(used[x][y]) return; // 被遍历过
  if(arr[x][y]==0){
    cnt++;
    return;
  }
  used[x][y]=true;
  for(int i=0; i<4; ++i){
    int cur_x = x + dir[i][0];
    int cur_y = y + dir[i][1];
    dfs(cur_x, cur_y); 
  }
}
int main(){
  cin>>n>>m;
  for(int i=0; i<n; ++i)
    for(int j=0; j<m; ++j) cin>>arr[i][j];
  for(int i=0; i<n; ++i)
    for(int j=0; j<m; ++j){
      if(arr[i][j]==1){
        dfs(i,j);
        cout<<cnt<<endl;
        return 0; 
      }
    }
  
  return 0;
}

image.gif

8、字符串接龙

题目描述

字典 strList 中从字符串 beginStr 和 endStr 的转换序列是一个按下述规格形成的序列:

  1. 序列中第一个字符串是 beginStr。
  2. 序列中最后一个字符串是 endStr。
  3. 每次转换只能改变一个位置的字符(例如 ftr 可以转化 fty ,但 ftr 不能转化 frx)。
  4. 转换过程中的中间字符串必须是字典 strList 中的字符串。
  5. beginStr 和 endStr 不在 字典 strList 中
  6. 字符串中只有小写的26个字母

给你两个字符串 beginStr 和 endStr 和一个字典 strList,找到从 beginStr 到 endStr 的最短转换序列中的字符串数目。如果不存在这样的转换序列,返回 0。

输入描述

第一行包含一个整数 N,表示字典 strList 中的字符串数量。 第二行包含两个字符串,用空格隔开,分别代表 beginStr 和 endStr。 后续 N 行,每行一个字符串,代表 strList 中的字符串。

输出描述

输出一个整数,代表从 beginStr 转换到 endStr 需要的最短转换序列中的字符串数量。如果不存在这样的转换序列,则输出 0。

输入示例

6
abc def
efc
dbc
ebc
dec
dfc
yhn
image.gif

输出示例

4

提示信息

从 startStr 到 endStr,在 strList 中最短的路径为 abc -> dbc -> dec -> def,所以输出结果为 4

数据范围:

2 <= N <= 500

去重是非常有必要的,如果不去重,在输入结果大时,会导致结果超时。

而本题,画过图之后,思路会清晰很多:

image.gif 编辑

遇题不会,直接上纸。

// 用get_cnt(args) 用来判断,两个字符串相差几个字母

// 用广搜 搜索方便找到最短路径。

// 用umap去重,并存储搜索的长度。

#include <iostream>
#include <unordered_map>
#include <unordered_set>
#include <queue> 
using namespace std;
// 如果,非要讲解这道题目的话,无非就两点,把图画出来,直接秒变最短路径
// 去重,是相当重要的一点。
// 基本标记 
unordered_map<string,int> umap;
unordered_set<string> uset;
bool get_cnt(string str1, string str2){ // true:刚好合格 
  if(str1.size()!=str2.size()) return false;
  int cnt = 0;
  for(int i=0; i<str1.size(); ++i){
    if(str1[i]!=str2[i]) cnt++;
  } 
  if(cnt!=1) return false;
  return true;
} 
 
int main(){
  int n;
  string begin_str,end_str;
  cin>>n>>begin_str>>end_str;
  for(int i=0; i<n; ++i){
    string str;
    cin>>str;
    uset.insert(str);
  }  
  queue<pair<string,int>> q;
  q.emplace(begin_str,1);
  
  while(!q.empty()){
    auto node = q.front();
    q.pop();
    string str = node.first;
    int cnt = node.second; 
    if(get_cnt(str,end_str)){
      cout<<cnt+1<<endl;
      return 0;
    }
    for(auto str_cur : uset){
      if(umap.find(str_cur)!=umap.end()) continue;
      if(!get_cnt(str,str_cur)) continue;
      umap.emplace(str_cur,cnt+1);
      q.emplace(str_cur,cnt+1); 
    }
  }
  cout<<0<<endl;
  
  return 0;
}

image.gif

9、有向图的完全联通

【题目描述】

给定一个有向图,包含 N 个节点,节点编号分别为 1,2,...,N。现从 1 号节点开始,如果可以从 1 号节点的边可以到达任何节点,则输出 1,否则输出 -1。

【输入描述】

第一行包含两个正整数,表示节点数量 N 和边的数量 K。 后续 K 行,每行两个正整数 s 和 t,表示从 s 节点有一条边单向连接到 t 节点。

【输出描述】

如果可以从 1 号节点的边可以到达任何节点,则输出 1,否则输出 -1。

【输入示例】

4 4
1 2
2 1
1 3
2 4
image.gif

【输出示例】

1

【提示信息】

image.gif 编辑

从 1 号节点可以到达任意节点,输出 1。

数据范围:

  • 1 <= N <= 100;
  • 1 <= K <= 2000。

// 用邻接表graph存储所有节点。

// 用used表示,遍历过该节点,顺便去重

// 最后,根据used内,是否有节点未被遍历过,来判断结果

#include <iostream>
#include <cstring>
#include <list>
#include <vector>
using namespace std; 
const int N = 105;
int used[N];
vector<list<int>> graph(N); 
int n,m;
void dfs(int i){
  if(used[i]!=0) return;
  used[i]=1;
  for(int node : graph[i]) dfs(node); 
}
int main(){
  cin>>n>>m;
  for(int i=0; i<m; ++i){
    int s,t;
    cin>>s>>t;
    graph[s].push_back(t); 
  }
  dfs(1);
  for(int i=1; i<=n; ++i) 
    if(used[i]==0){
      cout<<-1<<endl;
      return 0;
    } 
  cout<<1<<endl;
  return 0;
}

image.gif


借鉴博客:

1、深度优先理论



目录
相关文章
|
1天前
|
人工智能 JSON 机器人
让龙虾成为你的“公众号分身” | 阿里云服务器玩Openclaw
本文带你零成本玩转OpenClaw:学生认证白嫖6个月阿里云服务器,手把手配置飞书机器人、接入免费/高性价比AI模型(NVIDIA/通义),并打造微信公众号“全自动分身”——实时抓热榜、AI选题拆解、一键发布草稿,5分钟完成热点→文章全流程!
10091 24
让龙虾成为你的“公众号分身” | 阿里云服务器玩Openclaw
|
13天前
|
人工智能 安全 Linux
【OpenClaw保姆级图文教程】阿里云/本地部署集成模型Ollama/Qwen3.5/百炼 API 步骤流程及避坑指南
2026年,AI代理工具的部署逻辑已从“单一云端依赖”转向“云端+本地双轨模式”。OpenClaw(曾用名Clawdbot)作为开源AI代理框架,既支持对接阿里云百炼等云端免费API,也能通过Ollama部署本地大模型,完美解决两类核心需求:一是担心云端API泄露核心数据的隐私安全诉求;二是频繁调用导致token消耗过高的成本控制需求。
5820 14
|
21天前
|
人工智能 JavaScript Ubuntu
5分钟上手龙虾AI!OpenClaw部署(阿里云+本地)+ 免费多模型配置保姆级教程(MiniMax、Claude、阿里云百炼)
OpenClaw(昵称“龙虾AI”)作为2026年热门的开源个人AI助手,由PSPDFKit创始人Peter Steinberger开发,核心优势在于“真正执行任务”——不仅能聊天互动,还能自动处理邮件、管理日程、订机票、写代码等,且所有数据本地处理,隐私完全可控。它支持接入MiniMax、Claude、GPT等多类大模型,兼容微信、Telegram、飞书等主流聊天工具,搭配100+可扩展技能,成为兼顾实用性与隐私性的AI工具首选。
22737 119